【爬虫+数据分析+数据可视化】用python分析《202X胡润百富榜》榜单数据!

193 阅读9分钟

目录

一、爬虫

1.1 爬取目标

本次爬取的目标是,2022年胡润百富榜的榜单数据:胡润百富 - 榜单

适用最新年份榜单:想爬取《胡润2023榜单》的同学,只需把请求地址URL中的「AA777E5L」改为「16BKYYA3」即可。

页面上能看到的信息有:
排名、财富值、排名变化、个人信息(姓名、性别、年龄)、企业信息(企业名称、所属行业)
页面结构很整齐,数据也很完整,非常适合爬虫和数据分析使用。

1.2 分析页面

老规矩,打开Chrome浏览器,按F12进入开发者模式,依次点击Network->Fetch/XHR,准备好捕获ajax请求。
重新刷新一下页面,发现一条请求:

在预览界面,看到一共20条(0~19)返回数据,正好对应页面上的20个富豪信息。
所以,后面编写爬虫代码,针对这个地址发送请求就可以了。
另外,关于翻页,我的个人习惯是,选择每页显示最多的数据量,这样能保证少翻页几次,少发送几次请求,防止被对端服务器反爬。
所以,每页选择200条数据:

再刷新一下页面,进行几次翻页,观察请求地址的变化规律:

以翻到第3页为例,url中的offset(偏移量)为400,limit(每页的条数)为200,所以,可得出规律:

offset = (page - 1) * 200
limit = 200

下面开始编写爬虫代码。

1.3 爬虫代码

首先,导入需要用到的库:

import requests  # 发送请求
import pandas as pd  # 存入excel数据
from time import sleep  # 等待间隔,防止反爬
import random  # 随机等待

根据1.2章节分析得出的结论,编写逻辑代码,向页面发送请求:

# 循环请求1-15页
for page in range(1, 16):
	# 胡润百富榜地址
	sleep_seconds = random.uniform(1, 2)
	print('开始等待{}秒'.format(sleep_seconds))
	sleep(sleep_seconds)
	print('开始爬取第{}页'.format(page))
	offset = (page - 1) * 200
	url = 'https://www.hurun.net/zh-CN/Rank/HsRankDetailsList?num=YUBAO34E&search=&offset={}&limit=200'.format(offset)
	# 构造请求头
	headers = {
		'User-Agent': 'Mozilla/5.0 (Linux; Android 6.0; Nexus 5 Build/MRA58N) AppleWebKit/537.36 (KHTML, like Gecko) Chrome/99.0.4844.51 Mobile Safari/537.36',
		'accept': 'application/json, text/javascript, */*; q=0.01',
		'accept-language': 'zh-CN,zh;q=0.9,en-US;q=0.8,en;q=0.7',
		'accept-encoding': 'gzip, deflate, br',
		'content-type': 'application/json',
		'referer': 'https://www.hurun.net/zh-CN/Rank/HsRankDetails?pagetype=rich'
	}
	# 发送请求
	r = requests.get(url, headers=headers)

用json格式解析返回的请求数据:(一行代码即可完成接收)

json_data = r.json()

由于解析的字段较多,这里不再赘述详细过程,字段信息包含:

Fullname_Cn_list = []  # 全名_中文
Fullname_En_list = []  # 全名_英文
Age_list = []  # 年龄
BirthPlace_Cn_list = []  # 出生地_中文
BirthPlace_En_list = []  # 出生地_英文
Gender_list = []  # 性别
Photo_list = []  # 照片
ComName_Cn_list = []  # 公司名称_中文
ComName_En_list = []  # 公司名称_英文
ComHeadquarters_Cn_list = []  # 公司总部地_中文
ComHeadquarters_En_list = []  # 公司总部地_英文
Industry_Cn_list = []  # 所在行业_中文
Industry_En_list = []  # 所在行业_英文
Ranking_list = []  # 排名
Ranking_Change_list = []  # 排名变化
Relations_list = []  # 组织结构
Wealth_list = []  # 财富值_人民币_亿
Wealth_Change_list = []  # 财富值变化
Wealth_USD_list = []  # 财富值_美元
Year_list = []  # 年份

