高等数学基础篇(数二)之求极限

1,633 阅读4分钟

常用的求极限的八种方法:

方法一:利用基本极限求极限

方法二:利用等价无穷小代换求极限

方法三:利用有理运算法则求极限

方法四:利用洛必达法则求极限

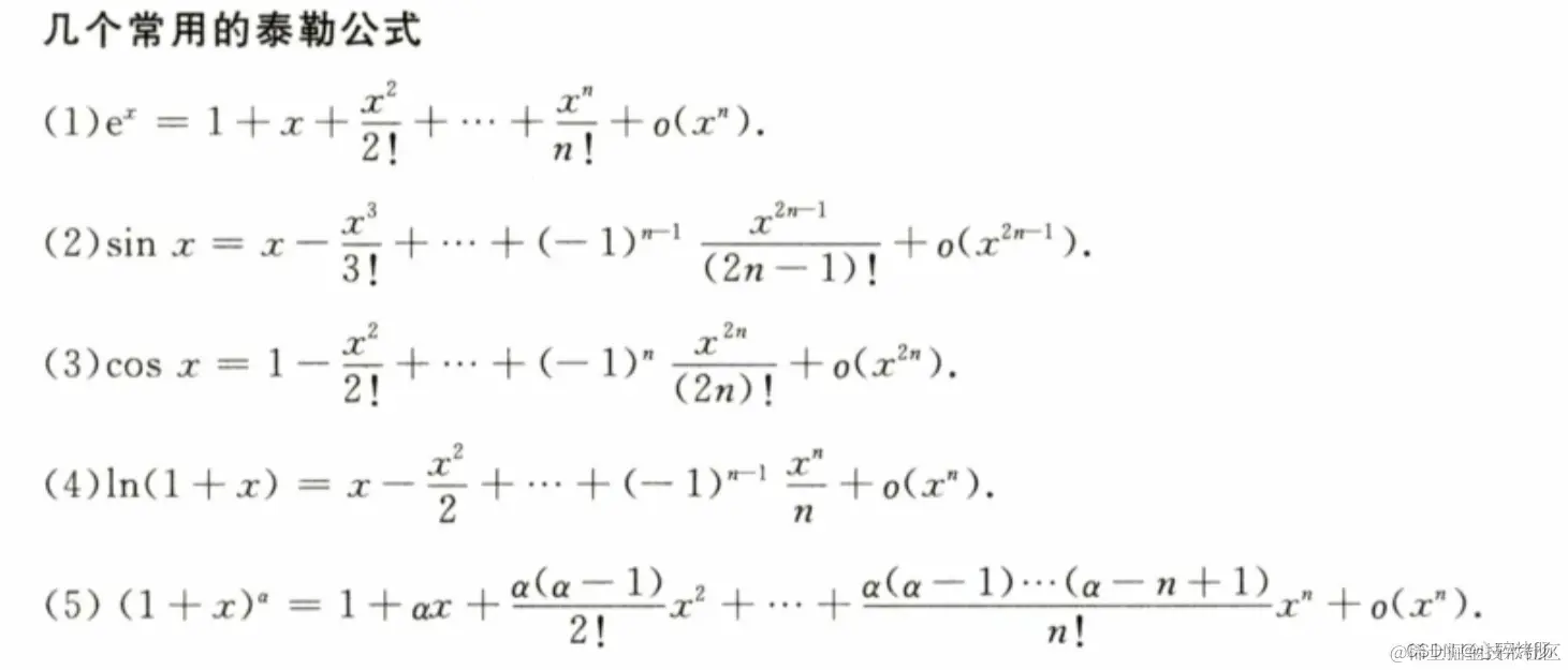
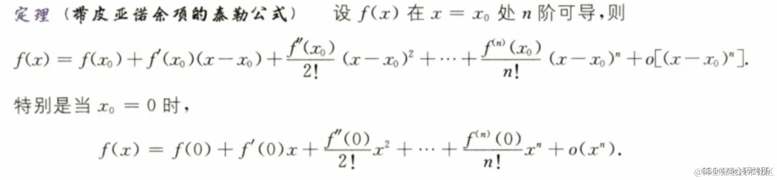
方法五:利用泰勒公式求极限

方法六:利用夹逼准则求极限

方法七:利用单调有界准则求极限

方法八:利用定积分定义求极限

目录

1.利用基本极限求极限

2.利用等价无穷小代换求极限

3.利用有理运算法则求极限

4.利用洛必达法则求极限

5.利用泰勒公式求极限

6.利用夹逼准则求极限

7.利用单调有界准则求极限

8.利用定积分定义求极限


1.利用基本极限求极限

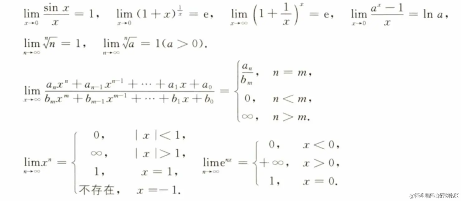
1.1常用的基本极限

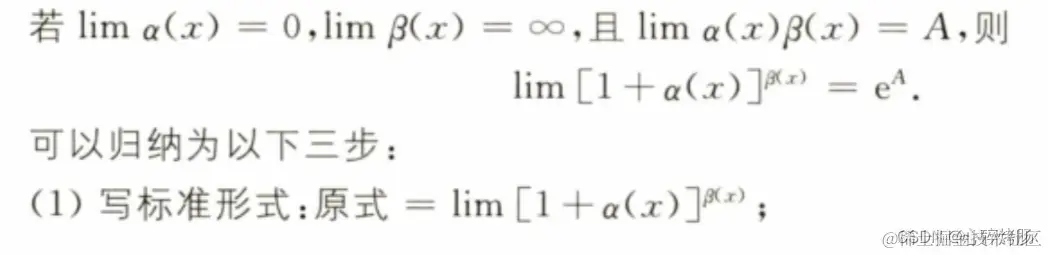
1.2  1^\infty型极限常用结论


2.利用等价无穷小代换求极限

2.1代换原则

注:

相减的两个数不等价(比的极限不等于1)

相加的两个数比的极限不等于-1

2.2常用的等价无穷小(x趋于0时)


3.利用有理运算法则求极限

拓展:

1.极限,连续,导数,级数的有理运算法则相类似

2.关于极限存在与否的范例:

(2)不存在加(减)不存在=不一定

n+n=2n(不存在)

        n+\left ( -n \right )=0 (存在)

(3)存在乘(除)不存在=不一定

        \frac{1}{\sqrt{n}}*n=\sqrt{n} (不存在)

        \frac{1}{n}*n=1 (存在)

(4)不存在乘(除)不存在=不一定

n*n=n ^{2} (不存在)

\left ( -1 \right )^{n}*\left ( -1 \right )^{n}=1 (存在)


4.利用洛必达法则求极限


5.利用泰勒公式求极限


6.利用夹逼准则求极限


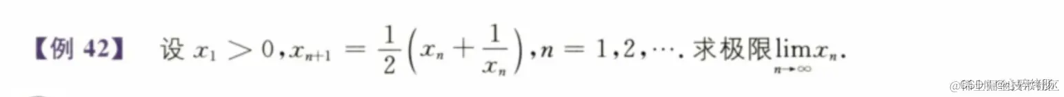
7.利用单调有界准则求极限

步骤:

1.先通过单调性跟有界性来证明极限是否存在

2.后求出极限


8.利用定积分定义求极限