m基于5G毫米波场景Salen-Valenzula信道建模与matlab仿真

925 阅读5分钟

1.算法描述

        随着通信技术的不断发展,现有的通信系统已经无法满足人们各个方面的需求,为了解决这个问题,5G通信技术应运而生。5G技术拥有更高的通信传输速率,更大的通信范围以及更高的频谱使用效率。5G通信技术的关键是毫米波技术,毫米波通信技术具有实时性强,传输距离远等优点。

 

1.png

 

       在5G通信技术研究中,欧盟于2012年首先启动了METIS项目用于建立5G移动通信系统的统一标准。2012年欧盟的5G Public Private Partnership项目正式启动,标志着欧洲5G技术的研究达到了一个新的时代。2013年,韩国的三星集团开发了可商用化的5G通信技术,可以实现28GHz高频段上的数据高速通信。2014年,日本的NTT DoCoMo开始实测5G网络,测试结果表明5G系统的信号传输速率最高可以达到10Gbps。美国的4GAmericas也启动了5G通信技术的研究,同时展开了5G技术合作论坛。国内关于5G技术方面的研究,主要有华为,中兴等公司,并获得了较好的研究成果。

 

       在解决毫米波物理层相关问题的时候,总是不可避免地会碰到信道建模,而比较常见的毫米波信道模型就是S-V模型。基于毫米波的通信技术目前有着较为广泛的应用,如基于毫米波的地面通信和卫星通信。关于毫米波地面通信的研究成果主要包括,美国的Hughes公司与1976年研制了38GHz的双向通信系统,其最长通信距离可达39km。在1978年,日本OKI公司研究了一款基于毫米波技术的双向电话通信系统,并获得了较好的通信效果。在1981年,日本的YOKOSUKA公司开发了一款小型化的毫米波无线通信系统,其工作频段在26GHz。1988年,日本的Matsuhita公司首次研制了工作频段在50GHz的视频通信设备,并获得了较高的通信图像质量。而我国关于毫米波通信系统的研究,最早是1991开发的基于35GHz的铁路通信系统。

 

       由于大气中存在一定含量的极化氧分子和水汽,因此毫米波在传输过程中容易被大气吸收,从而导致信号衰减,影响通信质量[13,14]。根据相关研究发现,在一些特殊的频段,如60GHz、119GHz、183GHz,这种影响更为严重,在实际中应防止使用这些频段。而在其余一些频段,则通信性能较好,如35GHz、140GHz、220GHz等。图3.1给出了毫米波在不同频段大气衰减趋势图。

 

2.png

 

图1毫米波在不同频段大气衰减趋势图

 

 从图1可知,H2O在22GHz,183GHz和340GHz等频段对毫米波影响较大,O2在60GHz、119GHz等频段对毫米波影响较大。因此,在实际应用过程中,应避免使用这些频段。根据上述介绍的毫米波传输特性,其适用于适用于各种人员密集且范围较小的区域中,通过5G网络强大的数据传输能力,极强的稳定性以及大范围的覆盖率给大数据时代带来了很多的好处,在部分建设好的地区可以时用户体验到10mbit/s以上的传输速率,通过网络给社会发展与人们提供保障。

 

        由于受到毫米波通信传播范围的限制,目前为止,毫米波通信技术主要被用在室内、城市微蜂窝等各种小范围高密度区域[16,17]。在确定应用场合之后,则需要建立相应的大尺度传播模型和小尺度传播模型。其中大尺度模型反应了接收信号强度随着传输距离变换的情况,小尺度模型则反映了由于环境散射造成的多径效应的影响。

 

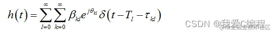
       S-V的双指数模型可以充分灵活的反应出毫米波信道特征,其中,簇内的每一个径都服从瑞利分布。因此,S-V信道模型的冲击响应可以表示为:

 

3.png

4.png

 

2.仿真效果预览

matlab2022a仿真结果如下:

 

5.png

6.png

7.png

 

3.MATLAB核心程序 `clc;

clear;

close all;

warning off;

addpath 'func'

 

rng('default');

rng(1);

b002   = 1;   

N      = 1000 ;

Lam    = 0.025;

lambda = 2.5;

Gam    = 7.4;

gamma  = 4.3;

sigma_x= 3;  

 

 

 

t1=0:300;

p_cluster=Lamexp(-Lamt1);  

h_cluster=exprnd(1/Lam,1,N);                                                  

[n_cluster x_cluster]=hist(h_cluster,25);  

figure;

plot(t1,p_cluster,'b'),

hold on

plot(x_cluster,n_cluster*p_cluster(1)/n_cluster(1),'b:','linewidth',2);

legend('Ideal','Simulation')

title(['簇达达到时间分布, \Lambda=', num2str(Lam)])

xlabel('T_m-T_{m-1} [ns]')

ylabel('p(T_m|T_{m-1})')

 

 

 

t2=0:0.01:5;

p_ray=lambdaexp(-lambdat2);

h_ray=exprnd(1/lambda,1,1000);

[n_ray,x_ray]=hist(h_ray,25);

 

figure;

plot(t2,p_ray,'b')

hold on

plot(x_ray,n_ray*p_ray(1)/n_ray(1),'b:','linewidth',2);    

legend('Ideal','Simulation')

title(['射线达到时间分布, \lambda=', num2str(lambda)])

xlabel('\tau_{r,m}-\tau_{(r-1),m} [ns]')

ylabel('p(\tau_{r,m}|\tau_{(r-1),m})')

 

 

figure;

[h,t,t0,np]= SV_channel(Lam,lambda,Gam,gamma,N,b002,sigma_x);

stem(t(1:np(1),1),abs(h(1:np(1),1)),'bo');

title('S-V模型冲击响应函数')

xlabel('延迟[ns]'),

ylabel('幅度')

 

 

figure;

X=10.^(sigma_x*randn(1,N)./20);

[temp,x]=hist(20*log10(X),25);

plot(x,temp,'b-','linewidth',2), axis([-10 10 0 130])

title(['对数正态分布, \sigma_X=',num2str(sigma_x),'dB'])

xlabel('20*log10(X)[dB]'),

ylabel('功率db')

01_166m`