二叉树进阶-学会层序遍历助你一次刷完leetcode10道题

848 阅读3分钟

前言

算法是计算机软件的基础,常见算法是软件开发的核心基本功,今年打算深入学习一些算法,记录一些算法理论以及最佳实践,希望可以坚持下去,关注我,我们一起学习,增强我们的基本功。

本文内容是层序遍历二叉树,学会了层序遍历的方法,leetcode上的10道题目都可以轻松解决,真的无敌啊。

102. 二叉树的层序遍历

104. 二叉树的最大深度

107. 二叉树的层序遍历 II

111. 二叉树的最小深度

116. 填充每个节点的下一个右侧节点指针

117. 填充每个节点的下一个右侧节点指针 II

199. 二叉树的右视图

429. N 叉树的层序遍历

515. 在每个树行中找最大值

637. 二叉树的层平均值

image.png

一、层序遍历概述

层序遍历是一层一层的遍历二叉树。由于递归遍历是一种深度搜索的方式,因此递归遍历在这里是行不通的。

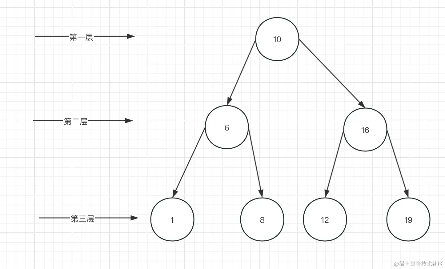
image.png

10

6 16

1 8 12 19

我们可以发现下一层,在上一层遍历完成之后就可以确定了,因为我们遍历一层的时候,把子节点记录下来就可以。因此我们在遍历当前层的时候可以把下一层的节点存储起来。为了确保是从左到右顺序按层遍历元素,我们使用队列这种数据结构来存储。

比如上图的树

首先我们把根节点加入队列,这时队列里存储了第一层的数据,我们开始遍历队列里的第一层根节点10;遍历同时同时把左右节点6,16存储起来。

遍历完第一层,这时开始遍历第二层,循环队列里面两个元素,我们可以得到第三层的节点并存储到队列中。

二、层序遍历实战

leetcode102. 二叉树的层序遍历

/**
 * Definition for a binary tree node.
 * public class TreeNode {
 *     int val;
 *     TreeNode left;
 *     TreeNode right;
 *     TreeNode() {}
 *     TreeNode(int val) { this.val = val; }
 *     TreeNode(int val, TreeNode left, TreeNode right) {
 *         this.val = val;
 *         this.left = left;
 *         this.right = right;
 *     }
 * }
 */
class Solution {
    public List<List<Integer>> levelOrder(TreeNode root) {
        List<List<Integer>> result = new ArrayList<>();
        if(root == null) {
            return result;
        }

        List<TreeNode> queue = new LinkedList<>();
        queue.add(root);

        while(!queue.isEmpty()) {
            //下一层的大小,
           int size =  queue.size();
           List<Integer> raw = new ArrayList<>();
           //遍历某一层
           for(int i=0; i<size; i++) {
              TreeNode node =  queue.removeFirst();
              raw.add(node.val);
              if(node.left != null) {
                  queue.add(node.left);
              }

              if(node.right != null) {
                  queue.add(node.right);
              }
           }
           //记录一层的数据
           result.add(raw);
        }
        return result;
    }
}

三、总结

层序遍历是一种广度优先搜索的遍历方式,掌握一层一层遍历二叉树的方法,真的可以解决文字开头说的10道题。

102. 二叉树的层序遍历

104. 二叉树的最大深度

107. 二叉树的层序遍历 II

111. 二叉树的最小深度

116. 填充每个节点的下一个右侧节点指针

117. 填充每个节点的下一个右侧节点指针 II

199. 二叉树的右视图

429. N 叉树的层序遍历

515. 在每个树行中找最大值

637. 二叉树的层平均值