最后,依然采用我最习惯的保存数据的方法,先拼装DataFrame数据:

df = pd.DataFrame(  # 拼装爬取到的数据为DataFrame
		{
			'排名': Ranking_list,
			'排名变化': Ranking_Change_list,
			'全名_中文': Fullname_Cn_list,
			'全名_英文': Fullname_En_list,
			'年龄': Age_list,
			'出生地_中文': BirthPlace_Cn_list,
			'出生地_英文': BirthPlace_En_list,
			'性别': Gender_list,
			'照片': Photo_list,
			'公司名称_中文': ComName_Cn_list,
			'公司名称_英文': ComName_En_list,
			'公司总部地_中文': ComHeadquarters_Cn_list,
			'公司总部地_英文': ComHeadquarters_En_list,
			'所在行业_中文': Industry_Cn_list,
			'所在行业_英文': Industry_En_list,
			'组织结构': Relations_list,
			'财富值_人民币_亿': Wealth_list,
			'财富值变化': Wealth_Change_list,
			'财富值_美元': Wealth_USD_list,
			'年份': Year_list
		}
				)

再用pandas的to_csv方法保存:

# 保存结果数据
df.to_csv('2022胡润百富榜.csv', mode='a+', index=False, header=header, encoding='utf_8_sig')

注意,加上这个编码格式选项(utf_8_sig),否则产生乱码哦。
爬虫开发完成,下面展示结果数据。

1.4 结果数据

看一下榜单上TOP20的数据吧:

数据一共2916条,19个字段信息,含:

排名、排名变化、全名_中文、全名_英文、年龄、出生地_中文、出生地_英文、性别、公司名称_中文、公司名称_英文、公司总部地_中文、公司总部地_英文、所在行业_中文、所在行业_英文、组织结构、财富值_人民币_亿、财富值变化、 财富值_美元、年份。

数据信息还是很丰富的,希望能够挖掘出一些有价值的结论!

二、数据分析

2.1 导入库

首先,导入用于数据分析的库:

import pandas as pd  # 读取csv文件
import matplotlib.pyplot as plt  # 画图
from wordcloud import WordCloud  # 词云图

增加一个配置项,用于解决matplotlib中文乱码的问题:

# 解决中文显示问题
plt.rcParams['font.sans-serif'] = ['SimHei']  # 显示中文标签  # 指定默认字体
plt.rcParams['axes.unicode_minus'] = False  # 解决保存图像是负号'-'显示为方块的问题

读取csv数据:

# 读取csv数据
df = pd.read_csv('2022胡润百富榜.csv')

2.2 数据概况

查看数据形状:

查看前3名富豪:

查看最后3名富豪:

描述性统计:

从描述性统计,可以得出结论:
从最大值3900亿、最小值20亿、方差242来看,分布很零散,各位富豪掌握的财富差距很大,马太效应明显。

2.3 可视化分析

2.3.1 财富分布

代码:

df_Wealth = df['财富值_人民币_亿']
# 绘图
df_Wealth.plot.hist(figsize=(18, 6), grid=True, title='财富分布-直方图')
# 保存图片
plt.savefig('财富分布-直方图.png')

可视化图:

结论:大部分的富豪的财富集中在20亿~400亿之间,个别顶级富豪的财富在3000亿以上。

2.3.2 年龄分布

代码:

# 剔除未知
df_Age = df[df.年龄 != '未知']
# 数据切割,8个分段
df_Age_cut = pd.cut(df_Age.年龄.astype(float), bins=[20, 30, 40, 50, 60, 70, 80, 90, 100])
# 画柱形图
df_Age_cut.value_counts().plot.bar(figsize=(16, 6), title='年龄分布-柱形图')
# 保存图片
plt.savefig('年龄分布-柱形图.png')

可视化图:

结论:大部分富豪的年龄在50-60岁,其次是60-70和40-50岁。极少数富豪在20-30岁(年轻有为👍)

