Sallen-Key低通滤波器设计

481 阅读7分钟

Sallen-Key低通滤波器设计

 Sallen-Key 低通滤波器 ** 23

本文讨论了 Sallen-Key 低通滤波器的设计。为了便于具体电路参数选择,采用了比率 设计方案进行讨论,大大提高了电路参数的实现可能性。

01 Sallen-Key滤波器
唯样商城,元器件现货速发~

c2b6a5c42253278db2ce737292cd981.jpg 一、背景介绍

近期由于需要测试所搭建的高阻抗信号源放大电路,其中包括有低通滤波器,所以研究了 Sallen-Key topology[1] 相关滤波电路电路。如下是 Kennth A. Kuhn 在 2016 给出的 Sallen-Key Low-Pass Filter[2] 设想步骤;2002年 TI 给出的 Analysis of the Sallen-Key Architecture[3] 应用报告,给出了不同 Kallen-Key 电路理论分析。

Sallen-Key 电子滤波器拓扑结构,由于其结构简单,被用于二阶有源滤波器电路设计,它是 VCVS(电压控制-电压输出)滤波器简化版本。VCVS 滤波器使用输入阻抗高、输出阻抗低的电压放大器来实现 2 个极点的低通、高通、带通滤波器。在不使用电感的情况下,可以获得高 Q 值,通带增益可调。多个 VCVS 滤波器可以直接级联形成高阶滤波器。Sallen-Key 滤波器则使用单位电压增益的放大器(俗称电压跟随器)设计的有源滤波器电路。

在1955年 R.P.Sallen,与 E.L.Key 利用了真空电子管阴极跟随放大器-具有近似单位电压增益电路设计滤波器。现代电子线路中则是普通的运算放大器进行设计,简单情况下,使用晶体管发射极跟随或者源极跟随器进行设计。

二、电路分析

虽然 Sallen-Key 电路结构可以形成不同特性的滤波器,由于后面实验需要,后面仅仅对低通滤波器设计进行讨论。下图是单位增益低通滤波器,可以实现 s 平面上任意极点(实数,或者复数)位置配置。通常情况下,四个器件(R1,R2,C1,C2)取值各不相同。

1663330594828414.png

图1.2.1 Sallen-Key 单位增益低通滤波器电路

  

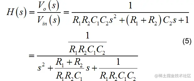
为了简化分析,考虑在 s 域分析上述电路。利用 Kirchoff 节点电流定理,流过 R1 的电流等于流过 R2,C1的电流之和。方便起见,将 R1,R2,C1 连接节点电压临时设为 Vx。利用工作在放大区域的运放“虚短”特性,可以知道运放两个输入端的电压都都与 Vo。于是有如下方程:

1663330582740061.png

  

两边乘以 R1,R2消除分母,可得:

1663330569417022.png

  

在根据 Vx,Vo之间的关系是 R2,C2 的分压关系,可以知道:

1663330558437272.png

  

这样可以得到:

1663330547208018.png

  

将 (4)代入(1)经过化简可以得到滤波器输入输出之间的传递函数

1663330535310681.png

  

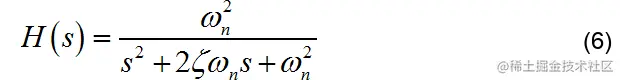
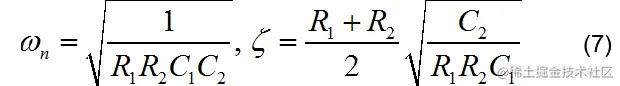
根据标准的二阶系统的形式:

1663330524470291.png

  

可以得到系统的自然谐振频率1663330480868152.png和阻尼系数1663330468573883.png

1663330455760285.png

三、电路设计

电路设计是电路分析的逆过程,根据已知的两个指标(自然谐振频率和阻尼系数)设计相应的电路参数。由于未知参数是四个,所以理论上满足设计指标的滤波器参数有无穷多个。在实际电路中并不是所有的电路参数都能够很好的工作(比如电阻,电容的取值不能够太大,或者太小等),因此我们系是要确定实际可以使用的电路参数。

1、设计中的问题

  

通常情况下,为了减少待定参数的个数,我们先选择任意合适的电阻1663330432196885.png,然后确定电容 C1,C2 的取值。这个方法看起来不错,但实际上执行起来往往计算出来的电容取值不是标准电容系列,这就需要通过串联和并联的方式来获得合适的电容。为了避免上述问题,往往先选择两个电容的取值1663330411187014.png,在通过公式计算两个电阻1663330287172154.png。由于电阻系列往往具有较细的分级,所以计算出的电阻可以比较好得到满足。

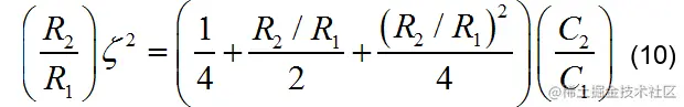
问题又来了,逻辑上 C1,C2 取相同的容值可以简化电路设计,通过公式(7)可以看到电路的阻尼系数1663330270694301.png将会永远大于 1.0,在一些要求阻尼系数小于 1.0 时这个隐藏的缺陷可能凸显出来。因此需要通过完整的数学而不是直觉彻底避免这个缺陷。

