Redis 的五种数据结构 + 使用场景

125 阅读40分钟

redisObject

redisObject的源代码在redis.h中,使用c语言写的,感兴趣的可以自行查看,关于redisObject我这里画了一张图,表示redisObject的结构如下所示:

image.png

在redisObject中**「type表示属于哪种数据类型encoding表示该数据的存储方式」**,也就是底层的实现的该数据类型的数据结构。因此这篇文章具体介绍的也是encoding对应的部分。

那么encoding中的存储类型又分别表示什么意思呢?具体数据类型所表示的含义,如下图所示:

image.png

举一个简单的例子,你在Redis中设置一个字符串key 234,然后查看这个字符串的存储类型就会看到为int类型,非整数型的使用的是embstr储存类型,具体操作如下图所示:

作者:黎杜
链接:juejin.cn/post/684490…
来源:稀土掘金
著作权归作者所有。商业转载请联系作者获得授权,非商业转载请注明出处。

string(字符串)

Redis是用c语言开发的。但是Redis中的字符串和c语言中的字符串类型却是有明显的区别。

String类型的数据结构存储方式有三种int、raw、embstr

int

Redis中规定假如存储的是**「整数型值」,比如set num 123这样的类型,就会使用 int的存储方式进行存储,在redisObject的「ptr属性」**中就会保存该值。

SDS

数据结构

假如存储的**「字符串是一个字符串值并且长度大于44个字节」就会使用SDS(simple dynamic string)方式进行存储,并且encoding设置为raw;若是「字符串长度小于等于44个字节」**就会将encoding改为embstr来保存字符串。

image.png

在 Redis 中,字符串可以被修改,称为简单动态字符串 (SDS) 或字符串,但它的结构更像数组列表,维护字节数组并在其中预分配空间。减少频繁的内存分配。

因此当你在Redsi中存储一个字符串Hello时,根据Redis的源代码的描述可以画出SDS的形式的redisObject结构图如下图所示:

Redis 的内存分配机制如下:

当字符串长度小于 1MB(1024*1024) 时,每次扩容会使现有空间翻倍。 如果字符串长度超过 1MB,则每次只扩展 1MB 空间。 这确保了足够的内存空间,并且不会浪费内存。字符串的最大长度是 512MB.

image.png

struct __attribute__ ((__packed__)) sdshdr32 {
    uint32_t len; /* buf已用长度 */
    uint32_t alloc; /* buf逻辑上预留长度,不包括结构体头部字段所占内存长度,并且不包含buf结尾的\0字符 */
    unsigned char flags; /* 字符串类型, 也表示了字符串的最长长度,可以动态增长 */
    char buf[]; /* 实际存储字符串的空间 */
};

上面是字符串的基本结构,其中 buf 保存字符串的内容,0x\0 作为结束字符不计算在 len中。

capacity 和 len 属性都是泛型的,为什么不直接使用 int 呢? Redis 中有很多优化方案。为了更合理地使用内存,不同长度的字符串用不同的数据类型表示。此外,len 在创建字符串时与capacity 一样大,因此不会产生多余的空间。所以 String 值可以是字符串、数字(整数、浮点数)或二进制。

空间预分配

在对 SDS 进行修改操作时(追加字符串,拷贝字符串等),通常会调用 sds.c/sdsMakeRoomFor 方法对 SDS 的剩余容量进行检查,如有必要会对 SDS 进行扩容,当计算修改之后字符串(用target_string表示)的目标长度之后分以下几种情况:

  • 剩余的 freespace 足够容纳 target_string 和末尾\0字符,则不作任何操作
  • 剩余的 freespace 不够容纳 target_string 和末尾的\0字符
  • 当target_string_size < 1MB,则会直接分配2 * target_string_size 的空间用于存储字符串
  • 当target_string_size >= 1MB,则会再额外多分配1MB的空间用于存储字符串(target_string_size + 1024*1024)
sds _sdsMakeRoomFor(sds s, size_t addlen, int greedy) {
    void *sh, *newsh;
    size_t avail = sdsavail(s);
    size_t len, newlen, reqlen;
    char type, oldtype = s[-1] & SDS_TYPE_MASK;
    int hdrlen;
    size_t usable;

    /* Return ASAP if there is enough space left. */
    if (avail >= addlen) return s;

    len = sdslen(s);
    sh = (char*)s-sdsHdrSize(oldtype);
    reqlen = newlen = (len+addlen);
    assert(newlen > len);   /* Catch size_t overflow */
    if (greedy == 1) {
        if (newlen < SDS_MAX_PREALLOC)
            newlen *= 2;
        else
            newlen += SDS_MAX_PREALLOC;
    }

    type = sdsReqType(newlen);

    /* Don't use type 5: the user is appending to the string and type 5 is
     * not able to remember empty space, so sdsMakeRoomFor() must be called
     * at every appending operation. */
    if (type == SDS_TYPE_5) type = SDS_TYPE_8;

    hdrlen = sdsHdrSize(type);
    assert(hdrlen + newlen + 1 > reqlen);  /* Catch size_t overflow */
    if (oldtype==type) {
        newsh = s_realloc_usable(sh, hdrlen+newlen+1, &usable);
        if (newsh == NULL) return NULL;
        s = (char*)newsh+hdrlen;
    } else {
        /* Since the header size changes, need to move the string forward,
         * and can't use realloc */
        newsh = s_malloc_usable(hdrlen+newlen+1, &usable);
        if (newsh == NULL) return NULL;
        memcpy((char*)newsh+hdrlen, s, len+1);
        s_free(sh);
        s = (char*)newsh+hdrlen;
        s[-1] = type;
        sdssetlen(s, len);
    }
    usable = usable-hdrlen-1;
    if (usable > sdsTypeMaxSize(type))
        usable = sdsTypeMaxSize(type);
    sdssetalloc(s, usable);
    return s;
}

 惰性空间释放

当 SDS 字符串缩短时, 空余出来的空间并不会直接释放,而是会被保留,等待下次再次使用,字符串缩短操作需要更新 sdshdr 头中的 Len 字段以及alloced buffer中的\0字符的位置,如下源码截图,在更新字符串长度的过程中并没有涉及到内存的重分配策略,只是简单的修改sdshdr 头中的 Len 字段

static inline void sdssetlen(sds s, size_t newlen) {
    unsigned char flags = s[-1];
    switch(flags&SDS_TYPE_MASK) {
        case SDS_TYPE_5:
            {
                unsigned char *fp = ((unsigned char*)s)-1;
                *fp = SDS_TYPE_5 | (newlen << SDS_TYPE_BITS);
            }
            break;
        case SDS_TYPE_8:
            SDS_HDR(8,s)->len = newlen;
            break;
        case SDS_TYPE_16:
            SDS_HDR(16,s)->len = newlen;
            break;
        case SDS_TYPE_32:
            SDS_HDR(32,s)->len = newlen;
            break;
        case SDS_TYPE_64:
            SDS_HDR(64,s)->len = newlen;
            break;
    }
}

