判断环形链表是否有环??返回环形链表的入口点!!

923 阅读7分钟
  1. 环形链表

给你一个链表的头节点 head ,判断链表中是否有环。

如果链表中有某个节点,可以通过连续跟踪 next 指针再次到达,则链表中存在环。 为了表示给定链表中的环,评测系统内部使用整数 pos 来表示链表尾连接到链表中的位置(索引从 0 开始)。注意:pos 不作为参数进行传递 。仅仅是为了标识链表的实际情况。

如果链表中存在环 ,则返回 true 。 否则,返回 false 。

示例 1:

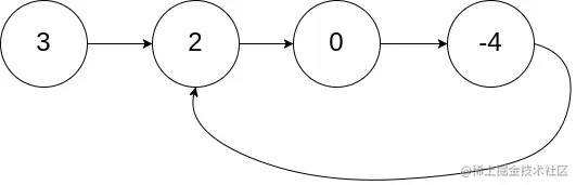
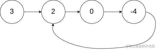
f86e7b96495a638dcf7972c32ce68048.png 输入:head = [3,2,0,-4], pos = 1

输出:true

解释:链表中有一个环,其尾部连接到第二个节点。

示例 2:

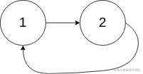
fb63d901f23a690aff094b34bebadc2f.png 输入:head = [1,2], pos = 0

输出:true

解释:链表中有一个环,其尾部连接到第一个节点。

示例 3:

1fa1c4273e2d59e1382de763290e741d.png 输入:head = [1], pos = -1

输出:false

解释:链表中没有环。

提示:

链表中节点的数目范围是 [0, 104]

-105 <= Node.val <= 105

pos 为 -1 或者链表中的一个 有效索引 。

进阶:你能用 O(1)(即,常量)内存解决此问题吗?

上述是力扣中的题目!如果你已经看完了题目,那么,就该跟着笔者进入正文解析了!!

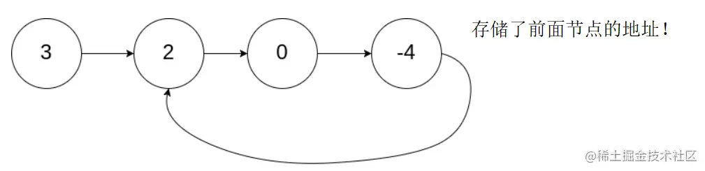
根据链表的基础知识,我们可以得出:如果一个链表是环形链表,那么最后一个节点一定存储了前面某个节点的地址!!

fb034da9cd42c8fd3d9014c4a2bd7d6d.png 思路:快慢指针:

快慢指针,即慢指针一次走一步,快指针一次走两步,两个指针从链表的起始位置(头节点)开始进行,如果链表带环,则快指针与慢指针一定会在环中相遇!!否则,快指针一定会率先走到链表的尾部,比如,陪女朋友到操场跑步减肥!!

扩展问题:

为什么快指针一次走两步,慢指针一次走一步可以??

假设链表带环,两个指针最后都会进入环,快指针先进入环,慢指针后进入环,当慢指针刚进入环时候,可能就与快指针相遇了,最差的情况下,两个指针的距离就是环的长度!此时两个指针每移动一次,之间的距离就缩小一步,,不会出现每次刚好是套圈的情况,因此,在慢指针走一圈之前,快指针肯定可以追上慢指针的!即相遇!

2.快指针一次走3步,走4步,...n步行吗? 假设有环的情况下:快指针每次走3步,慢指针每次走1步,此时快指针肯定先进环,慢指针后来才进环,假设慢指针进环的时候,快慢指针的相对位置如图所示:

207baa3a034316abb46a8c03574118cf.png 此时按照上述的假设:快指针每次走3步,慢指针每次走1步,来绕环移动,是永远不会相遇的!!此时进行了套圈!!

d360a038e4eac62edf6661c3f1efa5e0.png 因此,只有快指针走2步,慢指针走1步才可以,换的是最小长度是1,即使套圈了,两个也能在相同位置!!

此时我们可以看出,环的问题,可以大致理解为:追及相遇的问题!!

那么,有了这些想法,我们还应该判断没环的情况下的问题:

91ab8e9435cad5b160075f75555433b5.png 经过上述的分析,我们可以看出当没环条件下的结束条件!

因此,我们有着下述的简单代码:写法1:

     public boolean hasCycle(ListNode head){
        ListNode fast=head;
        ListNode slow=head;
        while (fast != null && fast.next !=null){  //没环的情况下!
            fast=fast.next.next;
            slow=slow.next;
            if (fast==slow){
                return true;
            }
        }
        return false;
    }

写法2:

     public boolean hasCycle2(ListNode head){
        ListNode fast=head;
        ListNode slow=head;
        while (fast != null && fast.next !=null){
            fast=fast.next.next;
            slow=slow.next;
            if (fast==slow){
                break;//出while循环(有两种可能)
            }
        }
        if (fast==null ||fast.next==null){//排除不是环的可能
            return false;
        }
            return true;       
    }

经过这个题目,我们可以思考一下,如何进行手动置环??

