多模态大模型实战-MiniGPT4Qwen系列3:大模型训练基础技术之混合精度训练与梯度检查点踩坑

2,608 阅读11分钟

在上一章中,我参考了lavis的训练框架,书写了一套干净、灵活的Trainer,github.com/Coobiw/Mini… ,Trainer直接地实现训练上各功能的封装和可控性。在接下来的章节中,我将对大模型训练中的一些常见的技术进行分解和介绍,给出使用样例的代码并在eva-vit-G(0.99B参数量)这一模型上进行一些性能的评测,输出一个关于混合精度训练和gradient checkpointing的简易tutorials代码,代码开源在:github.com/Coobiw/Mini…

注:个别示意图的图片使用了参考中的博客的图片,如果有侵权的话,可以联系我,我会进行删除和重绘替换!

简单分析模型训练中的显存占用

一般情况下,模型在训练阶段的显存占用分为以下几个部分(均假设使用常规的fp32的数据类型):

  • 静态

    • 模型参数量:x * 4
    • 模型的参数的梯度:x * 4
    • 优化器状态:(如:Adam优化器需要存储梯度的一阶矩、二阶矩估计,占 4 * x + 4 * x = x * 8
  • 动态:

    • 中间激活值:在forward构建计算图时,需要存储中间激活值,供后续的梯度计算,比如:对于Trasnformer模型来说,中间激活值与batch_size序列长度通道维度 三者的乘积相关

    • 是动态存储、释放的,前向传播后存储进计算图,反向传播中逐渐地进行释放

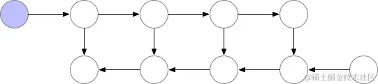
Gradient Checkpoint——减少中间激活值的显存占用

梯度检查点技术的关键在于:比如一共有n个中间激活值(可以认为是计算图中的n个结点),不需要全部进行存储,只存储一部分(称为检查点),其他地进行释放,若反向传播需要的激活值不在内存中,则由最近的检查点的激活值开始进行前向传播进行计算需要的激活值,是一种时间换空间的策略。一个经典的动图如下:

对于原本显存占用为O(n)的情况(n为模型层数),梯度检查点技术可以将显存占用降低到约O(sqrt(n),在下面小节我也会展示在EVA ViT-G(0.99B)的模型上,梯度检查点可以将显存占用从14G降低到4点多G(batchsize为16)

torch.utils.checkpoint.checkpoint的使用踩坑

该函数的使用方法:

torch.utils.checkpoint.checkpoint(callable的函数或对象, 前者需要的参数)
如:
class SimpleModel(nn.Module):
    def __init__(self):
        super(SimpleModel, self).__init__()
        self.layer1 = nn.Linear(512, 512)
        self.relu1 = nn.ReLU()
        self.layer2 = nn.Linear(512, 512)
        self.relu2 = nn.ReLU()

    def forward(self, x):
        x = checkpoint(self.layer1,x)
        x = self.relu1(x)
        x = checkpoint(self.layer2,x)
        return x
model = SimpleModel().cuda()
inputs = torch.randn(int(1e6), 512,requires_grad=True).cuda() 
labels = torch.zeros(int(1e6),512).cuda()
criterion = nn.MSELoss()
optimizer = torch.optim.AdamW(model.parameters())

print(f"begin: {torch.cuda.memory_allocated()/1e9}")

model.train()

# 进行前向传播
optimizer.zero_grad()
outputs = model(inputs)
loss = criterion(outputs,labels)
loss.backward()
optimizer.step()

print(f"final: {torch.cuda.memory_allocated()/1e9}")

值得注意的是,在本样例里:

inputs = torch.randn(int(1e6),512,requires_grad=True).cuda()

这里模型的输入数据需要指定requires_grad为True,原因是:

  • torch.utils.checkpoint.checkpoint的输出的requires_grad属性和输入会保持一致,即输入是False输出就是False,输入是True,输出就是True

    • 所以如果该函数所有inputs的requires_grad为False,会报Warning:

        • UserWarning: None of the inputs have requires_grad=True. Gradients will be None
  • 本样例里所有nn.Linear都被checkpoint了,而nn.ReLU不会改变requires_grad,所以整个模型的输出和输入的requires_grad属性一致,所以如果不指定inputs的requires_grad属性为True,就会出现所有检查点激活值均不需要梯度,而在反向传播中报错:

      • RuntimeError: element 0 of tensors does not require grad and does not have a grad_fn

在EVA ViT-G上进行性能测试

首先,需要注意的是,torch.utils.checkpoint.checkpoint(函数,args)只会存储输入函数最后输出的激活值,输入函数中间的激活值不会存储,如:

class xxx:
    ......
    def pass_two(self,x):
        x = self.layer1(x)
        return self.layer2(x)
    def forward(self,x)
        x = torch.utils.checkpoint.checkpoint(self.pass_two,x)
        return self.layer3(x)