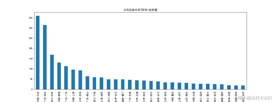
2.3.3 公司总部分布

代码:

df_ComHeadquarters = df['公司总部地_中文'].value_counts()
# 绘图
df_ComHeadquarters.nlargest(n=30).plot.bar(
    figsize=(16, 6),  # 图片大小
    grid=False,  # 显示网格
    title='公司总部分布TOP30-柱形图'  # 图片标题
)
# 保存图片
plt.savefig('公司总部分布TOP30-柱形图.png')

可视化图:

结论:公司分布城市,大多集中在北上广深等一线城市,另外杭州、香港、苏州也位列前茅。

2.3.4 性别分布

代码:

df_Gender = df['性别'].value_counts()
# 绘图
df_Gender.plot.pie(
    figsize=(8, 8),  # 图片大小
    legend=True,  # 显示图例
    autopct='%1.2f%%',  # 百分比格式
    title='性别占比分布-饼图',  # 图片标题
)
# 保存图片
plt.savefig('性别占比分布-饼图.png')

可视化图:

结论:男性富豪占据绝大多数,个别女性在列(巾帼不让须眉👍)

2.3.5 行业分布

代码:

df_Industry = df['所在行业_中文'].value_counts()
df_Industry.nlargest(n=20).plot.bar(
    figsize=(18, 6),  # 图片大小
    grid=False,  # 显示网格
    title='行业分布TOP20-柱形图'  # 图片标题
)
# 保存图片
plt.savefig('行业分布TOP20-柱形图.png')

可视化图:

结论:百富榜中占比最多的行业分别是:房地产、医药、投资、化工等。

2.3.6 组织结构分布

代码:

df_Relations = df['组织结构'].value_counts()
# 绘图
df_Relations.plot.pie(
    figsize=(8, 8),  # 图片大小
    legend=True,  # 显示图例
    autopct='%1.2f%%',  # 百分比格式
    title='组织结构分布-饼图',  # 图片标题
)
# 保存图片
plt.savefig('组织结构分布-饼图.png')

可视化图:

结论:半数以上是未知,企业未对外开放,或榜单没有统计到;家族和夫妇占据前两类。

2.3.7 公司名称词云图

代码:

ComName_list = df['公司名称_中文'].values.tolist()
ComName_str = ' '.join(ComName_list)
stopwords = []  # 停用词
# backgroud_Image = np.array(Image.open('幻灯片2.png'))  # 读取背景图片
wc = WordCloud(
    scale=3,  # 清晰度
    background_color="white",  # 背景颜色
    max_words=1000,#最大字符数
    width=800,  # 图宽
    height=500,  # 图高
    font_path='/System/Library/Fonts/SimHei.ttf',  # 字体文件路径,根据实际情况替换
    stopwords=stopwords,  # 停用词
    # 	mask=backgroud_Image,  # 背景图片
)
wc.generate_from_text(ComName_str)  # 生成词云图
wc.to_file('2022胡润百富榜_公司名称_词云图.png')  # 保存图片
wc.to_image()  # 显示图片

可视化图:

结论:阿里系公司占据榜首,其次是海天味业等。

三、整体结论

综上所述,针对2022年胡润百富榜的榜单数据,得出如下结论:

财富分布:大部分的富豪的财富集中在20亿~400亿之间,个别顶级富豪的财富在3000亿以上。
年龄分布:大部分富豪的年龄在50-60岁,其次是60-70和40-50岁。极少数富豪在20-30岁(年轻有为👍)
城市分布:公司分布城市,大多集中在北上广深等一线城市,另外杭州、香港、苏州也位列前茅
性别分布:男性富豪占据绝大多数,个别女性在列(巾帼不让须眉👍)
行业分布:百富榜中占比最多的行业分别是:房地产、医药、投资、化工等
组织结构分布:半数以上是未知,企业未对外开放,或榜单没有统计到;家族和夫妇占据前两类。
公司名称分布:阿里系公司占据榜首,其次是海天味业等。

四、同步视频讲解

4.1 上集(爬虫讲解)

爬虫讲解视频:
www.zhihu.com/zvideo/1492…

4.2 下集(数据分析讲解)

可视化讲解视频:
www.zhihu.com/zvideo/1492…

五、附完整源码

完整源码:【爬虫+数据分析+数据可视化】python数据分析全流程《2022胡润百富榜》榜单数据!