SDS 与 C字符串比较

5.1 获取字符串长度复杂度

C字符串不记录长度,获取长度必须遍历整个字符串,复杂度为O(N),SDS 在 len 属性中记录了 SDS 本身的长度, 获取 SDS 长度的复杂度为 O(1)

5.2 缓冲区溢出

C字符串不记录自身的长度,每次增长或缩短一个字符串,都要对底层的字符数组进行一次内存重分配操作。如果在 append 操作之前没有通过内存重分配来扩展底层数据的空间大小,就会产生缓存区溢出;如果进行 trim 操作之后没有通过内存重分配来释放不再使用的空间,就会产生内存泄漏

SDS 通过未使用空间解除了字符串长度和底层数据长度的关联,3.0版本用 free属性记录未使用空间,3.2版本用 alloc属性记录总的分配字节数量。通过未使用空间,SDS实现了空间预分配和惰性空间释放两种优化的空间分配策略,解决了字符串拼接和截取的空间问题;

5.3 二进制安全

C 字符串以 \0结尾(即 以 \0判断字符串结束),所以在 C字符串的内容里面不能包含 \0否则会被认为是字符串结尾,因此,C字符串只能保存文本数据,不能保存像图片这样的二进制数据

而 SDS 的 API 会以处理二进制的方式来处理存放在 buf 数组里的数据,不会对里面的数据做任何的限制。SDS 使用 len 属性来判断字符串是否结束,而不是空字符

两者比较归纳如下表:

应用场景:
存储 key-value 键值对

list (列表)

当数据量较小时,它的底层存储结构是一个连续的内存,称为 ziplist(压缩列表),它将所有的元素彼此相邻地存储,分配的是一个连续的内存;当数据量较大时,将其转换为快速列表结构。

然而,简单的链表也有缺陷。链表前后的指针 prev 和 next 将占用更多的内存,浪费更多的空间,并加剧内存碎片。redis 3.2 之后,采用了 ziplist + 链表 的混合结构,称为 quicklist (快速链表)。
应用场景:

  • 由于 list 是按插入顺序排序的列表,因此有许多应用场景。例如:
  • 消息队列: lpop 和 rpush (反之亦然,lpush 和 rpop) 可以实现队列的功能
  • 像朋友圈的列表、评论列表和排行榜: lpush 命令和 lrange 命令可以实现最新列表的功能,每次通过 lpush 命令插入新的元素到列表中,再通过 lrange 命令读取最新的元素列表。

list

链表节点结构设计

先来看看「链表节点」结构的样子:

typedef struct listNode {
    //前置节点
    struct listNode *prev;
    //后置节点
    struct listNode *next;
    //节点的值
    void *value;
} listNode;

有前置节点和后置节点,可以看的出,这个是一个双向链表。

#链表结构设计

不过,Redis 在 listNode 结构体基础上又封装了 list 这个数据结构,这样操作起来会更方便,链表结构如下:

typedef struct list {
    //链表头节点
    listNode *head;
    //链表尾节点
    listNode *tail;
    //节点值复制函数
    void *(*dup)(void *ptr);
    //节点值释放函数
    void (*free)(void *ptr);
    //节点值比较函数
    int (*match)(void *ptr, void *key);
    //链表节点数量
    unsigned long len;
} list;

list 结构为链表提供了链表头指针 head、链表尾节点 tail、链表节点数量 len、以及可以自定义实现的 dup、free、match 函数。

举个例子,下面是由 list 结构和 3 个 listNode 结构组成的链表。

#链表的优势与缺陷

Redis 的链表实现优点如下:

  • listNode 链表节点的结构里带有 prev 和 next 指针,获取某个节点的前置节点或后置节点的时间复杂度只需O(1),而且这两个指针都可以指向 NULL,所以链表是无环链表
  • list 结构因为提供了表头指针 head 和表尾节点 tail,所以获取链表的表头节点和表尾节点的时间复杂度只需O(1)
  • list 结构因为提供了链表节点数量 len,所以获取链表中的节点数量的时间复杂度只需O(1)
  • listNode 链表节使用 void* 指针保存节点值,并且可以通过 list 结构的 dup、free、match 函数指针为节点设置该节点类型特定的函数,因此链表节点可以保存各种不同类型的值

链表的缺陷也是有的:

  • 链表每个节点之间的内存都是不连续的,意味着无法很好利用 CPU 缓存。能很好利用 CPU 缓存的数据结构就是数组,因为数组的内存是连续的,这样就可以充分利用 CPU 缓存来加速访问。
  • 还有一点,保存一个链表节点的值都需要一个链表节点结构头的分配,内存开销较大

因此,Redis 3.0 的 List 对象在数据量比较少的情况下,会采用「压缩列表」作为底层数据结构的实现,它的优势是节省内存空间,并且是内存紧凑型的数据结构。

不过,压缩列表存在性能问题(具体什么问题,下面会说),所以 Redis 在 3.2 版本设计了新的数据结构 quicklist,并将 List 对象的底层数据结构改由 quicklist 实现。

然后在 Redis 5.0 设计了新的数据结构 listpack,沿用了压缩列表紧凑型的内存布局,最终在最新的 Redis 版本,将 Hash 对象和 Zset 对象的底层数据结构实现之一的压缩列表,替换成由 listpack 实现。


#压缩列表

压缩列表的最大特点,就是它被设计成一种内存紧凑型的数据结构,占用一块连续的内存空间,不仅可以利用 CPU 缓存,而且会针对不同长度的数据,进行相应编码,这种方法可以有效地节省内存开销。

但是,压缩列表的缺陷也是有的:

  • 不能保存过多的元素,否则查询效率就会降低;
  • 新增或修改某个元素时,压缩列表占用的内存空间需要重新分配,甚至可能引发连锁更新的问题。

因此,Redis 对象(List 对象、Hash 对象、Zset 对象)包含的元素数量较少,或者元素值不大的情况才会使用压缩列表作为底层数据结构。

接下来,就跟大家详细聊下压缩列表。

#压缩列表结构设计

压缩列表是 Redis 为了节约内存而开发的,它是由连续内存块组成的顺序型数据结构,有点类似于数组。

压缩列表在表头有三个字段:

  • zlbytes,记录整个压缩列表占用对内存字节数;
  • zltail,记录压缩列表「尾部」节点距离起始地址由多少字节,也就是列表尾的偏移量;
  • zllen,记录压缩列表包含的节点数量;
  • zlend,标记压缩列表的结束点,固定值 0xFF(十进制255)。

