《数据分析实战 45 讲》 学习笔记 Day 15

180 阅读10分钟

22丨SVM(上):如何用一根棍子将蓝红两色球分开?

SVM 的工作原理

用 SVM 计算的过程就是帮我们找到那个超平面的过程,这个超平面就是我们的 SVM 分类器。我们再过头来看最简单的练习 1,其实我们可以有多种直线的划分,比如下图所示的直线 A、直线 B 和直线 C,究竟哪种才是更好的划分呢?

image.png
很明显图中的直线 B 更靠近蓝色球,但是在真实环境下,球再多一些的话,蓝色球可能就被划分到了直线 B 的右侧,被认为是红色球。同样直线 A 更靠近红色球,在真实环境下,如果红色球再多一些,也可能会被误认为是蓝色球。所以相比于直线 A 和直线 B,直线 C 的划分更优,因为它的鲁棒性更强。那怎样才能寻找到直线 C 这个更优的答案呢?这里,我们引入一个 SVM 特有的概念:分类间隔。实际上,我们的分类环境不是在二维平面中的,而是在多维空间中,这样直线 C 就变成了决策面 C。在保证决策面不变,且分类不产生错误的情况下,我们可以移动决策面 C,直到产生两个极限的位置:如图中的决策面 A 和决策面 B。极限的位置是指,如果越过了这个位置,就会产生分类错误。这样的话,两个极限位置 A 和 B 之间的分界线 C 就是最优决策面。极限位置到最优决策面 C 之间的距离,就是“分类间隔”,英文叫做 margin。如果我们转动这个最优决策面,你会发现可能存在多个最优决策面,它们都能把数据集正确分开,这些最优决策面的分类间隔可能是不同的,而那个拥有“最大间隔”(max margin)的决策面就是 SVM 要找的最优解。
SVM 就是帮我们找到一个超平面,这个超平面能将不同的样本划分开,同时使得样本集中的点到这个分类超平面的最小距离(即分类间隔)最大化。在这个过程中,支持向量就是离分类超平面最近的样本点,实际上如果确定了支持向量也就确定了这个超平面。所以支持向量决定了分类间隔到底是多少,而在最大间隔以外的样本点,其实对分类都没有意义。所以说, SVM 就是求解最大分类间隔的过程,我们还需要对分类间隔的大小进行定义。
最大间隔的优化模型我们的目标就是找出所有分类间隔中最大的那个值对应的超平面。在数学上,这是一个凸优化问题(凸优化就是关于求凸集中的凸函数最小化的问题,这里不具体展开)。通过凸优化问题,最后可以求出最优的 w 和 b,也就是我们想要找的最优超平面。中间求解的过程会用到拉格朗日乘子,和 KKT(Karush-Kuhn-Tucker)条件。数学公式比较多,这里不进行展开。
硬间隔、软间隔和非线性 SVM假如数据是完全的线性可分的,那么学习到的模型可以称为硬间隔支持向量机。换个说法,硬间隔指的就是完全分类准确,不能存在分类错误的情况。软间隔,就是允许一定量的样本分类错误。我们知道,实际工作中的数据没有那么“干净”,或多或少都会存在一些噪点。所以线性可分是个理想情况。这时,我们需要使用到软间隔 SVM(近似线性可分),比如下面这种情况:

image.png另外还存在一种情况,就是非线性支持向量机。比如下面的样本集就是个非线性的数据。图中的两类数据,分别分布为两个圆圈的形状。那么这种情况下,不论是多高级的分类器,只要映射函数是线性的,就没法处理,SVM 也处理不了。这时,我们需要引入一个新的概念:核函数。它可以将样本从原始空间映射到一个更高维的特质空间中,使得样本在新的空间中线性可分。这样我们就可以使用原来的推导来进行计算,只是所有的推导是在新的空间,而不是在原来的空间中进行。

image.png所以在非线性 SVM 中,核函数的选择就是影响 SVM 最大的变量。最常用的核函数有线性核、多项式核、高斯核、拉普拉斯核、sigmoid 核,或者是这些核函数的组合。这些函数的区别在于映射方式的不同。通过这些核函数,我们就可以把样本空间投射到新的高维空间中。当然软间隔和核函数的提出,都是为了方便我们对上面超平面公式中的 w* 和 b* 进行求解,从而得到最大分类间隔的超平面。

