LeetCode 160. 相交链表

114 阅读4分钟

本文已参与「新人创作礼」活动, 一起开启掘金创作之路。

160. 相交链表

给你两个单链表的头节点 headA 和 headB ,请你找出并返回两个单链表相交的起始节点。如果两个链表不存在相交节点,返回 null 。

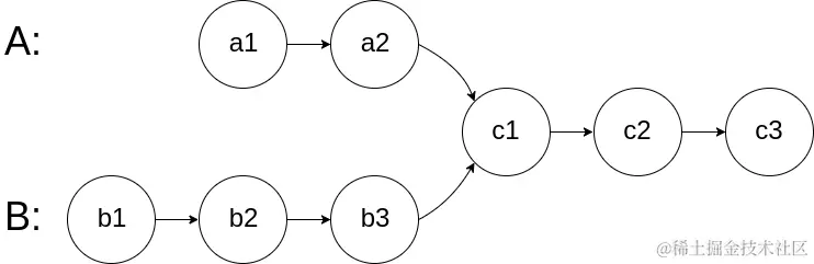
图示两个链表在节点 c1 开始相交

编辑

题目数据 保证 整个链式结构中不存在环。

注意,函数返回结果后,链表必须 保持其原始结构 。

自定义评测:

评测系统 的输入如下(你设计的程序 不适用 此输入):

  • intersectVal - 相交的起始节点的值。如果不存在相交节点,这一值为 0
  • listA - 第一个链表
  • listB - 第二个链表
  • skipA - 在 listA 中(从头节点开始)跳到交叉节点的节点数
  • skipB - 在 listB 中(从头节点开始)跳到交叉节点的节点数

评测系统将根据这些输入创建链式数据结构,并将两个头节点 headA 和 headB 传递给你的程序。如果程序能够正确返回相交节点,那么你的解决方案将被 视作正确答案 。

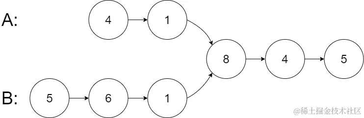
示例 1:

编辑

输入: intersectVal = 8, listA = [4,1,8,4,5], listB = [5,6,1,8,4,5], skipA = 2, skipB = 3
输出: Intersected at '8'
解释: 相交节点的值为 8 (注意,如果两个链表相交则不能为 0)。
从各自的表头开始算起,链表 A[4,1,8,4,5],链表 B[5,6,1,8,4,5]。
在 A 中,相交节点前有 2 个节点;在 B 中,相交节点前有 3 个节点。

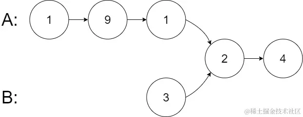
示例 2:

编辑

输入: intersectVal = 2, listA = [1,9,1,2,4], listB = [3,2,4], skipA = 3, skipB = 1
输出: Intersected at '2'
解释: 相交节点的值为 2 (注意,如果两个链表相交则不能为 0)。
从各自的表头开始算起,链表 A[1,9,1,2,4],链表 B[3,2,4]。
在 A 中,相交节点前有 3 个节点;在 B 中,相交节点前有 1 个节点。

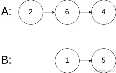
示例 3:

编辑

输入: intersectVal = 0, listA = [2,6,4], listB = [1,5], skipA = 3, skipB = 2
输出: null
解释: 从各自的表头开始算起,链表 A[2,6,4],链表 B[1,5]。
由于这两个链表不相交,所以 intersectVal 必须为 0,而 skipA 和 skipB 可以是任意值。
这两个链表不相交,因此返回 null 。

提示:

  • listA 中节点数目为 m
  • listB 中节点数目为 n
  • 1 <= m, n <= 3 * 104
  • 1 <= Node.val <= 105
  • 0 <= skipA <= m
  • 0 <= skipB <= n
  • 如果 listA 和 listB 没有交点,intersectVal 为 0
  • 如果 listA 和 listB 有交点,intersectVal == listA[skipA] == listB[skipB]

进阶: 你能否设计一个时间复杂度 O(m + n) 、仅用 O(1) 内存的解决方案?

思路:

  • 方法1  双指针-同步走(推荐,时空复杂度都为最优),具体参考视频题解:力扣

    • 就是每轮循环中,curA和curB都要彼此同步走一步,而不是让curA先走完或让curB先走完
    • 用双指针curA 、curB循环俩个链表,链表A循环结束就循环链表B,链表B循环结束就循环链表A
    • 直至最后相遇返回curA(curB),或者未相遇返回 nil
  • 方法2  快慢指针(不推荐:较繁琐)

  • 方法3  利用hashMap(不推荐:空间复杂度较高)

时间复杂度: 时间复杂度O(m+n),m、n分别是两个链表的长度

空间复杂度: 方法1和方法2为O(1),方法3位O(N)

/**
 * Definition for singly-linked list.
 * type ListNode struct {
 *     Val int
 *     Next *ListNode
 * }
 */
// 方法1 双指针-同步走
func getIntersectionNode(headA, headB *ListNode) *ListNode {
    // 参考:https://leetcode.cn/problems/intersection-of-two-linked-lists/solution/160-xiang-jiao-lian-biao-shuang-zhi-zhen-2j2q/
    // 就是每轮循环中,curA和curB都要彼此同步走一步,而不是让curA先走完或让curB先走完
    // 用双指针curA 、curB循环俩个链表,链表A循环结束就循环链表B,链表B循环结束就循环链表A
    // 当 curA == curB 时就是交点,因为两个指针移动的步数一样
    curA, curB := headA, headB
    for curA != curB {
        if curA == nil {
            curA = headB
        } else {
            curA = curA.Next
        }

        if curB == nil {
            curB = headA
        } else {
            curB = curB.Next
        }
    }

    return curA
}

// 方法2 快慢指针
func getIntersectionNode(headA, headB *ListNode) *ListNode {
    // 先分别遍历两条链表得到长度
    lenA, lenB := 0, 0
    for cur := headA; cur != nil; cur = cur.Next {
        lenA++
    }

    for cur := headB; cur != nil; cur = cur.Next {
        lenB++
    }

    // 较长的那条链表先走 |lenA-lenB| 步
    curA, curB := &ListNode{}, &ListNode{}
    if lenA > lenB {
        sub := lenA - lenB
        curA = headA
        for ; sub > 0; sub-- {
            curA = curA.Next
        }

        curB = headB
    } else {
        sub := lenB - lenA
        curB = headB
        for ; sub > 0; sub-- {
            curB = curB.Next
        }

        curA = headA
    }

    // curA、curB 再同步走
    for curA != nil && curB != nil {
        if curA == curB {
            return curA
        }
        curA = curA.Next
        curB = curB.Next
    }

    return nil
}

// 方法3 利用hashMap
func getIntersectionNode(headA, headB *ListNode) *ListNode {
    m := make(map[*ListNode]struct{})
    for cur := headA; cur != nil; cur = cur.Next {
        m[cur] = struct{}{}
    }

    for cur := headB; cur != nil; cur = cur.Next {
        if _, ok := m[cur]; ok {
            return cur
        }
    }

    return nil
}