在压缩列表中,如果我们要查找定位第一个元素和最后一个元素,可以通过表头三个字段(zllen)的长度直接定位,复杂度是 O(1)。而查找其他元素时,就没有这么高效了,只能逐个查找,此时的复杂度就是 O(N) 了,因此压缩列表不适合保存过多的元素

另外,压缩列表节点(entry)的构成如下:

压缩列表节点包含三部分内容:

  • prevlen,记录了「前一个节点」的长度,目的是为了实现从后向前遍历;
  • encoding,记录了当前节点实际数据的「类型和长度」,类型主要有两种:字符串和整数。
  • data,记录了当前节点的实际数据,类型和长度都由 encoding 决定;

当我们往压缩列表中插入数据时,压缩列表就会根据数据类型是字符串还是整数,以及数据的大小,会使用不同空间大小的 prevlen 和 encoding 这两个元素里保存的信息,这种根据数据大小和类型进行不同的空间大小分配的设计思想,正是 Redis 为了节省内存而采用的

分别说下,prevlen 和 encoding 是如何根据数据的大小和类型来进行不同的空间大小分配。

压缩列表里的每个节点中的 prevlen 属性都记录了「前一个节点的长度」,而且 prevlen 属性的空间大小跟前一个节点长度值有关,比如:

  • 如果前一个节点的长度小于 254 字节,那么 prevlen 属性需要用 1 字节的空间来保存这个长度值;
  • 如果前一个节点的长度大于等于 254 字节,那么 prevlen 属性需要用 5 字节的空间来保存这个长度值;

encoding 属性的空间大小跟数据是字符串还是整数,以及字符串的长度有关,如下图(下图中的 content 表示的是实际数据,即本文的 data 字段):

  • 如果当前节点的数据是整数,则 encoding 会使用 1 字节的空间进行编码,也就是 encoding 长度为 1 字节。通过 encoding 确认了整数类型,就可以确认整数数据的实际大小了,比如如果 encoding 编码确认了数据是 int16 整数,那么 data 的长度就是 int16 的大小。
  • 如果当前节点的数据是字符串,根据字符串的长度大小,encoding 会使用 1 字节/2字节/5字节的空间进行编码,encoding 编码的前两个 bit 表示数据的类型,后续的其他 bit 标识字符串数据的实际长度,即 data 的长度。

#连锁更新

压缩列表除了查找复杂度高的问题,还有一个问题。

压缩列表新增某个元素或修改某个元素时,如果空间不不够,压缩列表占用的内存空间就需要重新分配。而当新插入的元素较大时,可能会导致后续元素的 prevlen 占用空间都发生变化,从而引起「连锁更新」问题,导致每个元素的空间都要重新分配,造成访问压缩列表性能的下降

前面提到,压缩列表节点的 prevlen 属性会根据前一个节点的长度进行不同的空间大小分配:

  • 如果前一个节点的长度小于 254 字节,那么 prevlen 属性需要用 1 字节的空间来保存这个长度值;
  • 如果前一个节点的长度大于等于 254 字节,那么 prevlen 属性需要用 5 字节的空间来保存这个长度值;

现在假设一个压缩列表中有多个连续的、长度在 250~253 之间的节点,如下图:

因为这些节点长度值小于 254 字节,所以 prevlen 属性需要用 1 字节的空间来保存这个长度值。

这时,如果将一个长度大于等于 254 字节的新节点加入到压缩列表的表头节点,即新节点将成为 e1 的前置节点,如下图:

因为 e1 节点的 prevlen 属性只有 1 个字节大小,无法保存新节点的长度,此时就需要对压缩列表的空间重分配操作,并将 e1 节点的 prevlen 属性从原来的 1 字节大小扩展为 5 字节大小。这种在特殊情况下产生的连续多次空间扩展操作就叫做「连锁更新」,就像多米诺牌的效应一样,第一张牌倒下了,推动了第二张牌倒下;第二张牌倒下,又推动了第三张牌倒下....,

#压缩列表的缺陷

空间扩展操作也就是重新分配内存,因此连锁更新一旦发生,就会导致压缩列表占用的内存空间要多次重新分配,这就会直接影响到压缩列表的访问性能

所以说,虽然压缩列表紧凑型的内存布局能节省内存开销,但是如果保存的元素数量增加了,或是元素变大了,会导致内存重新分配,最糟糕的是会有「连锁更新」的问题

因此,压缩列表只会用于保存的节点数量不多的场景,只要节点数量足够小,即使发生连锁更新,也是能接受的。

虽说如此,Redis 针对压缩列表在设计上的不足,在后来的版本中,新增设计了两种数据结构:quicklist(Redis 3.2 引入) 和 listpack(Redis 5.0 引入)。这两种数据结构的设计目标,就是尽可能地保持压缩列表节省内存的优势,同时解决压缩列表的「连锁更新」的问题。

hash (字典)

Hash对象的实现方式有两种分别是ziplist、hashtable,其中hashtable的存储方式key是String类型的,value也是以key value的形式进行存储。

两种存储结构实现

当 hash 对象同时满足以下两个条件的时候,使用ziplist 编码

1)所有的键值对的健和值的字符串长度都小于等于 64byte(一个英文字母一个字节, 8字节);

2)哈希对象保存的键值对数量小于 512 个。

/* src/redis.conf 配置 */
hash-max-ziplist-value 64 // ziplist 中最大能存放的值长度  
hash-max-ziplist-entries 512 // ziplist 中最多能存放的 entry 节点数量

/* 源码位置:t_hash.c ,当达字段个数超过阈值,使用 HT 作为编码 */  
if (hashTypeLength(o) > server.hash_max_ziplist_entries)  
    hashTypeConvert(o, OBJ_ENCODING_HT);  
    /*源码位置: t_hash.c,当字段值长度过大,转为 HT */  
    for (i = start; i <= end; i++) {  
        if (sdsEncodedObject(argv[i]) && sdslen(argv[i]->ptr) > server.hash_max_ziplist_value)  
        {  
            hashTypeConvert(o, OBJ_ENCODING_HT);  
            break;  
        }  
    }
   

image.png

字典(dict)

哈希表略微有点复杂。哈希表的制作方法一般有两种,一种是:开放寻址法,一种是拉链法。redis的哈希表的制作使用的是拉链法

######### src/dict.h
struct dict {
    dictType *type;   # /* 字典类型 */

    dictEntry **ht_table[2];    # httable
    unsigned long ht_used[2];

    long rehashidx; /*如果rehashidx==-1,则rehashing未进行*/

    /* Keep small vars at end for optimal (minimal) struct padding */
    int16_t pauserehash; /* If >0 rehashing is paused (<0 indicates coding error) */
    signed char ht_size_exp[2]; /* htable的exp大小 (size = 1<<exp) */

    void *metadata[];           /* An arbitrary number of bytes (starting at a
                                 * pointer-aligned address) of size as defined
                                 * by dictType's dictEntryBytes. */
};