在工程数学中有一句俗语:“比例是你的朋友”(Ratios are your friend)。求解比例值,若不是形成比例值的具体参数可以减少未知变量的个数,从而简化设计过程。下面给出的设计就是求解两个比例 C1/C2,R1/R2。虽然数学推导过程看似繁琐到令人发指,但结果却非常简单。

2、公式推导

  

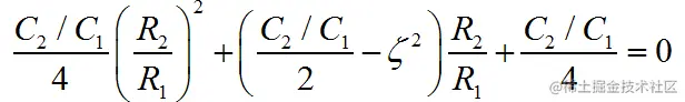
根据公式(7),为了方便起见,先对阻尼系数等式两边平方:

1663330248141543.png

  

将上述公式展开,并整理成比例形式

1663330235781203.png

1663330223873655.png

  

重新成立成关于比值 R2/R1 的二次方程:

1663330209758539.png

  

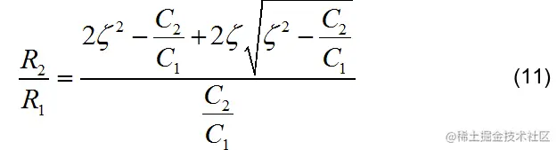
最后求解化简可得:

1663330194773173.png

  

费尽万难得到公式(11),可以看出,当要求滤波器阻尼系数小于 1.0 时, 对应的电阻比值 R2/R1 就会出现复数情况,这当然在实现过程中出现困难。

3、电路设计过程

步骤1:

在文档 Choosing Resisters and Capacitors for Op-Amp Active Filters[4] 给出了有源滤波器设计中电阻、电容选择标准系列。首先可以根据下面公式计算出 C1,C2 的几何平均值:

1663330176579209.png

  

其中 Fn 是滤波器的自然频率,单位 Hz 1663330156834950.png,公式计算出的电容单位是法拉。当滤波器阻尼系数1663330138637105.png要求小于 1 时, C1 可以选择比几何平均值大,C2 选择较小的值。反之,当阻尼系数大于 1 时, C1,C2 的大小关系反过来。

步骤2:

首先计算出1663330108377319.png,然后根据电容标准系列选择合适的 C1 数值。建议选择较小的标准电容值,这样在后面计算 C2 和电阻值时比较容易得到实际可用的数值。选择 C1 的数值可以在 三倍计算数值范围内选择。

步骤3:

根据选择的 C1 数值,计算出1663330089213773.png容值上限,然后在六个标准差范围内选择可以使用的电容数值。需要注意,如果选择 C2 过小,可能会导致 R1,R2 数值过大。

步骤4:

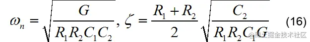
至此,两个电容数值 C1,C2 都已经确定下来,并且是可以使用的实际电容。然后利用公式(11)计算出 R1,R2 的比值。然后在根据公式(7)的前半部分,计算出R1,R2的乘积:

1663330069449102.png

步骤5:

至此,可以根据1663330045101981.png两个数值分别计算出1663330030986647.png各自的取值。

首先计算出 R1:

1663330013249929.png

  

根据上面计算数值,选择最近的标准电阻阻值;然后再计算出 R2 的数值,选择最近的标准电阻阻值。

步骤6:

当设计完成之后,代入公式核算滤波器的参数(自然频率和阻尼系数)是否满足。之后再查看选择的 电容、电阻是否合理,避免过小的电容,过大的电阻,这样都可能会因为运放的偏置电流以及集成电容使得滤波器性能产生较大的偏差。

四、设计举例

下面设计一个 Sallen-Key 低通滤波器,选择自然频率为 1kHz, 滤波器的品质因素 Q=2。下面给出具体的求解过程。

根据1663329980106923.png ,可以得到1663329943955674.png

1663329806417197.png

五、增益变化

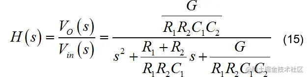
当运放的增益不再是标准的单位增益,会对滤波器产生什么变化吗?比如下面是通带增益大于 1 的低通滤波器。增益由 R4,R3的比值决定。

32.jpg

图1.5.1 通带增益大于1的Sallen-Key低通滤波器

  

根据同样的分析,可以得到滤波器的传递函数为:

1663329769871945.png

  

相应的滤波器参数为:

1663329752343211.png

  

可以看到随着运放增益提高, 滤波器的自然频率增加,阻尼系数降低。如果将电容 C2 的数值

来源: TsinghuaJoking,卓晴

参考资料

[1] Sallen-Key topology: en.wikipedia.org/wiki/Sallen…

[2] Sallen-Key Low-Pass Filter: www.kennethkuhn.com/students/ee…

[3] Analysis of the Sallen-Key Architecture: www.ti.com/lit/an/sloa…

[4] Choosing Resisters and Capacitors for Op-Amp Active Filters: www.kennethkuhn.com/students/ee…

[5] SALLEN-KEY FILTER CALCULATION TOOL: mimmotronics.com/sallen-key-…

[6] Sallen-Key Low-pass Filter Design Tool: sim.okawa-denshi.jp/en/OPseikiL…