图解LeetCode——24. 两两交换链表中的节点

286 阅读2分钟

一、题目

给你一个链表,两两交换其中相邻的节点,并返回交换后链表的头节点。你必须在不修改节点内部的值的情况下完成本题(即,只能进行节点交换)。

二、示例

2.1> 示例 1:

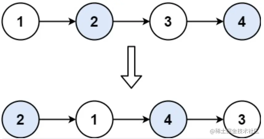
输入】head = [1,2,3,4]
输出】[2,1,4,3]

2.2> 示例 2:

输入】head = []
输出】[]

2.3> 示例 3:

输入】head = [1]
输出】[1]

提示:

  • 链表中节点的数目在范围 [0, 100]
  • 0 <= Node.val <= 100

三、解题思路

3.1> 思路1:遍历交换

根据题目描述,我们需要两两交换节点,然后将最终交换后的链表的头节点返回回来。那么第一个解题思路就是我们通过遍历链表中的节点,然后进行交换操作。为了方便起见,我们可以在原链表的头节点前面再创建一个虚拟节点Node(-1),然后创建两个指针p1p2p1指向虚拟节点,p2指向原链表的头节点(即:Node(-1)next节点),这样,我们就可以通过一下逻辑实现节点交换了,以输入head = [1,2,3,4,5]为例,即:

步骤1】通过调用ListNode t = p2.next.next暂存Node(3)节点;
步骤2】通过调用p1.next = p2.next来将Node(-1)链接到Node(2)节点;
步骤3】通过调用p2.next.next = p2来将Node(2)链接到Node(1)节点;
步骤4】通过调用p2.next = t来将Node(1)链接到Node(3)节点;
交换结果】此时链表就变为了Node(-1)——>Node(2)——>Node(1)——>Node(3)——>……了。

执行了一次两个相邻节点交换操作之后,我们需要同时移动p1p2指针,即:

移动p2指针p2 = p2.next;
移动p1指针p1 = p1.next.next;

以上就是本题的解题思路,为了方便大家理解,我们以输入为 head = [1,2,3,4,5] 为例,来看一下具体的操作流程。请见下图所示:

3.2> 思路2:递归交换

我们除了思路一的解题方式之外,还可以通过递归的方式进行解题,其实具体思路跟思路1是极其相似的,只是写法的差异而已,此处就不再赘述和画图了,具体的解题请见下方实现2的代码部分即可。

四、代码实现

4.1> 实现1:遍历交换

class Solution {
    public ListNode swapPairs(ListNode head) {
        ListNode temp = new ListNode(-1, head);
        ListNode p1 = temp, p2 = head;
        while(p2 != null && p2.next != null) {
            ListNode t = p2.next.next;
            p1.next = p2.next;
            p2.next.next = p2;
            p2.next = t;
            p2 = p2.next;
            p1 = p1.next.next;
        }
        return temp.next;
    }
}
/**
 * Definition for singly-linked list.
 * public class ListNode {
 *     int val;
 *     ListNode next;
 *     ListNode() {}
 *     ListNode(int val) { this.val = val; }
 *     ListNode(int val, ListNode next) { this.val = val; this.next = next; }
 * }
 */

4.2> 实现2:递归交换

class Solution {
    public ListNode swapPairs(ListNode head) {
        if (head == null || head.next == null) return head;
        ListNode newHead = head.next;
        head.next = swapPairs(head.next.next);
        newHead.next = head;
        return newHead;
    }
}

今天的文章内容就这些了:

写作不易,笔者几个小时甚至数天完成的一篇文章,只愿换来您几秒钟的 点赞 & 分享

更多技术干货,欢迎大家关注公众号“爪哇缪斯” ~ \(^o^)/ ~ 「干货分享,每天更新」