哈希表节点(dictEntry)

######### src/dict.c
struct dictEntry {
    void *key;
    union {
        void *val;
        uint64_t u64;
        int64_t s64;
        double d;
    } v;
    struct dictEntry *next;     /* Next entry in the same hash bucket. */
    void *metadata[];           /* An arbitrary number of bytes (starting at a
                                 * pointer-aligned address) of size as returned
                                 * by dictType's dictEntryMetadataBytes(). */
};

其中,value 是一个联合体,可以保存多种数据类型。当value类型为 uint64_t 、int64_t 或 double时可以直接存储。其他类型需要在其他位置申请一段空间来存放,并用val指向这段空间来使用。

rehash

rehash的触发方式

_dictExpandIfNeeded

static int _dictExpandIfNeeded(dict *d)
{
    /* Incremental rehashing already in progress. Return. */
    if (dictIsRehashing(d)) return DICT_OK;

    /* If the hash table is empty expand it to the initial size. */
    if (DICTHT_SIZE(d->ht_size_exp[0]) == 0) return dictExpand(d, DICT_HT_INITIAL_SIZE);

    /* If we reached the 1:1 ratio, and we are allowed to resize the hash
     * table (global setting) or we should avoid it but the ratio between
     * elements/buckets is over the "safe" threshold, we resize doubling
     * the number of buckets. */
    if (!dictTypeExpandAllowed(d))
        return DICT_OK;
    if ((dict_can_resize == DICT_RESIZE_ENABLE &&
         d->ht_used[0] >= DICTHT_SIZE(d->ht_size_exp[0])) ||
        (dict_can_resize != DICT_RESIZE_FORBID &&
         d->ht_used[0] / DICTHT_SIZE(d->ht_size_exp[0]) > dict_force_resize_ratio))
    {
        return dictExpand(d, d->ht_used[0] + 1);
    }
    return DICT_OK;
}

#define DICTHT_SIZE(exp) ((exp) == -1 ? 0 : (unsigned long)1<<(exp))表示1右移exp位,即2^exp

通过定义可以看到扩容条件满足下面三条:

  • ht[0]的大小为 0;
  • ht[0]的元素个数(used[0])已经超过了 ht[0]的大小,而且哈希表是可以扩容的;
  • ht[0]的元素个数是 ht[0]大小的 dict_force_resize_ratio 倍,其中 dict_force_resize_ratio 的定义如下: static unsigned int dict_force_resize_ratio = 5(负载因子(loader factor))

除了考虑负载因子外,我们还需要考虑dict_can_resize

这个函数就是用来启动或禁用 rehash 扩容功能的,这个函数开启扩容功能的条件是当前没有 RDB 子进程或者 AOF 子进程,函数定义如下:

void updateDictResizePolicy(void) {
    if (server.in_fork_child != CHILD_TYPE_NONE)
        dictSetResizeEnabled(DICT_RESIZE_FORBID);
    else if (hasActiveChildProcess())
        dictSetResizeEnabled(DICT_RESIZE_AVOID);
    else
        dictSetResizeEnabled(DICT_RESIZE_ENABLE);
}

server.in_fork_child != CHILD_TYPE_NONE当前进程不是一个 fork 子进程;hasActiveChildProcess()是否有活跃的子进程。

总结下来,Redis 触发 rehash 操作的关键就是 _dictExpandIfNeeded 函数和 updateDictResizePolicy 函数。_dictExpandIfNeeded 函数会根据哈希表的负载因子以及能否进行 rehash 的标识来判断是否进行 rehash,而 updateDictResizePolicy 函数会根据 RDB 和 AOF 的执行情况来启动或者禁用 rehash。

rehash 扩容

Redis 中,rehash 对哈希表空间的扩容是通过调用 dictExpand 函数来完成的。该函数有两个参数,一个是要扩容的哈希表的指针,另一个是要扩大的容量。

dictExpand 函数中扩容会将rehash标志位为0:

d->rehashidx = 0; //设置rehash标志位为0,开始渐进式rehash(incremental rehashing)

扩容的大小由其中的_dictNextExp函数控制,如果当前表的已经空间大小为 size,那么就将表扩容到 size*2 的大小(下一个2^e的容量)。

static signed char _dictNextExp(unsigned long size)
{
    unsigned char e = DICT_HT_INITIAL_EXP;

    if (size >= LONG_MAX) return (8*sizeof(long)-1);
    while(1) {
        if (((unsigned long)1<<e) >= size)
            return e;
        e++;
    }
}

size的大小:minimal = d->ht_used[0];

/* Resize the table to the minimal size that contains all the elements,
 * but with the invariant of a USED/BUCKETS ratio near to <= 1 */
int dictResize(dict *d)
{
    unsigned long minimal;

    if (dict_can_resize != DICT_RESIZE_ENABLE || dictIsRehashing(d)) return DICT_ERR;
    minimal = d->ht_used[0];
    if (minimal < DICT_HT_INITIAL_SIZE)
        minimal = DICT_HT_INITIAL_SIZE;
    return dictExpand(d, minimal);
}

渐进式 rehash实现

首先,为什么要实现渐进式 rehash?因为哈希表在执行 rehash 的时候,由于哈希表空间扩大,原本映射到某一位置的键可能被映射到了一个新的位置,这样,很多键都需要从原来的位置拷贝到新的位置。而键拷贝会阻塞主线程,这样就会产生 rehash 开销。为了降低 rehash 的开销,Redis 提出了渐进式 rehash。

其实就是 Redis 并不会一次性把当前哈希表中的所有键都拷贝到新位置,而是采取分批拷贝。每次的键拷贝只拷贝哈希表中的一个 bucket 中的哈希项,这样可以减少对主线程的影响。渐进式 rehash 的代码又是如何实现的呢?先来看两个函数 dictRehash 和 _dictRehashStep。dictRehash 函数实际执行键拷贝。定义如下: int dictRehash(dict *d, int n)

rehashidx指向的当前正在进行迁移的桶的索引

它的输入参数有两个,第一个参数是全局哈希表,前面介绍过它包含了 ht[0] 和 ht[1],第二个参数是需要进行键拷贝的 bucket 数量。

代码主要包括两部分,首先执行一个循环,根据要拷贝的 bucket 数量 n,依次完成这些 bucket 内部所有键的迁移。如果 ht[0] 哈希表已经迁移完成,键拷贝循环也将停止。当完成了 n 个 bucket 拷贝后。主要就是判断 ht[0] 中的数据是否已经迁移完,如果都迁移完了,那么释放掉 ht[0] 的空间,虽然数据都在 ht[1] 中了,但是由于 Redis 处理请求时都是使用 ht[0],所以仍然需要把 ht[1] 的数据赋值给 ht[0]。赋值完成后,ht[1] 的大小被重置为 0 并等待下一次 rehash。最后 rehashidx 变量被设置为 -1 表示 rehash 结束了。

