Amos路径分析方法与所得结果参数介绍

3,928 阅读7分钟

  本文介绍基于Amos软件进行路径分析的基本流程,及其中涉及的模型参数的含义等。系列文章共有四篇,本文为第一篇,主要关注相关流程的操作方法。

1 数据准备

  本文所用数据包括某地百余个土壤采样点对应的一种土壤属性含量变量(BC)及与其有关的5种环境变量(Temp,Slope,Roden,POI,GAIA),存储于“xlsx”文件内。由于本文所用的土壤采样点空间数据集并不是我的,因此遗憾不能将这一数据一并提供给大家;但是依据本篇博客的思想与对操作步骤的详细解释,大家用自己手头的数据,可以将相关操作与分析过程加以完整重现。

1.1 数据格式转换

  首先,为了Amos软件可以更方便地读取数据,我们首先将Excel格式的数据转为SPSS的.sav格式文件。

  打开SPSS Statistics软件,选择“文件”→“打开”→“数据”。

  选择存储初始数据的Excel文件并打开。

  随后,将其保存并配置文件名、路径等。

  即可看到新保存的.sav文件。

2 结构方程模型建立

2.1 变量相互关系确定

  首先确定每一个变量之间的相互关系。本文就针对上述土壤属性数据,判断得到变量之间的相互关系。

RoDen影响POI

RoDen影响Temp

POI影响Temp

GAIA影响POI

GAIA影响Temp

GAIA影响Roden

Temp影响BC

GAIA影响BC

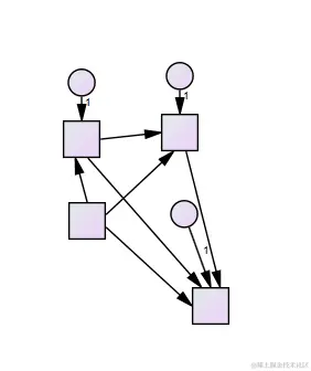
2.2 路径图绘制

  随后,依据上述关系在Amos中绘制路径图。其中,由于AMOS路径图表示的为线性回归模型,因此所有因变量(即有箭头指向的变量)都需加上一个残差项(就是下图中这个圆圆的东西)。

  上面绘制的路径图有点丑,可以用软件左侧的“魔术棒”(Touch up a variable按钮)加以调整。

2.3 数据导入

  路径图结构绘制完成后,我们将第一部分处理好的数据导入模型。点击Amos左侧“Select data files”按钮。

  选中Group Name后,点击“File Name”,选中需要的“.sav”数据。在“N”中看到数据的样本个数正确,即说明数据导入成功。

  随后,点击软件左侧“List variables in data set”按钮,将对应的数据放入矩形框中。

  可以看到“List variables in model”中已经有了我们需要探究的5种变量。

  随后对残差项加以命名。点击软件上方的“Plugins”→“Name Unobserved Variables”,即可实现对图中的全部残差项加以命名。

  如下图所示。

  至此,即完成了路径图的绘制(上图BC忘记加残差项了,到了后面运行模型时才发现)。可先将模型保存,方便后期的使用。

3 模型运行与结果

3.1 模型方法参数选择

  点击软件左侧“Analysis properties”,打开“Estimation”,即可对模型的相关方法加以选择。

  其中,左上角“Discrepancy”(误差)方框内为模型拟合参数的估计方法。我们需要做的是,寻求合适的模型参数,使得模型隐含的协方差矩阵(即再生矩阵)与样本自身的协方差矩阵的“Discrepancy”(误差)尽可能小。那么左上角这些方法,便是使得误差尽可能小的不同方法。

  在这里,模型拟合参数的估计方法默认为第一个“Maximum likelihood”(最大似然法),其适合于样本数量较多、所得观测数据符合多元正态分布的情况(这一方法最为常用)。第二个为“一般最小化平方法”,其适合于样本数量较多、所得观测数据不符合多元正态分布的情况。第三个为“无加权最小二乘法”,其与第二个均位全信息估计方法,但“无加权最小二乘法”需要数据的观察尺度相同。第四个为“自由度量最小二乘法”。第五个为“任意分布法”,若样本数量超过1000,且数据不服从正太分布时可以用此方法。

  右上角第一个为“Estimate means and intercepts”,即是否计算平均值与截距。在以下三种情况中,我们可以勾选此项:

  1. 数据有缺失。
  1. 数据为时序性数据。
  1. 需要进行Anova分析或Manova分析。

  右上角第二个为“Emulisrel6”,若勾选此项,模型会得到与“LISREL”软件(另一款与Amos类似的软件,个人认为可以将“Emulisrel6”理解为其内核)一致的结果。

  右侧第三个为“Chicorrect”,其作用为指定常数r的值。若此框为空白,r的值将以组数为准。需要注意的是,当均值和截距是高度约束的模型参数时,应考虑在此框中填写0。

  下方为“For the purpose of computing fit measures with incomplete data”选项,即确定在数据包含缺失值时,是否需要调整从而适合饱和模型和/或独立模型。其中,饱和模型是指各观测变量之间均允许相关的最复杂模型,其自由度为0。换句话说,饱和模型就是人为设定约束条件最少、纯粹按照数据相互关系来构建的最优、理想状态下的模型。对于饱和模型而言,其隐藏协方差应当和样本协方差一致(而对于过度限定的模型而言并非如此,在此情况下,若保证模型正确,其隐藏协方差较之样本协方差更接近总体协方差)。此处三个选项分别为“适合饱和的独立模型”“仅适合饱和模型”与“均不适合”。

3.2 模型输出参数选择

  点击软件左侧“Analysis properties”,打开“Output”,即可对输出的结果加以选择。这里均位各种模型情况评估指标,例如模型整体拟合度评估指标、测量模型评估指标和结构模型评估指标等。一般的,我们按照如下的设置即可。

3.3 模型运行

  点击软件左侧“Calculate estimaters”,即可对模型加以运行。但是第一次运行报错如下:

  这就是上述提到的,BC忘记加残差项。修改后便可以正常运行模型。

3.4 模型结果

  运行模型,完成后如下图:

  其中,左侧红色区域表明了本次模型的执行结果。我们看第二段内容即可,其中,其含义分别如下:

Scanning AllData5Factor:扫描初始数据

Reading data:读取数据

106 cases:数据共有106个样本

Default model:模型运用了默认的方法获取差异值,即下图的ML方法(最大似然法)

Minimization:模型运用了最小化方法进行迭代

Minimum was achieved:取得了差异最小值

Writing output:输出结果

Chi-square = 8.3, df= 2:卡方为8.3,自由度为2

  此外,在模型上方的视图调整按钮,我们可以选择在右图中显示输出非标准化结果或标准化结果图像。其中,若为非标准化结果,自变量、残差旁的数字代表其方差;而对于标准化结果,箭头旁的数字代表对应回归方程的R方。

  此外,点击软件左侧“View Text”按钮,可以查看更为详细的模型结果。

  关于模型运行后所得结果更为细致的介绍,我们将在后续的博客中加以涉及。