剑指 Offer 52. 两个链表的第一个公共节点

58 阅读2分钟

本文已参与「新人创作礼」活动, 一起开启掘金创作之路。

剑指 Offer 52. 两个链表的第一个公共节点

输入两个链表,找出它们的第一个公共节点。

如下面的两个链表:

在节点 c1 开始相交。

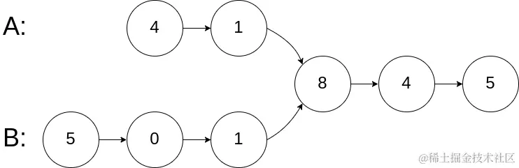
示例 1:

​编辑

输入:intersectVal = 8, listA = [4,1,8,4,5], listB = [5,0,1,8,4,5], skipA = 2, skipB = 3
输出:Reference of the node with value = 8
输入解释:相交节点的值为 8 (注意,如果两个列表相交则不能为 0)。从各自的表头开始算起,链表 A 为 [4,1,8,4,5],链表 B 为 [5,0,1,8,4,5]。在 A 中,相交节点前有 2 个节点;在 B 中,相交节点前有 3 个节点。

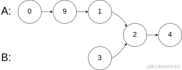
示例 2:

​编辑

输入:intersectVal = 2, listA = [0,9,1,2,4], listB = [3,2,4], skipA = 3, skipB = 1
输出:Reference of the node with value = 2
输入解释:相交节点的值为 2 (注意,如果两个列表相交则不能为 0)。从各自的表头开始算起,链表 A 为 [0,9,1,2,4],链表 B 为 [3,2,4]。在 A 中,相交节点前有 3 个节点;在 B 中,相交节点前有 1 个节点。

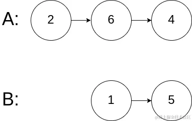
示例 3:

​编辑

输入:intersectVal = 0, listA = [2,6,4], listB = [1,5], skipA = 3, skipB = 2
输出:null
输入解释:从各自的表头开始算起,链表 A 为 [2,6,4],链表 B 为 [1,5]。由于这两个链表不相交,所以 intersectVal 必须为 0,而 skipA 和 skipB 可以是任意值。
解释:这两个链表不相交,因此返回 null。

注意:

如果两个链表没有交点,返回 null.
在返回结果后,两个链表仍须保持原有的结构。
可假定整个链表结构中没有循环。
程序尽量满足 O(n) 时间复杂度,且仅用 O(1) 内存。
本题与主站 160 题相同:力扣

思路:

    一、快慢指针

  • 先分别遍历两条链表的长度
  • 较长的一条链表先走 abs(lenA - lenB) 步
  • curA,curB再同步走,直至遇到公共节点

   二、利用map(略)

时间复杂度: O(m+n)

空间复杂度: O(1) 

/**
 * Definition for singly-linked list.
 * type ListNode struct {
 *     Val int
 *     Next *ListNode
 * }
 */
func getIntersectionNode(headA, headB *ListNode) *ListNode {
    // 一、快慢指针
    // 1.先分别遍历两条链表的长度
    lenA, lenB := 0, 0
    for curA := headA; curA != nil; curA = curA.Next {
        lenA++
    }

    for curB := headB; curB != nil; curB = curB.Next {
        lenB++
    }

    // 2.较长的一条链表先走 abs(lenA - lenB) 步
    curA, curB := headA, headB
    if lenA < lenB {
        for i := 0; i < lenB - lenA; i++ {
            curB = curB.Next
        }
    } else {
        for i := 0; i < lenA - lenB; i++ {
            curA = curA.Next
        }
    }

    // 3.curA,curB再同步走,直至遇到公共节点
    for curA != nil && curB != nil {
        if curA == curB {
            return curA
        }
        curA, curB = curA.Next, curB.Next
    }

    return nil

    // 二、利用Map
    // mA := make(map[*ListNode]struct{})
    // for curA := headA; curA != nil; curA = curA.Next {
    //     mA[curA] = struct{}{}
    // }

    // for curB := headB; curB != nil; curB = curB.Next {
    //     if _, ok := mA[curB]; ok {
    //         return curB
    //     }
    // }

    // return nil
}