那么,渐进式 rehash 如何根据 bucket 进行迁移的呢?基于 rehashidx 来对 bucket 做数据迁移,比如当 rehashidx 值为 0 表示对 ht[0] 中的第一个 bucket 进行迁移,当 rehashidx 值为 1 时表示对 ht[0] 中的第二个 bucket 进行数据迁移。在 dicthash 函数的第一个主循环中,首先判断 rehashidx 指向的 bucket 是否为空,如果为空那么就将 rehashidx 的值加 1 并检查下一个 bucket。

1.  `d->ht_table[1][h] = de;`:在新哈希表中的桶 `h` 中存储键值对 `de`。这将旧哈希表中的一个桶的键值对迁移到了新哈希表中。
1.  `d->ht_used[0]--;`:减少旧哈希表的使用数量,因为一个键值对从旧哈希表被迁移到了新哈希表。
1.  `d->ht_used[1]++;`:增加新哈希表的使用数量,因为有一个键值对被迁移到了新哈希表。
1.  `de = nextde;`:更新 `de` 指针,让它指向旧哈希表中同一个桶中的下一个键值对。这是因为一个桶可能包含多个键值对,通过这个操作可以逐个迁移这个桶中的所有键值对。

当ht[0]中的内容全部转移到ht[1]中,ht[0]的内容全部=ht[1],然后对ht[1]重置_dictReset(d, 1);,最后d->rehashidx = -1;,标志rehash完成。

dicthash 函数的逻辑如下图所示: image.png

ziplist实现

数组 + 列表结构,当发生散列冲突时将元素添加到列表中。值得注意的是,Redis Hash 值只能是字符串。 Hash 和 String 都可以用来存储用户信息,但不同点在于 Hash 可以分别存储用户信息的每个字段。存储所有用户信息的序列化字符串。如果要修改用户字段,必须先查询所有用户信息字符串,解析为对应的用户信息对象,修改后再序列化为字符串。但是,哈希只可以修改某个字段,从而节省网络流量。但是,哈希的内存占用比 String 大,这是哈希的缺点。
应用场景:

  • 购物车:hset [key] [field] [value] 命令可以实现用户 Id、商品 Id 为字段、商品数量为值,正好构成了购物车的三个要素。
  • 散列类型 (键、字段、值) 的结构类似于对象 (对象id、属性、值) 的结构,也可以用来存储对象。

set (集合)

它内部的键值对是无序的、唯一 的。它的内部实现相当于一个特殊的字典,字典中所有的value都是一个值 NULL。当集合中最后一个元素被移除之后,数据结构被自动删除,内存被回收。
应用场景: 散列类型(键、字段、值)的结构类似于对象(对象id、属性、值)的结构,也可以用来存储对象。

  • 收集朋友,追随者,粉丝和感兴趣的人:
    1)使用 sinter 命令可以获取用户 A 和 B 的共同好友;
    2)sismember 命令可以判断 A 是否是 B 的朋友;
    3)scard 命令可以获取好友数量;
    4)注意时,smove 命令可以将 B 从 A 的朋友集转移到 A 的朋友集
  • 首页展示随机:美团首页有很多推荐商家,但是并不能全部展示,set 类型适合存放所有需要展示的内容,而 srandmember 命令则可以从中随机获取几个。
  • 存储某活动中中奖的用户 ID ,因为有去重功能,可以保证同一个用户不会中奖两次。

底层数据结构:哈希表或整数集合

⚪如果集合中的元素都是整数元素个数小于 512 (默认值,set-maxintset-entries配置)个,Redis 会使用整数集合作为 Set 类型的底层数据结构;

⚪如果集合中的元素不满足上面条件,则 Redis 使用哈希表作为 Set 类型的底层数据结构。

整数集合

整数集合是 Set 对象的底层实现之一。当一个 Set 对象只包含整数值元素,并且元素数量不大时,就会使用整数集这个数据结构作为底层实现。

#整数集合结构设计

整数集合本质上是一块连续内存空间,它的结构定义如下:

typedef struct intset {
    //编码方式
    uint32_t encoding;
    //集合包含的元素数量
    uint32_t length;
    //保存元素的数组
    int8_t contents[];
} intset;

可以看到,保存元素的容器是一个 contents 数组,虽然 contents 被声明为 int8_t 类型的数组,但是实际上 contents 数组并不保存任何 int8_t 类型的元素,contents 数组的真正类型取决于 intset 结构体里的 encoding 属性的值。比如:

  • 如果 encoding 属性值为 INTSET_ENC_INT16,那么 contents 就是一个 int16_t 类型的数组,数组中每一个元素的类型都是 int16_t;
  • 如果 encoding 属性值为 INTSET_ENC_INT32,那么 contents 就是一个 int32_t 类型的数组,数组中每一个元素的类型都是 int32_t;
  • 如果 encoding 属性值为 INTSET_ENC_INT64,那么 contents 就是一个 int64_t 类型的数组,数组中每一个元素的类型都是 int64_t;

不同类型的 contents 数组,意味着数组的大小也会不同。

#整数集合的升级操作

整数集合会有一个升级规则,就是当我们将一个新元素加入到整数集合里面,如果新元素的类型(int32_t)比整数集合现有所有元素的类型(int16_t)都要长时,整数集合需要先进行升级,也就是按新元素的类型(int32_t)扩展 contents 数组的空间大小,然后才能将新元素加入到整数集合里,当然升级的过程中,也要维持整数集合的有序性。

整数集合升级的过程不会重新分配一个新类型的数组,而是在原本的数组上扩展空间,然后在将每个元素按间隔类型大小分割,如果 encoding 属性值为 INTSET_ENC_INT16,则每个元素的间隔就是 16 位。

举个例子,假设有一个整数集合里有 3 个类型为 int16_t 的元素。

现在,往这个整数集合中加入一个新元素 65535,这个新元素需要用 int32_t 类型来保存,所以整数集合要进行升级操作,首先需要为 contents 数组扩容,在原本空间的大小之上再扩容多 80 位(4x32-3x16=80),这样就能保存下 4 个类型为 int32_t 的元素

扩容完 contents 数组空间大小后,需要将之前的三个元素转换为 int32_t 类型,并将转换后的元素放置到正确的位上面,并且需要维持底层数组的有序性不变,整个转换过程如下:

整数集合升级有什么好处呢?

