leetcode-19. 删除链表的倒数第 N 个结点

39 阅读1分钟

题目要求:

给你一个链表,删除链表的倒数第 n **个结点,并且返回链表的头结点。

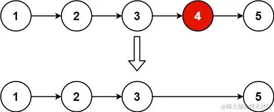
示例 1: image.png 输入: head = [1,2,3,4,5], n = 2
输出: [1,2,3,5]

示例 2:
输入: head = [1], n = 1
输出: []

示例 3:
输入: head = [1,2], n = 1
输出: [1]

提示
链表中结点的数目为 sz
1 <= sz <= 30
0 <= Node.val <= 100
1 <= n <= sz

链接leetcode.cn/problems/re…

解题思路

使用遍历计算出链表的长度l,之后使用for遍历到l-n,第l-n+1个元素就是需要删除的元素。

代码

/**
 * Definition for singly-linked list.
 * type ListNode struct {
 *     Val int
 *     Next *ListNode
 * }
 */
func removeNthFromEnd(head *ListNode, n int) *ListNode {
	l := 1
	dummy := &ListNode{Next: head}
	for head.Next != nil {
		l++
		head = head.Next
	}
	cur := dummy
	for i := 0; i < l-n; i++ {
		cur = cur.Next
	}
	cur.Next = cur.Next.Next
	return dummy.Next
}