从策略和实践,带你掌握死锁检测

250 阅读5分钟

本文分享自华为云社区《掌握死锁检测:策略和最佳实践》,作者: Lion Long。

一、背景:死锁产生原因

死锁,是指多个线程或者进程在运行过程中因争夺资源而造成的一种僵局,当进程或者线程处于这种僵持状态,若无外力作用,它们将无法再向前推进。
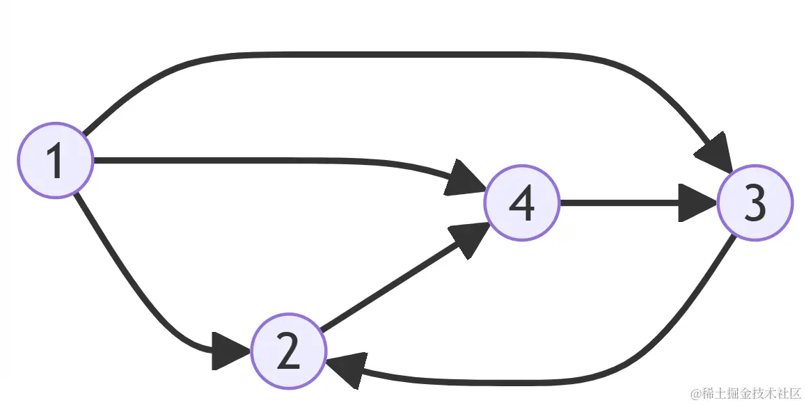
如下图所示,线程 A 想获取线程 B 的锁,线程 B 想获取线程 C 的锁,线程 C 想获取线程 D 的锁,线程 D 想获取线程 A 的锁,从而构建了一个资源获取环。

如果有两个及以上的CPU占用率达到100%时,极可能是程序进入死锁状态。

死锁的存在是因为有资源获取环的存在,所以只要能检测出资源获取环,就等同于检测出死锁的存在。

1.1、构建一个死锁

#include <stdio.h>
#include <stdlib.h>
#include <unistd.h>
#include <pthread.h>
pthread_mutex_t mutex1 = PTHREAD_MUTEX_INITIALIZER;
pthread_mutex_t mutex2 = PTHREAD_MUTEX_INITIALIZER;
pthread_mutex_t mutex3 = PTHREAD_MUTEX_INITIALIZER;
pthread_mutex_t mutex4 = PTHREAD_MUTEX_INITIALIZER;

void *thread_funcA(void *arg)
{
	pthread_mutex_lock(&mutex1);
	sleep(1);
	pthread_mutex_lock(&mutex2);

	printf("funcA --> \n");

	pthread_mutex_unlock(&mutex2);
	pthread_mutex_unlock(&mutex1);
}

void *thread_funcB(void *arg)
{
	pthread_mutex_lock(&mutex2);
	sleep(1);
	pthread_mutex_lock(&mutex3);

	printf("funcB --> \n");

	pthread_mutex_unlock(&mutex3);
	pthread_mutex_unlock(&mutex2);
}

void *thread_funcC(void *arg)
{
	pthread_mutex_lock(&mutex3);
	sleep(1);
	pthread_mutex_lock(&mutex4);

	printf("funcC --> \n");

	pthread_mutex_unlock(&mutex4);
	pthread_mutex_unlock(&mutex3);
}

void *thread_funcD(void *arg)
{
	pthread_mutex_lock(&mutex4);
	sleep(1);
	pthread_mutex_lock(&mutex1);

	printf("funcD --> \n");

	pthread_mutex_unlock(&mutex1);
	pthread_mutex_unlock(&mutex4);
}
int main()
{
	pthread_t tid[4] = { 0 };
	
	pthread_create(&tid[0], NULL, thread_funcA, NULL);
	pthread_create(&tid[1], NULL, thread_funcB, NULL);
	pthread_create(&tid[2], NULL, thread_funcC, NULL);
	pthread_create(&tid[3], NULL, thread_funcD, NULL);

	pthread_join(tid[0], NULL);
	pthread_join(tid[1], NULL);
	pthread_join(tid[2], NULL);
	pthread_join(tid[3], NULL);

	return 0;
}

二、使用hook检测死锁

hook使用场景:

(1)实现自己的协议栈,通过hook posix api。

2.1、dlsym()函数

获取共享对象或可执行文件中符号的地址。

函数原型:

#include <dlfcn.h>

void *dlsym(void *handle, const char *symbol);

#define _GNU_SOURCE
#include <dlfcn.h>

void *dlvsym(void *handle, char *symbol, char *version);

// Link with -ldl.