如果要让一个数组同时保存 int16_t、int32_t、int64_t 类型的元素,最简单做法就是直接使用 int64_t 类型的数组。不过这样的话,当如果元素都是 int16_t 类型的,就会造成内存浪费的情况。

整数集合升级就能避免这种情况,如果一直向整数集合添加 int16_t 类型的元素,那么整数集合的底层实现就一直是用 int16_t 类型的数组,只有在我们要将 int32_t 类型或 int64_t 类型的元素添加到集合时,才会对数组进行升级操作。

因此,整数集合升级的好处是节省内存资源

整数集合支持降级操作吗?

不支持降级操作,一旦对数组进行了升级,就会一直保持升级后的状态。比如前面的升级操作的例子,如果删除了 65535 元素,整数集合的数组还是 int32_t 类型的,并不会因此降级为 int16_t 类型。


#跳表

4.2 应用场景

(1)点赞(一个用户只能点赞一次)

(2)交并集(共同关注、共同好友)

(3)抽奖活动

zset (有序集合) 具体参考

zset 也称为 SortedSet。一方面,它是一个集合,它保证了内部值的唯一性。另一方面,它可以为每个值分配一个分数,表示该值的排序权重。它的内部实现使用一种称为“跳转列表”的数据结构。 应用场景:

  • zset 可以用作排序,但与 list 不同的是,它可以实现动态排序。例如,zset 可以用来存储风扇列表。value 为球迷的用户ID, score 为接下来的时间。

  • zset 还可以用来存储学生的成绩,其中 value 是学生的ID, score 是他的考试成绩。我们可以按分数给他打分。

zset 结构体里有两个数据结构:一个是跳表,一个是哈希表。这样的好处是既能进行高效的范围查询,也能进行高效单点查询

typedef struct zset {
    dict *dict;
    zskiplist *zsl;
} zset;

Zset 对象在执行数据插入或是数据更新的过程中,会依次在跳表和哈希表中插入或更新相应的数据,从而保证了跳表和哈希表中记录的信息一致。

Zset 对象能支持范围查询(如 ZRANGEBYSCORE 操作),这是因为它的数据结构设计采用了跳表,而又能以常数复杂度获取元素权重(如 ZSCORE 操作),这是因为它同时采用了哈希表进行索引。

可能很多人会奇怪,为什么我开头说 Zset 对象的底层数据结构是「压缩列表」或者「跳表」,而没有说哈希表呢?

Zset 对象在使用跳表作为数据结构的时候,是使用由「哈希表+跳表」组成的 struct zset,但是我们讨论的时候,都会说跳表是 Zset 对象的底层数据结构,而不会提及哈希表,是因为 struct zset 中的哈希表只是用于以常数复杂度获取元素权重,大部分操作都是跳表实现的。

接下来,详细的说下跳表。

#跳表结构设计

链表在查找元素的时候,因为需要逐一查找,所以查询效率非常低,时间复杂度是O(N),于是就出现了跳表。跳表是在链表基础上改进过来的,实现了一种「多层」的有序链表,这样的好处是能快读定位数据。

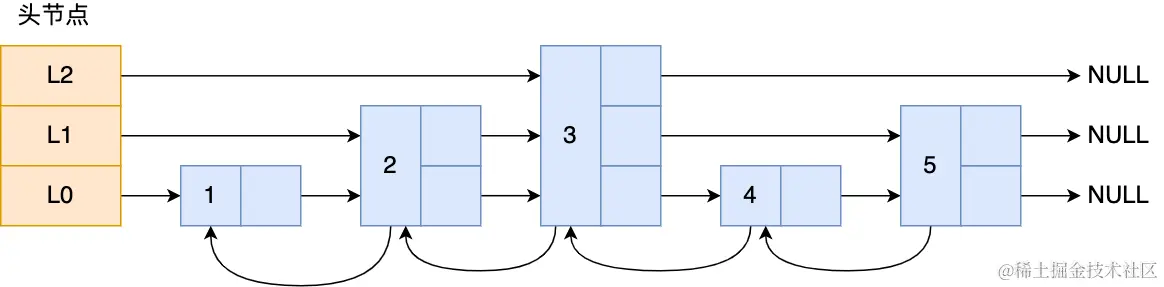
那跳表长什么样呢?我这里举个例子,下图展示了一个层级为 3 的跳表。

可以看到,这个查找过程就是在多个层级上跳来跳去,最后定位到元素。当数据量很大时,跳表的查找复杂度就是 O(logN)。

那跳表节点是怎么实现多层级的呢?这就需要看「跳表节点」的数据结构了,如下:

typedef struct zskiplistNode {
    //Zset 对象的元素值
    sds ele;
    //元素权重值
    double score;
    //后向指针
    struct zskiplistNode *backward;
  
    //节点的level数组,保存每层上的前向指针和跨度
    struct zskiplistLevel {
        struct zskiplistNode *forward;
        unsigned long span;
    } level[];
} zskiplistNode;

Zset 对象要同时保存「元素」和「元素的权重」,对应到跳表节点结构里就是 sds 类型的 ele 变量和 double 类型的 score 变量。每个跳表节点都有一个后向指针(struct zskiplistNode *backward),指向前一个节点,目的是为了方便从跳表的尾节点开始访问节点,这样倒序查找时很方便。

跳表是一个带有层级关系的链表,而且每一层级可以包含多个节点,每一个节点通过指针连接起来,实现这一特性就是靠跳表节点结构体中的zskiplistLevel 结构体类型的 level 数组

level 数组中的每一个元素代表跳表的一层,也就是由 zskiplistLevel 结构体表示,比如 leve[0] 就表示第一层,leve[1] 就表示第二层。zskiplistLevel 结构体里定义了「指向下一个跳表节点的指针」和「跨度」,跨度时用来记录两个节点之间的距离。

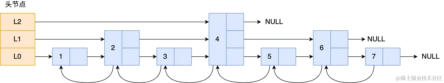
比如,下面这张图,展示了各个节点的跨度。

第一眼看到跨度的时候,以为是遍历操作有关,实际上并没有任何关系,遍历操作只需要用前向指针(struct zskiplistNode *forward)就可以完成了。

跨度实际上是为了计算这个节点在跳表中的排位。具体怎么做的呢?因为跳表中的节点都是按序排列的,那么计算某个节点排位的时候,从头节点点到该结点的查询路径上,将沿途访问过的所有层的跨度累加起来,得到的结果就是目标节点在跳表中的排位。

举个例子,查找图中节点 3 在跳表中的排位,从头节点开始查找节点 3,查找的过程只经过了一个层(L2),并且层的跨度是 3,所以节点 3 在跳表中的排位是 3。

另外,图中的头节点其实也是 zskiplistNode 跳表节点,只不过头节点的后向指针、权重、元素值都没有用到,所以图中省略了这部分。

问题来了,由谁定义哪个跳表节点是头节点呢?这就介绍「跳表」结构体了,如下所示:

typedef struct zskiplist {
    struct zskiplistNode *header, *tail;
    unsigned long length;
    int level;
} zskiplist;