这段代码的话,layer3的激活值是直接存储,layer2的输出激活值会被checkpoint,而layer1不会,直接不存储

EVA ViT的checkpoint的部分——Transformer Block:

    def forward_features(self, x):
        x = self.patch_embed(x)
        batch_size, seq_len, _ = x.size()

        cls_tokens = self.cls_token.expand(batch_size, -1, -1)  # stole cls_tokens impl from Phil Wang, thanks
        x = torch.cat((cls_tokens, x), dim=1)
        if self.pos_embed is not None:
            x = x + self.pos_embed
        x = self.pos_drop(x)

        rel_pos_bias = self.rel_pos_bias() if self.rel_pos_bias is not None else None
        for blk in self.blocks:
            if self.use_checkpoint:
                x = checkpoint.checkpoint(blk, x, rel_pos_bias)
            else:
                x = blk(x, rel_pos_bias)
        return x
  • 这样的话,只checkpoint一个transformer block的最后的输出激活值
  • 对于中间的Q、K、V、Attention输出等的激活值,都会进行释放,后续反向传播需要时重新计算

EVA ViT-G上测试性能的代码:

import torch
import torch.nn as nn
from torch.utils.checkpoint import checkpoint
from eva_vit import create_eva_vit_g

from torch.cuda.amp import autocast

def train(model):
    model.train()
    optimizer = torch.optim.SGD(model.parameters(), lr=0.001)
    data = torch.randn(16,3,224,224).cuda()

    torch.cuda.reset_peak_memory_stats()

    with autocast():
        output = model(data)
    loss = output.sum()
    optimizer.zero_grad()
    loss.backward()
    optimizer.step()

    # 训练后的显存使用情况
    final_memory = torch.cuda.max_memory_allocated()

    return final_memory/1e9

use_checkpoint = True
model = create_eva_vit_g(img_size=224,drop_path_rate=0.,use_checkpoint=use_checkpoint,precision="fp16").cuda()
print(f"参数量: {sum([param.numel() for param in model.parameters()])/1e9} B")

info = 'with' if use_checkpoint else 'without'
print(f"Memory used {info} checkpointing: ", train(model))

输出结果:

参数量: 0.985894528 B

Memory used without checkpointing: 14.777437696

参数量: 0.985894528 B

Memory used with checkpointing: 4.459111424

可以看到,梯度检查点技术可以大大降低显存占用!

混合精度训练

在使用fp32进行前向、反向传播,所有计算都是fp32的,在计算效率上会有一定的下降,同时,现在的GPU一般情况下半精度的计算速度会更快,所以使用fp16进行计算就变得理所应当。然而,fp16存在的问题是数据范围很小,在小于5.96e-8就会发现underflow,同时,在精度上具有舍入误差,即

float16的最大舍入误差约为 (~2 ^-10),比float32的最大舍入误差(~2 ^-23) 要大不少。 对足够小的浮点数执行的任何操作都会将该值四舍五入到零,在反向传播中很多甚至大多数梯度更新值都非常小,但不为零。 在反向传播中舍入误差累积可以把这些数字变成0或者nan, 这会导致不准确的梯度更新,影响网络的收敛。

考虑到这两点,混合精度训练就非常有必要:

  • 权重从fp32转成fp16进行前向计算,得到loss之后,用fp16计算梯度,再转成fp32更新到fp32的权重上。(注:得到的loss也是FP32,因为涉及到累加计算,下面会进行说明)

Loss scaling:

  • fp32的loss直接到fp16可能会发生underflow,所以先对fp32的loss进行scale放大,放大后再转换成fp16,进行反向传播计算梯度,然后再对梯度进行un_scale即可

算数方法的改进:fp16执行乘法,fp32执行加法:

混合精度训练的显存分析

  • 模型参数:fp16 所以是 x * 2
  • 模型梯度:fp16 x * 2
  • 模型的fp32副本:fp32 x * 4
  • 优化器状态:以fp32存储 x * 4 * 2 = x * 8
  • 所以加起来是 16 * x,和fp32训练的显存占用一致
  • 但因为中间激活值是fp16,中间激活值占用显存降低,以及硬件对fp16支持更好,所以显存应该会有一定程度降低

分析下来,混合精度训练的目的主要是提升速度,而非降级显存,注:当batchsize小的时候,受限的是IO(数据频繁的从cpu到gpu),这时候混合精度训练可能没实际提速,甚至实际减速。

apex中amp的使用

apex中的混合精度分为O0、O1、O2、O3四个等级,其设置如下图所示:

