图像处理之Canny边缘检测

1,277 阅读6分钟

开启掘金成长之旅!这是我参与「掘金日新计划 · 12 月更文挑战」的第23天

1 概述

本节中,我们将一起学习OpenCV中边缘检测的各种算子和滤波器 Canny算子、Sobel算子、Laplacian算子以及Scharr滤波器。

2 边缘检测的一般步骤

在具体介绍之前,先来一起看看边缘检测的一般步骤。

1.【第一步】滤波

边缘检测的算法主要是基于图像强度的一阶和二阶导数,但导数通常对噪声很敏感,因此必须采用滤波器来改善与噪声有关的边缘检测器的性能。常见的滤波方法主要有高斯滤波,即采用离散化的高斯函数产生一组归一化的高斯核,然后基于高斯核函数对图像灰度矩阵的每一点进行加权求和。

2.【第二步】增强

增强边缘的基础是确定图像各点邻域强度的变化值。增强算法可以将图像灰度点邻域强度值有显著变化的点凸显出来。在具体编程实现时,可通过计算梯度幅值来确定。

3.【第三步】检测

经过增强的图像,往往邻域中有很多点的梯度值比较大,而在特定的应用中,这些点并不是要找的边缘点,所以应该采用某种方法来对这些点进行取舍。实际工程中,常用的方法是通过阈值化方法来检测。

另外,需要注意,下文中讲到的Laplacian 算子、sobel算子和Scharr算子都是带方向的,所以,示例中我们分别写了X方向、Y方向和最终合成的的效果图。

3 canny算子简介

Canny边缘检测算子是John F.Canny于1986年开发出来的一个多级边缘检测算法。更为重要的是,Canny 创立了边缘检测计算理论(Computational theory ofedge detection),解释了这项技术是如何工作的。Canny边缘检测算法以Canny 的名字命名,被很多人推崇为当今最优的边缘检测的算法。

其中,Canny的目标是找到一个最优的边缘检测算法,让我们看一下最优边缘检测的三个主要评价标准。

  • 低错误率:标识出尽可能多的实际边缘,同时尽可能地减少噪声产生的误报。
  • 高定位性:标识出的边缘要与图像中的实际边缘尽可能接近。
  • 最小响应:图像中的边缘只能标识一次,并且可能存在的图像噪声不应标识为边缘。

为了满足这些要求,Canny使用了变分法,这是一种寻找满足特定功能的函数的方法。最优检测用4个指数函数项的和表示,但是它非常近似于高斯函数的一阶导数。

4 Canny 边缘检测的步骤

(1)【第一步】消除噪声

一般情况下,使用高斯平滑滤波器卷积降噪。以下显示了一个size=5的高斯内核示例:

2.png

(2)【第二步】计算梯度幅值和方向

此处,按照Sobel滤波器的步骤来操作。

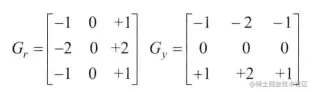
①运用一对卷积阵列(分别作用于x和y方向)

3.png

②使用下列公式计算梯度幅值和方向

4.png

而梯度方向一般取这4个可能的角度之一—0度,45度,90度,135度。

(3)【第三步】非极大值抑制

这一步排除非边缘像素,仅仅保留了一些细线条(候选边缘)。

(4)【第四步】滞后阈值

这是最后一步,Canny 使用了滞后阈值,滞后阈值需要两个阈值(高阈值和低阈值):

①若某一像素位置的幅值超过高阈值,该像素被保留为边缘像素。

②若某一像素位置的幅值小于低阈值,该像素被排除。

③若某一像素位置的幅值在两个阈值之间,该像素仅仅在连接到一个高于高阈值的像素时被保留。

5 Canny()函数

Canny 函数利用Canny算子来进行图像的边缘检测操作。

C++:

void Canny(InputArray image, OutputArray edges, double threshold1, double threshold2,
     int aperturesize=3, bool L2gradient=false)
  • 第一个参数,InputArray类型的image,输入图像,即源图像,填Mat类的对象即可,且需为单通道8位图像。
  • 第二个参数,OutputArray类型的 edges,输出的边缘图,需要和源图片有一样的尺寸和类型。
  • 第三个参数,double类型的threshold1,第一个滞后性阈值。
  • 第四个参数,double类型的threshold2,第二个滞后性阈值。
  • 第五个参数,int类型的apertureSize,表示应用Sobel算子的孔径大小,其有默认值3。
  • 第六个参数,bool类型的L2gradient,一个计算图像梯度幅值的标识,有默认值false。

需要注意的是,这个函数阈值1和阈值2两者中较小的值用于边缘连接,而较大的值用来控制强边缘的初始段,推荐的高低阈值比在2:1到3:1之间。

6 示例

代码:

//---------------------------------【头文件、命名空间包含部分】----------------------------
//		描述:包含程序所使用的头文件和命名空间
//---------------------------------------------------------------------------------------
#include <opencv2/opencv.hpp>
#include<opencv2/highgui/highgui.hpp>
#include<opencv2/imgproc/imgproc.hpp>
using namespace cv;


//-----------------------------------【main( )函数】-------------------------------------------
//            描述:控制台应用程序的入口函数,我们的程序从这里开始
//--------------------------------------------------------------------------------------------
int main( )
{
	//载入原始图  
	Mat srcImage = imread("1.jpg");  //工程目录下应该有一张名为1.jpg的素材图
	Mat srcImage1=srcImage.clone();

	//显示原始图 
	imshow("【原始图】Canny边缘检测", srcImage); 

	//----------------------------------------------------------------------------------
	//	一、最简单的canny用法,拿到原图后直接用。
	//----------------------------------------------------------------------------------
	Canny( srcImage, srcImage, 150, 100,3 );
	imshow("【效果图】Canny边缘检测", srcImage); 


	//----------------------------------------------------------------------------------
	//	二、高阶的canny用法,转成灰度图,降噪,用canny,最后将得到的边缘作为掩码,拷贝原图到效果图上,得到彩色的边缘图
	//----------------------------------------------------------------------------------
	Mat dstImage,edge,grayImage;

	// 【1】创建与src同类型和大小的矩阵(dst)
	dstImage.create( srcImage1.size(), srcImage1.type() );

	// 【2】将原图像转换为灰度图像
	cvtColor( srcImage1, grayImage, CV_BGR2GRAY );

	// 【3】先用使用 3x3内核来降噪
	blur( grayImage, edge, Size(3,3) );

	// 【4】运行Canny算子
	Canny( edge, edge, 3, 9,3 );

	//【5】将g_dstImage内的所有元素设置为0 
	dstImage = Scalar::all(0);

	//【6】使用Canny算子输出的边缘图g_cannyDetectedEdges作为掩码,来将原图g_srcImage拷到目标图g_dstImage中
	srcImage1.copyTo( dstImage, edge);

	//【7】显示效果图 
	imshow("【效果图】Canny边缘检测2", dstImage); 


	waitKey(0); 

	return 0; 
}

原图:

5.PNG

效果图1:

7.PNG

效果图2:

6.PNG