2021ICCV行人重识别文章精读之10.Towards Discriminative Representation Learning for Unsuperv

219 阅读3分钟

开启掘金成长之旅!这是我参与「掘金日新计划 · 12 月更文挑战」的第30天,点击查看活动详情

论文--[1] Isobe T ,  Li D ,  Tian L , et al. Towards Discriminative Representation Learning for Unsupervised Person Re-identification[J]. ICCV, 2021.

摘要

在这项工作中,我们解决了person re-ID的无监督域适应问题,其中注释对源域可用,但对目标域不可用。以前的方法通常遵循两个阶段的优化管道,其中网络首先对源域进行预训练,然后使用特征聚类创建的伪标签对目标进行微调。这种方法有两个主要的局限性。(1)标签噪声可能会阻碍识别目标类的判别特征的学习。(2)领域间隙可能会阻碍知识从源向目标的转移。我们提出了三种技术方案来缓解这些问题。首先,我们提出了一种基于聚类的对比学习算法(CCL),通过迭代优化特征学习和聚类精化来学习无监督方式下的噪声容忍表示。其次,我们采用渐进式领域适应(PDA)策略来逐步减小源数据和目标数据之间的领域差距。第三,我们提出Fourier增广(FA),通过在Fourier空间中施加额外的约束来进一步最大化re-ID模型的类可分性。我们观察到这些提议的方案能够促进学习的鉴别特征表示。实验表明,我们的方法在多个基准上都比最先进的无监督re-ID方法取得了显著的改进,例如,在Market-to-Duke、Duke-to-Market、Market-to-MSMT和Duke-to-MSMT任务上,我们的方法分别大大超过了MMT的8.1%、9.9%、11.4%和11.1% mAP

贡献

l 提出了一种cluster-wise对比学习算法来学习无标记目标数据上的noise-tolerant特征表示。在特征聚类和学习的迭代优化过程中,标签噪声可以大大降低。

l 提出了一种渐进式领域适应策略,将标记源领域学习到的知识逐步转移到未标记目标领域,实现无监督的re-ID。

l 建议引入傅立叶约束来进一步最大化模型的类可分离性。发现频谱特征可以与空间特征互补,有利于提高再识别性能。

方法

The goal of unsupervised cross-domain person re-ID is to learn a mapping function fθ(·) to identify the class label(i.e., person identity) for each target image, where θ is the parameters to be learned.

图片.png

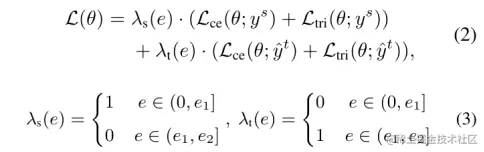
其中Ls、Lt分别表示源域和目标域上的优化目标。λs(e)和λt(e)是随时间变化的变量(e表示epoch),分别控制源域和目标域的训练

图片.png

其中Lce和Ltri分别表示交叉熵分类损失和三元组损失。Ys和ˆyt分别表示源上的ground-truth标签和目标上的伪标签。--聚类产生的伪标签不可避免地会包含噪声(即错误标签)

实验

1 数据集

DukeMTMC-reID, Market-1501 and MSMT17

Duke-to-Market, Market-to-Duke, Duke-to-MSMT and Market-to-MSMT

2 参数

骨干网络:ResNet50,聚类算法DBSCAN

设置epoch e1=20 e2=50 e3=80

队列最大长度1024

框架pytorch

3 结果

图片.png