【Leetcode 160】环形链表——双指针,细节讲解

68 阅读2分钟

 题目

给你一个链表的头节点 head ,判断链表中是否有环。

如果链表中有某个节点,可以通过连续跟踪 next 指针再次到达,则链表中存在环。 为了表示给定链表中的环,评测系统内部使用整数 pos 来表示链表尾连接到链表中的位置(索引从 0 开始)。注意:pos 不作为参数进行传递 。仅仅是为了标识链表的实际情况。

如果链表中存在环 ,则返回 true 。 否则,返回 false 。

示例 1:

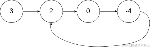
输入: head = [3,2,0,-4], pos = 1
输出: true
解释: 链表中有一个环,其尾部连接到第二个节点。

示例 2:

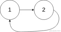
输入: head = [1,2], pos = 0
输出: true
解释: 链表中有一个环,其尾部连接到第一个节点。

示例 3:

输入: head = [1], pos = -1
输出: false
解释: 链表中没有环。

提示:

  • 链表中节点的数目范围是 [0, 104]
  • -105 <= Node.val <= 105
  • pos 为 -1 或者链表中的一个 有效索引 。

思路

其实很简单,如果headA的长度与headB的长度相等,则创建两个指针,pA.val === pB.val,不等则向后移动指针,直到链表结束,不等就返回null。

但由于长度不相等,则不能这样判断,首先我们就让他们相等。

因为 headA 长度 + headB 长度 = headB 长度 + headA长度

所以,我们让pA指针先走完 headA,再走headB。

pB指针先走完 headB,再走headA。

此时,它们的总长度就相等了,这时再比较后面的即可。

代码

//双指针 时间复杂度 O(m+n) 空间复杂度O(1)
function getIntersectionNode(
  headA: ListNode | null,
  headB: ListNode | null
): ListNode | null {
  //如果有一个链表为空链表,则肯定不相交
  if (!headA || !headB) return null;

  //创建 pA 指针,其先指向headA链表,后指向headB链表
  let pA: ListNode | null = headA;
  //创建 pB 指针,其先指向headB链表,后指向headA链表
  let pB: ListNode | null = headB;

  //只有 pA 与 pB 不相等时才进入循环,如果两个链表都遍历完,则两个指针都为null,也不会进入循环的
  while (pA !== pB) {
    //如果 headA链表没有遍历完,则向后移动指针,否则开始遍历headB链表
    pA = pA ? pA.next : headB;
    //如果 headB链表没有遍历完,则向后移动指针,否则开始遍历headA链表
    pB = pB ? pB.next : headA;
  }
  //相等,pA 为 相等时的节点,否则pA为null
  return pA;
}