跳表结构里包含了:

  • 跳表的头尾节点,便于在O(1)时间复杂度内访问跳表的头节点和尾节点;
  • 跳表的长度,便于在O(1)时间复杂度获取跳表节点的数量;
  • 跳表的最大层数,便于在O(1)时间复杂度获取跳表中层高最大的那个节点的层数量;

#跳表节点查询过程

查找一个跳表节点的过程时,跳表会从头节点的最高层开始,逐一遍历每一层。在遍历某一层的跳表节点时,会用跳表节点中的 SDS 类型的元素和元素的权重来进行判断,共有两个判断条件:

  • 如果当前节点的权重「小于」要查找的权重时,跳表就会访问该层上的下一个节点。
  • 如果当前节点的权重「等于」要查找的权重时,并且当前节点的 SDS 类型数据「小于」要查找的数据时,跳表就会访问该层上的下一个节点。

如果上面两个条件都不满足,或者下一个节点为空时,跳表就会使用目前遍历到的节点的 level 数组里的下一层指针,然后沿着下一层指针继续查找,这就相当于跳到了下一层接着查找。

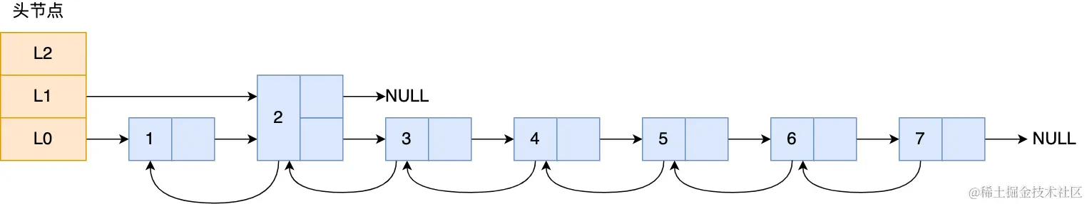
举个例子,下图有个 3 层级的跳表。

如果要查找「元素:abcd,权重:4」的节点,查找的过程是这样的:

  • 先从头节点的最高层开始,L2 指向了「元素:abc,权重:3」节点,这个节点的权重比要查找节点的小,所以要访问该层上的下一个节点;
  • 但是该层的下一个节点是空节点( leve[2]指向的是空节点),于是就会跳到「元素:abc,权重:3」节点的下一层去找,也就是 leve[1];
  • 「元素:abc,权重:3」节点的 leve[1] 的下一个指针指向了「元素:abcde,权重:4」的节点,然后将其和要查找的节点比较。虽然「元素:abcde,权重:4」的节点的权重和要查找的权重相同,但是当前节点的 SDS 类型数据「大于」要查找的数据,所以会继续跳到「元素:abc,权重:3」节点的下一层去找,也就是 leve[0];
  • 「元素:abc,权重:3」节点的 leve[0] 的下一个指针指向了「元素:abcd,权重:4」的节点,该节点正是要查找的节点,查询结束。

#跳表节点层数设置

跳表的相邻两层的节点数量的比例会影响跳表的查询性能。

举个例子,下图的跳表,第二层的节点数量只有 1 个,而第一层的节点数量有 6 个。

这时,如果想要查询节点 6,那基本就跟链表的查询复杂度一样,就需要在第一层的节点中依次顺序查找,复杂度就是 O(N) 了。所以,为了降低查询复杂度,我们就需要维持相邻层结点数间的关系。

跳表的相邻两层的节点数量最理想的比例是 2:1,查找复杂度可以降低到 O(logN)

下图的跳表就是,相邻两层的节点数量的比例是 2 : 1。

那怎样才能维持相邻两层的节点数量的比例为 2 : 1 呢?

如果采用新增节点或者删除节点时,来调整跳表节点以维持比例的方法的话,会带来额外的开销。

Redis 则采用一种巧妙的方法是,跳表在创建节点的时候,随机生成每个节点的层数,并没有严格维持相邻两层的节点数量比例为 2 : 1 的情况。

具体的做法是,跳表在创建节点时候,会生成范围为[0-1]的一个随机数,如果这个随机数小于 0.25(相当于概率 25%),那么层数就增加 1 层,然后继续生成下一个随机数,直到随机数的结果大于 0.25 结束,最终确定该节点的层数

这样的做法,相当于每增加一层的概率不超过 25%,层数越高,概率越低,层高最大限制是 64。

虽然我前面讲解跳表的时候,图中的跳表的「头节点」都是 3 层高,但是其实如果层高最大限制是 64,那么在创建跳表「头节点」的时候,就会直接创建 64 层高的头节点

如下代码,创建跳表时,头节点的 level 数组有 ZSKIPLIST_MAXLEVEL个元素(层),节点不存储任何 member 和 score 值,level 数组元素的 forward 都指向NULL, span值都为0。

/* Create a new skiplist. */
zskiplist *zslCreate(void) {
    int j;
    zskiplist *zsl;

    zsl = zmalloc(sizeof(*zsl));
    zsl->level = 1;
    zsl->length = 0;
    zsl->header = zslCreateNode(ZSKIPLIST_MAXLEVEL,0,NULL);
    for (j = 0; j < ZSKIPLIST_MAXLEVEL; j++) {
        zsl->header->level[j].forward = NULL;
        zsl->header->level[j].span = 0;
    }
    zsl->header->backward = NULL;
    zsl->tail = NULL;
    return zsl;
}

其中,ZSKIPLIST_MAXLEVEL 定义的是最高的层数,Redis 7.0 定义为 32,Redis 5.0 定义为 64,Redis 3.0 定义为 32。

#为什么用跳表而不用平衡树?

这里插一个常见的面试题:为什么 Zset 的实现用跳表而不用平衡树(如 AVL树、红黑树等)?

对于这个问题 (opens new window),Redis的作者 @antirez 是怎么说的:

There are a few reasons:

  1. They are not very memory intensive. It's up to you basically. Changing parameters about the probability of a node to have a given number of levels will make then less memory intensive than btrees.
  2. A sorted set is often target of many ZRANGE or ZREVRANGE operations, that is, traversing the skip list as a linked list. With this operation the cache locality of skip lists is at least as good as with other kind of balanced trees.
  3. They are simpler to implement, debug, and so forth. For instance thanks to the skip list simplicity I received a patch (already in Redis master) with augmented skip lists implementing ZRANK in O(log(N)). It required little changes to the code.