描述:

函数dlsym()接受dlopen()返回的动态加载共享对象的“句柄”以及以空结尾的符号名,并返回该符号加载到内存中的地址。如果在指定对象或加载对象时dlopen()自动加载的任何共享对象中找不到该符号,dlsym()将返回NULL。(dlsym()执行的搜索是通过这些共享对象的依赖关系树进行的广度优先搜索。)

由于符号的值实际上可能是NULL(因此,dlsym()的NULL返回值不必指示错误),因此测试错误的正确方法是调用dlerror()以清除任何旧的错误条件,然后调用dlsym。

handle中可以指定两个特殊的伪句柄:

函数dlvsym()的作用与dlsym()相同,但使用版本字符串作为附加参数。

返回值:

成功时,这些函数返回与符号关联的地址。

失败时,返回NULL;可以使用dlerror()诊断错误的原因。

2.2、pthread_self()函数

获取调用线程的ID。

函数原型:

#include <pthread.h>

pthread_t pthread_self(void);

// Compile and link with -pthread.

说明:

函数的作用是返回调用线程的ID。这与创建此线程的pthread_create()调用中*thread中返回的值相同。

返回值:

此函数始终成功,返回调用线程的ID。

2.3、实现步骤

(1)构建函数指针

(2)定义与目标函数一样的类型

typedef int(*pthread_mutex_lock_t)(pthread_mutex_t *mutex);
typedef int(*pthread_mutex_unlock_t)(pthread_mutex_t *mutex);

pthread_mutex_lock_t	pthread_mutex_lock_f;
pthread_mutex_unlock_t	pthread_mutex_unlock_f;

(3)具体函数实现,函数名与目标函数名一致

int pthread_mutex_lock(pthread_mutex_t *mutex)
{
	pthread_t selfid = pthread_self();

	printf("pthread_mutex_lock: %ld, %p\n", selfid, mutex);
	// ...
	return 0;
}

int pthread_mutex_unlock(pthread_mutex_t *mutex)
{
	pthread_t selfid = pthread_self();

	printf("pthread_mutex_unlock: %ld, %p\n", selfid, mutex);
	// ...
	return 0;
}

(4)调用dlsym()函数,即钩子。

int init_hook()
{
	pthread_mutex_lock_f = dlsym(RTLD_NEXT, "pthread_mutex_lock");
	pthread_mutex_unlock_f = dlsym(RTLD_NEXT, "pthread_mutex_unlock");
	// ...
	return 0;
}

2.4、示例代码

#define _GNU_SOURCE
#include <dlfcn.h>
#include <stdio.h>
#include <stdlib.h>
#include <unistd.h>
#include <pthread.h>
typedef int(*pthread_mutex_lock_t)(pthread_mutex_t *mutex);
typedef int(*pthread_mutex_unlock_t)(pthread_mutex_t *mutex);

pthread_mutex_lock_t	pthread_mutex_lock_f;
pthread_mutex_unlock_t	pthread_mutex_unlock_f;

int pthread_mutex_lock(pthread_mutex_t *mutex)
{
	pthread_t selfid = pthread_self();

	pthread_mutex_lock_f(mutex);
	printf("pthread_mutex_lock: %ld, %p\n", selfid, mutex);
	
	return 0;
}

int pthread_mutex_unlock(pthread_mutex_t *mutex)
{
	pthread_t selfid = pthread_self();

	pthread_mutex_unlock_f(mutex);
	printf("pthread_mutex_unlock: %ld, %p\n", selfid, mutex);

	return 0;
}

int init_hook()
{
	pthread_mutex_lock_f = dlsym(RTLD_NEXT, "pthread_mutex_lock");
	pthread_mutex_unlock_f = dlsym(RTLD_NEXT, "pthread_mutex_unlock");
	return 0;
}