用 SVM 如何解决多分类问题

SVM 本身是一个二值分类器,最初是为二分类问题设计的,也就是回答 Yes 或者是 No。而实际上我们要解决的问题,可能是多分类的情况,比如对文本进行分类,或者对图像进行识别。针对这种情况,我们可以将多个二分类器组合起来形成一个多分类器,常见的方法有“一对多法”和“一对一法”两种。
1. 一对多法假设我们要把物体分成 A、B、C、D 四种分类,那么我们可以先把其中的一类作为分类 1,其他类统一归为分类 2。这样我们可以构造 4 种 SVM,分别为以下的情况:(1)样本 A 作为正集,B,C,D 作为负集;(2)样本 B 作为正集,A,C,D 作为负集;(3)样本 C 作为正集,A,B,D 作为负集;(4)样本 D 作为正集,A,B,C 作为负集。这种方法,针对 K 个分类,需要训练 K 个分类器,分类速度较快,但训练速度较慢,因为每个分类器都需要对全部样本进行训练,而且负样本数量远大于正样本数量,会造成样本不对称的情况,而且当增加新的分类,比如第 K+1 类时,需要重新对分类器进行构造。
2. 一对一法一对一法的初衷是想在训练的时候更加灵活。我们可以在任意两类样本之间构造一个 SVM,这样针对 K 类的样本,就会有 C(k,2) 类分类器。比如我们想要划分 A、B、C 三个类,可以构造 3 个分类器:(1)分类器 1:A、B;(2)分类器 2:A、C;(3)分类器 3:B、C。当对一个未知样本进行分类时,每一个分类器都会有一个分类结果,即为 1 票,最终得票最多的类别就是整个未知样本的类别。这样做的好处是,如果新增一类,不需要重新训练所有的 SVM,只需要训练和新增这一类样本的分类器。而且这种方式在训练单个 SVM 模型的时候,训练速度快。但这种方法的不足在于,分类器的个数与 K 的平方成正比,所以当 K 较大时,训练和测试的时间会比较慢。

总结

今天我给你讲了 SVM 分类器,它在文本分类尤其是针对二分类任务性能卓越。同样,针对多分类的情况,我们可以采用一对多,或者一对一的方法,多个二值分类器组合成一个多分类器。另外关于 SVM 分类器的概念,我希望你能掌握以下的三个程度:完全线性可分情况下的线性分类器,也就是线性可分的情况,是最原始的 SVM,它最核心的思想就是找到最大的分类间隔;大部分线性可分情况下的线性分类器,引入了软间隔的概念。软间隔,就是允许一定量的样本分类错误;线性不可分情况下的非线性分类器,引入了核函数。它让原有的样本空间通过核函数投射到了一个高维的空间中,从而变得线性可分。在 SVM 的推导过程中,有大量的数学公式,这里不进行推导演绎,因为除了写论文,你大部分时候不会用到这些公式推导。

23丨SVM(下):如何进行乳腺癌检测?

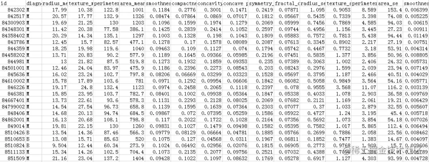
在创建 SVM 分类器之后,就可以输入训练集对它进行训练。我们使用 model.fit(train_X,train_y),传入训练集中的特征值矩阵 train_X 和分类标识 train_y。特征值矩阵就是我们在特征选择后抽取的特征值矩阵(当然你也可以用全部数据作为特征值矩阵);分类标识就是人工事先针对每个样本标识的分类结果。这样模型会自动进行分类器的训练。我们可以使用 prediction=model.predict(test_X) 来对结果进行预测,传入测试集中的样本特征矩阵 test_X,可以得到测试集的预测分类结果 prediction。同样我们也可以创建线性 SVM 分类器,使用 model=svm.LinearSVC()。在 LinearSVC 中没有 kernel 这个参数,限制我们只能使用线性核函数。由于 LinearSVC 对线性分类做了优化,对于数据量大的线性可分问题,使用 LinearSVC 的效率要高于 SVC。如果你不知道数据集是否为线性,可以直接使用 SVC 类创建 SVM 分类器。在训练和预测中,LinearSVC 和 SVC 一样,都是使用 model.fit(train_X,train_y) 和 model.predict(test_X)。 在了解了如何创建和使用 SVM 分类器后,我们来看一个实际的项目,数据集来自美国威斯康星州的乳腺癌诊断数据集

image.png

image.png好了,我们的目标是生成一个乳腺癌诊断的 SVM 分类器,并计算这个分类器的准确率。首先设定项目的执行流程:

image.png 1首先我们需要加载数据源;
2在准备阶段,需要对加载的数据源进行探索,查看样本特征和特征值,这个过程你也可以使用数据可视化,它可以方便我们对数据及数据之间的关系进一步加深了解。然后按照“完全合一”的准则来评估数据的质量,如果数据质量不高就需要做数据清洗。数据清洗之后,你可以做特征选择,方便后续的模型训练;
3在分类阶段,选择核函数进行训练,如果不知道数据是否为线性,可以考虑使用 SVC(kernel=‘rbf’) ,也就是高斯核函数的 SVM 分类器。然后对训练好的模型用测试集进行评估。
这里是实现源码