简单翻译一下,主要是从内存占用、对范围查找的支持、实现难易程度这三方面总结的原因:

  • 它们不是非常内存密集型的。基本上由你决定。改变关于节点具有给定级别数的概率的参数将使其比 btree 占用更少的内存。
  • Zset 经常需要执行 ZRANGE 或 ZREVRANGE 的命令,即作为链表遍历跳表。通过此操作,跳表的缓存局部性至少与其他类型的平衡树一样好。
  • 它们更易于实现、调试等。例如,由于跳表的简单性,我收到了一个补丁(已经在Redis master中),其中扩展了跳表,在 O(log(N) 中实现了 ZRANK。它只需要对代码进行少量修改。

我再详细补充点:

  • 从内存占用上来比较,跳表比平衡树更灵活一些。平衡树每个节点包含 2 个指针(分别指向左右子树),而跳表每个节点包含的指针数目平均为 1/(1-p),具体取决于参数 p 的大小。如果像 Redis里的实现一样,取 p=1/4,那么平均每个节点包含 1.33 个指针,比平衡树更有优势。
  • 在做范围查找的时候,跳表比平衡树操作要简单。在平衡树上,我们找到指定范围的小值之后,还需要以中序遍历的顺序继续寻找其它不超过大值的节点。如果不对平衡树进行一定的改造,这里的中序遍历并不容易实现。而在跳表上进行范围查找就非常简单,只需要在找到小值之后,对第 1 层链表进行若干步的遍历就可以实现。
  • 从算法实现难度上来比较,跳表比平衡树要简单得多。平衡树的插入和删除操作可能引发子树的调整,逻辑复杂,而跳表的插入和删除只需要修改相邻节点的指针,操作简单又快速。

quicklist

在 Redis 3.0 之前,List 对象的底层数据结构是双向链表或者压缩列表。然后在 Redis 3.2 的时候,List 对象的底层改由 quicklist 数据结构实现。

其实 quicklist 就是「双向链表 + 压缩列表」组合,因为一个 quicklist 就是一个链表,而链表中的每个元素又是一个压缩列表。

在前面讲压缩列表的时候,我也提到了压缩列表的不足,虽然压缩列表是通过紧凑型的内存布局节省了内存开销,但是因为它的结构设计,如果保存的元素数量增加,或者元素变大了,压缩列表会有「连锁更新」的风险,一旦发生,会造成性能下降。

quicklist 解决办法,通过控制每个链表节点中的压缩列表的大小或者元素个数,来规避连锁更新的问题。因为压缩列表元素越少或越小,连锁更新带来的影响就越小,从而提供了更好的访问性能。

#quicklist 结构设计

quicklist 的结构体跟链表的结构体类似,都包含了表头和表尾,区别在于 quicklist 的节点是 quicklistNode。

typedef struct quicklist {
    //quicklist的链表头
    quicklistNode *head;      //quicklist的链表头
    //quicklist的链表尾
    quicklistNode *tail; 
    //所有压缩列表中的总元素个数
    unsigned long count;
    //quicklistNodes的个数
    unsigned long len;       
    ...
} quicklist;

接下来看看,quicklistNode 的结构定义:

typedef struct quicklistNode {
    //前一个quicklistNode
    struct quicklistNode *prev;     //前一个quicklistNode
    //下一个quicklistNode
    struct quicklistNode *next;     //后一个quicklistNode
    //quicklistNode指向的压缩列表
    unsigned char *zl;              
    //压缩列表的的字节大小
    unsigned int sz;                
    //压缩列表的元素个数
    unsigned int count : 16;        //ziplist中的元素个数 
    ....
} quicklistNode;

可以看到,quicklistNode 结构体里包含了前一个节点和下一个节点指针,这样每个 quicklistNode 形成了一个双向链表。但是链表节点的元素不再是单纯保存元素值,而是保存了一个压缩列表,所以 quicklistNode 结构体里有个指向压缩列表的指针 *zl。

我画了一张图,方便你理解 quicklist 数据结构。

在向 quicklist 添加一个元素的时候,不会像普通的链表那样,直接新建一个链表节点。而是会检查插入位置的压缩列表是否能容纳该元素,如果能容纳就直接保存到 quicklistNode 结构里的压缩列表,如果不能容纳,才会新建一个新的 quicklistNode 结构。

quicklist 会控制 quicklistNode 结构里的压缩列表的大小或者元素个数,来规避潜在的连锁更新的风险,但是这并没有完全解决连锁更新的问题。

#listpack

quicklist 虽然通过控制 quicklistNode 结构里的压缩列表的大小或者元素个数,来减少连锁更新带来的性能影响,但是并没有完全解决连锁更新的问题。

因为 quicklistNode 还是用了压缩列表来保存元素,压缩列表连锁更新的问题,来源于它的结构设计,所以要想彻底解决这个问题,需要设计一个新的数据结构。

于是,Redis 在 5.0 新设计一个数据结构叫 listpack,目的是替代压缩列表,它最大特点是 listpack 中每个节点不再包含前一个节点的长度了,压缩列表每个节点正因为需要保存前一个节点的长度字段,就会有连锁更新的隐患。

我看了 Redis 的 Github,在最新 6.2 发行版本中,Redis Hash 对象、ZSet 对象的底层数据结构的压缩列表还未被替换成 listpack,而 Redis 的最新代码(还未发布版本)已经将所有用到压缩列表底层数据结构的 Redis 对象替换成 listpack 数据结构来实现,估计不久将来,Redis 就会发布一个将压缩列表为 listpack 的发行版本

#listpack 结构设计

listpack 采用了压缩列表的很多优秀的设计,比如还是用一块连续的内存空间来紧凑地保存数据,并且为了节省内存的开销,listpack 节点会采用不同的编码方式保存不同大小的数据。

我们先看看 listpack 结构:

listpack 头包含两个属性,分别记录了 listpack 总字节数和元素数量,然后 listpack 末尾也有个结尾标识。图中的 listpack entry 就是 listpack 的节点了。

每个 listpack 节点结构如下:

主要包含三个方面内容:

  • encoding,定义该元素的编码类型,会对不同长度的整数和字符串进行编码;
  • data,实际存放的数据;
  • len,encoding+data的总长度;

可以看到,listpack 没有压缩列表中记录前一个节点长度的字段了,listpack 只记录当前节点的长度,当我们向 listpack 加入一个新元素的时候,不会影响其他节点的长度字段的变化,从而避免了压缩列表的连锁更新问题

作者:ThoU
链接:juejin.cn/post/727646…
来源:稀土掘金
著作权归作者所有。商业转载请联系作者获得授权,非商业转载请注明出处。

来源参考知乎《Redis 5种数据结构 及使用场景分析》

作者:LeetCode 链接:leetcode.cn/leetbook/re… 来源:力扣(LeetCode) 著作权归作者所有。商业转载请联系作者获得授权,非商业转载请注明出处。