#if 1 // debug

pthread_mutex_t mutex1 = PTHREAD_MUTEX_INITIALIZER;
pthread_mutex_t mutex2 = PTHREAD_MUTEX_INITIALIZER;
pthread_mutex_t mutex3 = PTHREAD_MUTEX_INITIALIZER;
pthread_mutex_t mutex4 = PTHREAD_MUTEX_INITIALIZER;

void *thread_funcA(void *arg)
{
	pthread_mutex_lock(&mutex1);
	sleep(1);
	pthread_mutex_lock(&mutex2);

	printf("funcA --> \n");

	pthread_mutex_unlock(&mutex2);
	pthread_mutex_unlock(&mutex1);
}

void *thread_funcB(void *arg)
{
	pthread_mutex_lock(&mutex2);
	sleep(1);
	pthread_mutex_lock(&mutex3);

	printf("funcB --> \n");

	pthread_mutex_unlock(&mutex3);
	pthread_mutex_unlock(&mutex2);
}

void *thread_funcC(void *arg)
{
	pthread_mutex_lock(&mutex3);
	sleep(1);
	pthread_mutex_lock(&mutex4);

	printf("funcC --> \n");

	pthread_mutex_unlock(&mutex4);
	pthread_mutex_unlock(&mutex3);
}

void *thread_funcD(void *arg)
{
	pthread_mutex_lock(&mutex4);
	sleep(1);
	pthread_mutex_lock(&mutex1);

	printf("funcD --> \n");

	pthread_mutex_unlock(&mutex1);
	pthread_mutex_unlock(&mutex4);
}
int main()
{

	init_hook();

	pthread_t tid[4] = { 0 };
	
	pthread_create(&tid[0], NULL, thread_funcA, NULL);
	pthread_create(&tid[1], NULL, thread_funcB, NULL);
	pthread_create(&tid[2], NULL, thread_funcC, NULL);
	pthread_create(&tid[3], NULL, thread_funcD, NULL);

	pthread_join(tid[0], NULL);
	pthread_join(tid[1], NULL);
	pthread_join(tid[2], NULL);
	pthread_join(tid[3], NULL);

	return 0;
}

#endif

缺点:这种方式在少量锁情况下还可以分析,在大量锁使用的情况,分析过程极为困难。

三、使用图算法检测死锁

死锁检测可以利用图算法,检测有向图是否有环

3.1、图的构建

(1)矩阵

(2)邻接表

数据结构原理示意图:

“图”连接:

3.2、图的使用

先新增节点再新增边。

(1)每创建一个线程,新增一个节点;注意,不是线程创建的时候就要加节点(有些线程不会用到锁),而是线程调用锁(以互斥锁为例,pthread_mutex_lock() )的时候才添加节点。

(2)线程加锁(以互斥锁为例,pthread_mutex_lock() )的时候,并且检测到锁已经占用,则新增一条边。

(3)移除边,调用锁(以互斥锁为例,pthread_mutex_lock() )前,如果此时锁没有被占用,并且该边存在,则移除边。

(4)移除节点是在解锁之后。

三个原语操作:

(1)加锁之前的操作,lock_before();

(2)加锁之后的操作,lock_after();

(3)解锁之后的操作,unlock_after();

3.3、示例代码

代码比较长,为了避免篇幅较长,不利于阅读,这里没有贴上。如果需要,可以联系博主,或者关注微信公众号 《Lion 莱恩呀》 获取。

总结

死锁的产生是因为多线程之间存在交叉申请锁的情况,因争夺资源而造成的一种僵局。
hook使用:

(1)定义与目标函数一样的类型;

(2)具体函数实现,函数名与目标函数名一致;

(3)调用dlsym()函数,初始化hook。

死锁检测可以使用图算法,通过检测有向图是否有环判断是否有死锁。

点击关注,第一时间了解华为云新鲜技术~