Chapter 7 AC Equivalent Circuit Modeling

86 阅读2分钟

Chapter 7 AC Equivalent Circuit Modeling

7.1 Introduction

从第七章开始介绍converter的动态响应和建模.

一个典型的dc-dc buck converter带负反馈环路结构如下图所示

我们需要设计反馈环路, 让output 稳定, 满足transient overshoot, Setting time等. 我们需要知道输入电压, 输出电流, 占空比如何影响输出电压.

建模时我们需要简化, 只保留最重要的部分, 忽略其他的部分. 近似模型有利于我们理解更简单清晰的物理直觉, 否则就是一团数学mess.

我们需要建立小信号模型, 即在DC量加上AC轻微扰动.

7.2 The Basic AC Modeling Approach

线性化, 归一化, AC模型化的原理是列出电感电压和电流公式, 和电容电压和电流公式, 然后代入直流和交流分量

我们以buck-boost为例

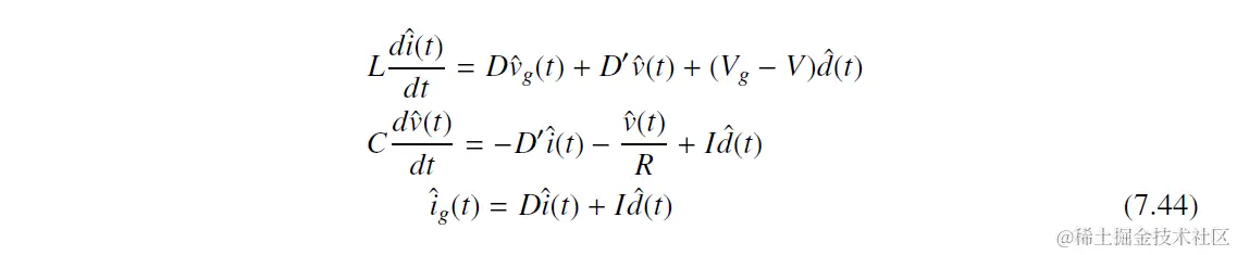
电感电流电压公式

Ldi(t)dt=d(t)vg(t)+d(t)vv(t)L\frac{di(t)}{dt}=d(t)v_{g}(t)+d'(t)v_{v}(t)

电容电流电压公式

Cdv(t)dt=d(t)i(t)v(t)tC\frac{dv(t)}{dt}=-d'(t)i(t)-\frac{v(t)}{t}

这里的Vg(t), i(t), v(t)都是average之后的量, 由DC大信号加上AC小信号

vg(t)=Vg+vg^(t)v_{g}(t)=V_{g}+\hat{v_{g}}(t)
d(t)=D+d^(t)d(t)=D+\hat{d}(t)

i(t)=I+i'(t), v(t)=V+v'(t), 将其带入电感和电容电压电流公式

可以整理为DC项, 一阶线性项, 二阶非线性项

可以忽略二阶非线性项, DC项微分=0, 因此得到

对于电容同样如此

输入电流

因此得到电感, 电容和输入电流表达式

整理buck-boost DC transformer小信号模型为

同理可得buck, boost, buck-boost的小信号模型:

flyback converter小信号模型为

7.3 Modeling the Pulse-Width Modulator

Pulse-Width Modulator由锯齿波产生器, 输入信号和比较器组成

d(t)=vc(t)VMd(t)=\frac{v_{c}(t)}{V_{M}}

在实际中, 要考虑Pulse-Width Modulator的sample & hold和比较器delay的影响

In practice, PWM sampling restricts the useful frequencies of the ac variations to values much less than the switching frequency.

PWM以fs的频率采样, 导致ac有效信息在fs以下. 在设计时, 需要确保control system的带宽(bandwidth)远小于fs/2.

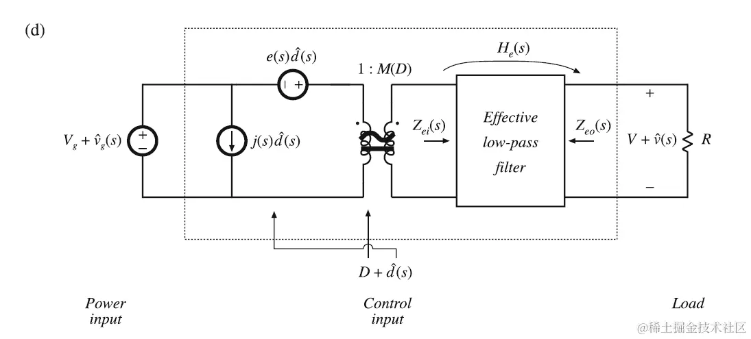
7.4 The Canonical Circuit Model

Canonical Circuit Model 正统电路模型如下

buck, boost, buck-boost的Canonical Circuit Mode如下:

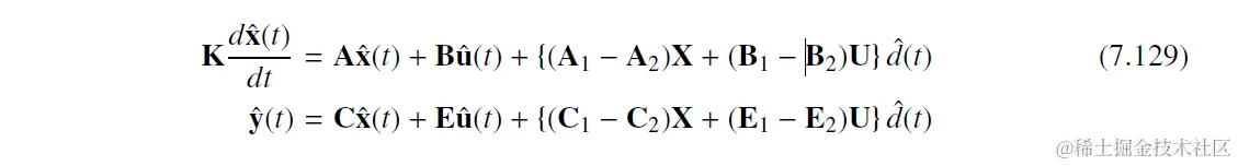
7.5 State-Space Averaging

用状态空间平均法就是用矩阵的形式描述converter电压和电流信息.

x(t)为电容电压+电感电流, u(t)为输入电流等信息, y(t) 为输出电压, 电阻电流信息

通过矩阵变化, 可以得到小信号模型: