牛客周赛 Round 51 D-小红的gcd_ 题型:数学

70 阅读1分钟

思想

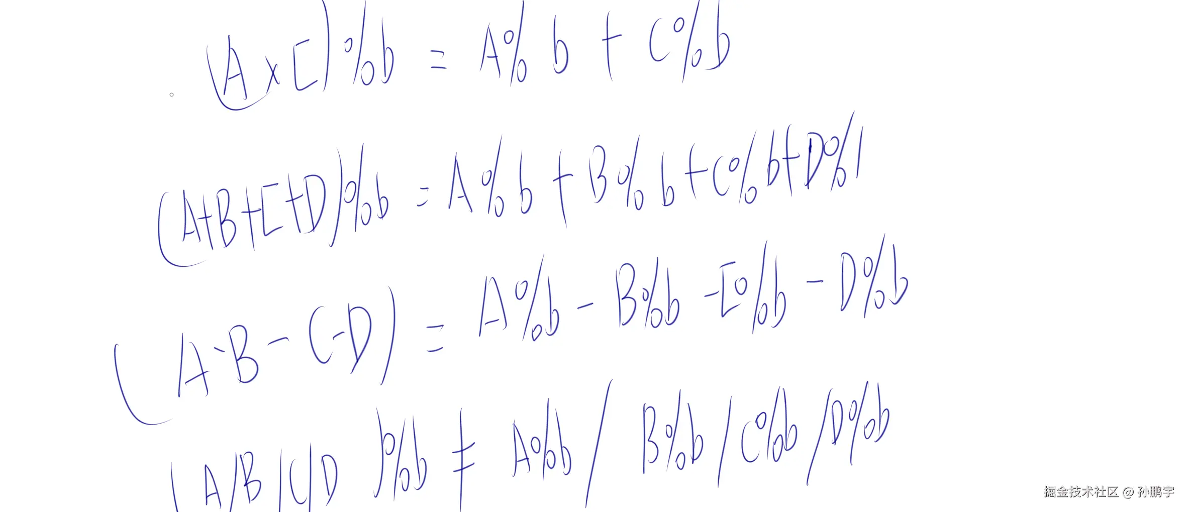
看数据,a的长度是1e6,我们就应该知道这道题不是那么简单的直接去Gcd(a,b);

根据取模原理: image.png

我们可以用ans累加 a的每一位%b的结果

D-小红的 gcd_牛客周赛 Round 51 (nowcoder.com) image.png