手动置环问题:遍历一遍链表,找到尾巴节点,其所对应的next本为null,将其改为前面任意节点的地址就可以了(保证有)!!

   //手动置环
    public void creatLoop(ListNode head){
        ListNode cur=head;
        while (cur.next !=null){
            cur=cur.next;//找尾巴节点
        }
        cur.next=head.next.next;//保证有该节点!
    }
  1. 环形链表 II

给定一个链表的头节点 head ,返回链表开始入环的第一个节点。 如果链表无环,则返回 null。

如果链表中有某个节点,可以通过连续跟踪 next 指针再次到达,则链表中存在环。 为了表示给定链表中的环,评测系统内部使用整数 pos 来表示链表尾连接到链表中的位置(索引从 0 开始)。如果 pos 是 -1,则在该链表中没有环。注意:pos 不作为参数进行传递,仅仅是为了标识链表的实际情况。

不允许修改 链表。

示例 1:

b6fc1090bd53ee97abb5104d26c1231b.png 输入:head = [3,2,0,-4], pos = 1

输出:返回索引为 1 的链表节点

解释:链表中有一个环,其尾部连接到第二个节点。

示例 2:

11ec6679f6067b65ee01ad18ebef2f81.png 输入:head = [1,2], pos = 0

输出:返回索引为 0 的链表节点

解释:链表中有一个环,其尾部连接到第一个节点。

示例 3:

597827081421edc0f22f64fc144e7179.png 输入:head = [1], pos = -1

输出:返回 null

解释:链表中没有环。

提示:

链表中节点的数目范围在范围 [0, 104] 内

-105 <= Node.val <= 105

pos 的值为 -1 或者链表中的一个有效索引

进阶:你是否可以使用 O(1) 空间解决此题?

对于这个题目,显得有点儿难度!!

结论 让一个指针从链表起始位置开始遍历链表,同时让一个指针从判环时相遇点的位置开始绕环运行,两个指针都是每次均走一步,最终肯定会在入口点的位置相遇。 证明

bc94e373a9ecb44a3790af15ec090240.png 这个是主要的思路,或许你看不懂,没关系,那么请看一下笔者的推论吧!!

我们有着以下的简单思路:

e2691b21cff8b1af5d15654be8f779fb.png 1.当在最好的情况下:我们有着:fast多走一圈,然后与slow在相遇处相遇,此时,fast走的路程为:X+C(C-Y) 此时,slow走的路程:X+(C-Y),由于fast的速度是slow的二倍,则路程也是2倍,即有着一下结论:2*(X+C-Y)=X+C+(C-Y) 经过计算,我们可以得到;X==Y

2.当不最好的情况下:fast走了很多圈,才与slow在相遇点相遇,此时说明,环的长度C很小很小!!

此时,fast走的路程为:X+NC(C-Y) 此时,slow走的路程:X+(C-Y),由于fast的速度是slow的二倍,则路程也是2倍,即有着一下结论:2*(X+C-Y)=X+NC+(C-Y) 经过计算,我们可以得到;X==(N-1)*C+Y 因此,当N很大很大的时候,说明环很小很小了,而fast多走的长是从相遇点开始的!!

注意:

当慢指针进入环时候,快指针可能已经在环中绕了N圈了,N至少为1,因为当快指针先到环走到相遇点的位置,慢指针还没有进环!

慢指针进入环以后,快指针肯定会在慢指针走一圈之内追上慢指针,因为:快指针进环之后,快慢指针之间的距离最多就是环的长度,而两个指针在移动的时候,每次他们之间的距离都会缩减1步,因此,慢指针移动一圈之前,快指针一定可以追上慢指针的!!

下面请看笔者的代码吧!!代码很简单,但是思路很重要!!

 //返回循环链表的相交节点
    public ListNode detectCycle(ListNode head){
        ListNode fast=head;
        ListNode slow=head;
        //先判断链表中是否有环??
        while (fast != null && fast.next !=null){
            fast=fast.next.next;
            slow=slow.next;
            if (fast==slow){
                break;
            }
        }
        if (fast == null || fast.next == null){
            return null;
        }
        //此时fast与slow已经在相遇点相遇了!
        slow=head;//将fast或者slow任意一个拉回头节点head
        while (fast !=slow){
            fast=fast.next;
            slow=slow.next;
        }//当fast与slow再次相遇的时候,即为入口点
        return fast;
    }

对于这个代码,想必各位老铁都能看懂吧!!

由于在码字的过程中,出现了些许差错,导致有点错别字!!勿怪!勿怪!