  • O0代表fp32全精度训练(性能上的baseline)、O3代表fp16全半精度训练(很不稳定,速度上的baseline)

  • O1代表在大部分计算时采用半精度,但是所有的模型参数依然保持单精度,对于少数单精度较好的计算(如softmax)依然保持单精度(根据黑白名单自动决定使用FP16(如:卷积)还是FP32(如:Softmax)进行计算)

  • O2代表“几乎FP16”混合精度训练,不存在黑白名单,除了BatchNorm以外,几乎都是用FP16计算

  • 暂时没支持bfloat16(我不太确定,但我使用上optimizer没有支持bfloat16)

代码使用示例:apex的混合精度很简单,只用多一个amp.initialize封装model和optimzier,然后用amp.scale_loss进行loss的scale和unscale的context即可:

# Initialization
opt_level = 'O2'
assert opt_level in ['O1','O2','O3'], 'ValueError'

model = ...
optimizer = ...
model, optimizer = amp.initialize(model, optimizer, opt_level=opt_level)

loss = ...
optimizer.zero_grad()
with amp.scale_loss(loss, optimizer) as scaled_loss:
        scaled_loss.backward()
optimizer.step()

在EVA ViT-G上进行性能测试:

import torch
import torch.nn as nn
import torch.optim as optim

from apex import amp

import time
import os

from eva_vit import create_eva_vit_g

# 定义训练函数
def train(opt_level, epochs=10):
    torch.cuda.reset_peak_memory_stats()

    # 定义模型、优化器
    model = create_eva_vit_g(img_size=224,drop_path_rate=0.,use_checkpoint=False,precision="fp32").cuda()
    optimizer = optim.SGD(model.parameters(), lr=0.01)
    # 启用自动混合精度
    model, optimizer = amp.initialize(model, optimizer, opt_level=opt_level)

    # 开始训练并记录时间和显存
    start_time = time.time()
    for epoch in range(epochs):
        optimizer.zero_grad()
        inputs = torch.randn(16,3,224,224).cuda()
        outputs = model(inputs)
        loss = outputs.sum()
        with amp.scale_loss(loss, optimizer) as scaled_loss:
            scaled_loss.backward()
        optimizer.step()
    end_time = time.time()

    # 计算并返回时间和显存使用量
    duration = end_time - start_time
    memory = torch.cuda.max_memory_allocated()
    return duration, memory

# 测试不同的优化级别
opt_levels = ['O3']
for level in opt_levels:
    duration, memory = train(opt_level=level)
    print(f"Opt Level: {level}, Duration: {duration} seconds, Max Memory: {memory} bytes")

测试结果:

Opt Level: O1, Duration: 8.245030641555786 seconds, Max Memory: 18018722816 bytes
Opt Level: O2, Duration: 7.409193515777588 seconds, Max Memory: 17048065536 bytes
Opt Level: O3, Duration: 6.8711607456207275 seconds, Max Memory: 11131785728 bytes

pytorch自带的amp使用

pytorch自带的amp等价于apex中的O1级别,但其支持bfloat16!

使用样例:

model = ...
optimizer = ...
scaler = torch.cuda.amp.GradScaler()

with torch.cuda.amp.autocast(dtype=torch.float16):
    output = model(...)
loss = ...
optimizer.zero_grad()
scaler.scale(loss).backward()
scaler.step(optimizer)
scaler.update()

EVA ViT测试:

import torch
import torch.nn as nn
import torch.optim as optim

from torch.cuda.amp import autocast, GradScaler

import time
import os

from eva_vit import create_eva_vit_g

# 定义训练函数
def train(epochs=10):
    torch.cuda.reset_peak_memory_stats()

    # 定义模型、优化器
    model = create_eva_vit_g(img_size=224,drop_path_rate=0.,use_checkpoint=False,precision="fp32").cuda()
    optimizer = optim.SGD(model.parameters(), lr=0.01)
    scaler = GradScaler()

    # 开始训练并记录时间和显存
    start_time = time.time()
    for epoch in range(epochs):
        optimizer.zero_grad()
        inputs = torch.randn(16,3,224,224).cuda()
        with autocast():
            outputs = model(inputs)
            loss = outputs.sum()
        scaler.scale(loss).backward()
        scaler.step(optimizer)
        scaler.update()
    end_time = time.time()

    # 计算并返回时间和显存使用量
    duration = end_time - start_time
    memory = torch.cuda.max_memory_allocated()
    return duration, memory

duration, memory = train()
print(f"Opt Level: Pytorch(Equal to O1), Duration: {duration} seconds, Max Memory: {memory} bytes")

测试结果:

Opt Level: Pytorch(Equal to O1), Duration: 8.872779130935669 seconds, Max Memory: 18857502720 bytes
对比 apex:
Opt Level: O1, Duration: 8.245030641555786 seconds, Max Memory: 18018722816 bytes
Opt Level: O2, Duration: 7.409193515777588 seconds, Max Memory: 17048065536 bytes
Opt Level: O3, Duration: 6.8711607456207275 seconds, Max Memory: 11131785728 bytes

pytorch自带的amp的一点坑

如果对一个模型:

  • load进来就进行了dtype转换,到一部分是fp16或bf16、一部分是fp32,如果fp16或bf16这部分需要梯度
  • 整个模型都是fp16或bf16,且需要梯度

都会出现错误:

import torch
import torch.nn as nn
from torch.cuda.amp import autocast, GradScaler

model = nn.ModuleList([nn.Linear(10, 20),nn.Linear(20,10)]).cuda()

model[0].half() # 如果requires_grad为True,会有问题  ValueError: Attempting to unscale FP16 gradients.
# model[0].requires_grad_(False) # 这样的话,只有model[1]的requires_grad为True,且为float32

optimizer = torch.optim.SGD(model.parameters(), lr=0.01)

scaler = GradScaler()

input_data = torch.randn(10, 10).cuda()
target = torch.randn(10, 10).cuda()

for epoch in range(1):
    optimizer.zero_grad()

    with autocast():  # autocast将自动管理必要的FP16到FP32的转换
        print(f"input.dtype: {input_data.dtype}")
        output = model[1](model[0](input_data))
        print(f"output.dtype: {output.dtype}")
        loss = nn.MSELoss()(output, target)
        print(f"loss.dtype: {loss.dtype}")
        print(f"model[0].weight.dtype: {model[0].weight.dtype}")
        print(f"model[1].weight.dtype: {model[1].weight.dtype}")

    scaler.scale(loss).backward()
    print(f"model[0].weight.grad.dtype: {model[0].weight.grad.dtype}")
    print(f"model[1].weight.grad.dtype: {model[1].weight.grad.dtype}")
    scaler.step(optimizer)
    scaler.update()

输出:

input.dtype: torch.float32
output.dtype: torch.float16
loss.dtype: torch.float32
model[0].weight.dtype: torch.float16
model[1].weight.dtype: torch.float32
model[0].weight.grad.dtype: torch.float16
model[1].weight.grad.dtype: torch.float32

ValueError: Attempting to unscale FP16 gradients.

bf16的情况类似:

import torch
import torch.nn as nn
from torch.cuda.amp import autocast, GradScaler

model = nn.ModuleList([nn.Linear(10, 20),nn.Linear(20,10)]).cuda()

# 如果requires_grad为True,会有问题 RuntimeError: "_amp_foreach_non_finite_check_and_unscale_cuda" not implemented for 'BFloat16'
model[0] = model[0].to(torch.bfloat16)

# model[0].requires_grad_(False) # 这样的话,只有model[1]的requires_grad为True,且为float32

optimizer = torch.optim.SGD(model.parameters(), lr=0.01)

scaler = GradScaler()

input_data = torch.randn(10, 10).cuda()
target = torch.randn(10, 10).cuda()

for epoch in range(1):
    optimizer.zero_grad()

    with autocast(dtype=torch.bfloat16):  # autocast将自动管理必要的BFP16到FP32的转换
        print(f"input.dtype: {input_data.dtype}")
        output = model[1](model[0](input_data))
        print(f"output.dtype: {output.dtype}")
        loss = nn.MSELoss()(output, target)
        print(f"loss.dtype: {loss.dtype}")
        print(f"model[0].weight.dtype: {model[0].weight.dtype}")
        print(f"model[1].weight.dtype: {model[1].weight.dtype}")

    scaler.scale(loss).backward()
    print(f"model[0].weight.grad.dtype: {model[0].weight.grad.dtype}")
    print(f"model[1].weight.grad.dtype: {model[1].weight.grad.dtype}")
    scaler.step(optimizer)
    scaler.update()

输出结果:

input.dtype: torch.float32
output.dtype: torch.bfloat16
loss.dtype: torch.float32
model[0].weight.dtype: torch.bfloat16
model[1].weight.dtype: torch.float32
model[0].weight.grad.dtype: torch.bfloat16
model[1].weight.grad.dtype: torch.float32

RuntimeError: "_amp_foreach_non_finite_check_and_unscale_cuda" not implemented for 'BFloat16'

参考

[1] zhuanlan.zhihu.com/p/448395808

[2] zhuanlan.zhihu.com/p/84219777

[3] zhuanlan.zhihu.com/p/79887894

[4] zhuanlan.zhihu.com/p/647389318