图解LeetCode——654. 最大二叉树(难度:中等)

1,219 阅读6分钟

携手创作,共同成长!这是我参与「掘金日新计划 · 8 月更文挑战」的第25天,点击查看活动详情 >>

一、题目

给定一个不重复的整数数组 nums 。 最大二叉树 可以用下面的算法从 nums 递归地构建:

1> 创建一个根节点,其值为 nums 中的最大值。
2> 递归地在最大值 左边 的 子数组前缀上 构建左子树。
3> 递归地在最大值 右边 的 子数组后缀上 构建右子树。

返回 nums 构建的 最大二叉树 。 

二、示例

2.1> 示例 1:

【输入】nums = [3,2,1,6,0,5]
【输出】[6,3,5,null,2,0,null,null,1]
【解释】递归调用如下所示:

  • [3,2,1,6,0,5] 中的最大值是 6 ,左边部分是 [3,2,1] ,右边部分是 [0,5]
  • [3,2,1] 中的最大值是 3 ,左边部分是 [] ,右边部分是 [2,1]
  • 空数组,无子节点
  • [2,1] 中的最大值是 2 ,左边部分是 [] ,右边部分是 [1]
  • 空数组,无子节点
  • 只有一个元素,所以子节点是一个值为 1 的节点
  • [0,5] 中的最大值是 5 ,左边部分是 [0] ,右边部分是 []
  • 只有一个元素,所以子节点是一个值为 0 的节点
  • 空数组,无子节点

2.2> 示例 2:

【输入】nums = [3,2,1]
【输出】[3,null,2,null,1]

提示:

  • 1 <= nums.length <= 1000
  • 0 <= nums[i] <= 1000
  • nums 中的所有整数 互不相同

三、解题思路

3.1> 思路1:递归

根据题目描述,我们很容易会想到通过递归的方式对本题进行解答。因为无论是拆分出来左子数组还是右子数组,那么对于子数组的操作,依然都是一样的逻辑。所以,初步思路上面,我们首先确定以递归的方式进行解题。

其次,由于是需要以当前数组的最大值对数组进行“分割”,那么我们可以提供一个通用的方法,即:int maxElementIndex(int[] nums, int startIndex, int endIndex),获取数组nums[startIndex,endIndex]范围内的最大元素值,作为返回值进行返回。当然,我们这里采用的是根据指定开始下标(startIndex)和结束下标(endIndex)来确定最大值所在范围的,也可以采取Arrays.copyOfRange(...)方法,来获取一个全新的子串,只是这种操作对于代码执行的效率上,会有一定的影响。

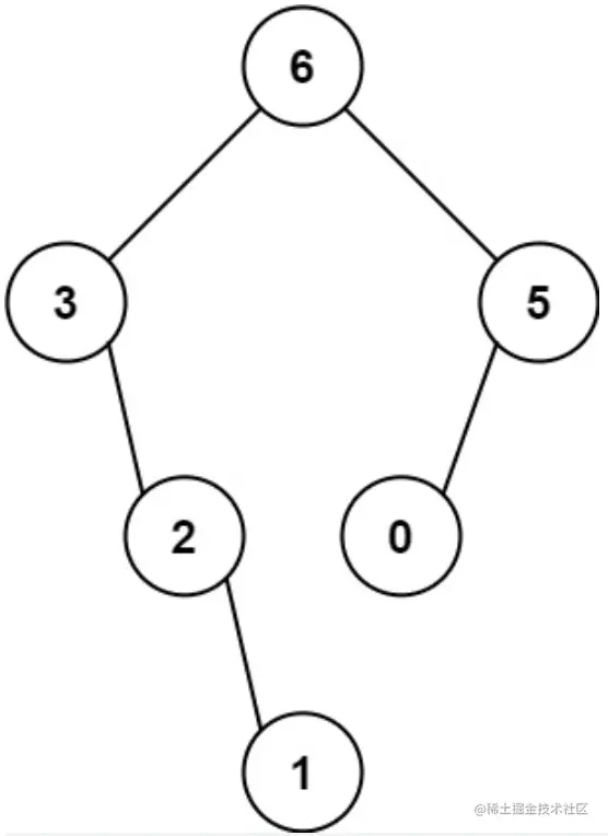
语言描述比较生涩,我们依然采用举例方式进行讲解。假设我们需要处理的数组为nums = [3,2,1,6,0,5],那么首先,获得最大值为6,创建一个新的树节点Node(6),并划分左子数组[3,2,1]和右子数组[0,5]。在左子数组[3,2,1]中,最大值为3,创建新的树节点Node(3),并作为Node(6)的左子树;在右子数组[0,5]中,最大值为3,创建新的节点Node(5),并作为Node(6)的右子树。下面逻辑以此类推,具体详细步骤,请参照下图:

针对于递归和数组分割的方式对题目进行解答,这个思路其实于题目描述的操作方式一样,所以,思路不难。具体实现,请参照 4.1> 实现1:递归

3.2> 思路2:单调栈

我们我们通过递归操作的时候,会发现虽然每次都对数组进行了拆分操作,但是,对数组中的元素也会进行多次的重复遍历,那么有没有一种方式,可以仅通过对数组nums的一次遍历,就可以得出最终结果的呢? 其实有的,我们可以通过单调栈的方式进行操作。

采用单调栈的基本思路是这样的:

1> 如果栈顶元素大于待插入的元素,那么直接入栈
2> 如果栈顶元素小于待插入的元素,那么栈顶元素出栈

当然,在对比两个节点大小和出入栈的同时,依然还是会根据题意,进行二叉树的构造。即:

1> 如果栈顶元素大于待插入的元素,则:栈顶元素.right = 待插入元素
2> 如果栈顶元素小于待插入的元素,则:待插入元素.left = 栈顶元素

我们依然以nums = [3,2,1,6,0,5]为例,看一下通过单调栈是怎么创建二叉树的。首先,对于数组中的前三个元素,满足Node(3) > Node(2) > Node(1),所以,这三个元素直接入栈,并且构造二叉树Node(3).right = Node(2); Node(2).right = Node(1);具体操作,如下图所示:

当我们遍历到Node(6)的时候,由于Node(1)小于Node(6),所以Node(1)出栈,并且执行Node(6).left = Node(1); 又由于Node(2) 也小于Node(6),所以Node(2)也执行出栈操作,并执行并且执行Node(6).left = Node(2);注意:此时Node(6) 的左子树节点从Node(1)变为了Node(2);由于Node(3)也小于Node(6),Node(3)也执行出栈操作,并执行并且执行Node(6).left = Node(3);注意:此时Node(6) 的左子树节点从Node(2)变为了Node(3);由于栈中元素都出栈了,没有可以跟Node(6)进行对比的元素了,所以,此时Node(6)入栈,本次操作完毕。具体操作,如下图所示:

我们继续遍历到Node(0),由于Node(0)小于栈顶元素Node(6),所以Node(0)直接入栈就可以了。但是,别忘记维护一下二叉树,也就是说,配置一下Node(6).right = Node(0)。具体操作,如下图所示:

最后,我们遍历到了Node(5),由于Node(5)大于当前栈顶元素Node(0),所以Node(0)执行出栈操作,并维护二叉树结构Node(5).left = Node(0);在对比Node(5)小于当前栈顶元素Node(6),所以,Node(5)直接入栈即可。维护二叉树结构Node(6).right = Node(5)。具体操作,如下图所示:

对于单调栈具体实现,逻辑上会没有思路1那么直观,特点其实就在于仅需对数组进行一次遍历,就可以构造好题目中所要求的二叉树结构。具体代码实现请参照 4.2> 实现2:单调栈

四、代码实现

4.1> 实现1:递归

class Solution {
    public TreeNode constructMaximumBinaryTree(int[] nums) {
        return build(nums, 0, nums.length - 1);
    }

    public TreeNode build(int[] nums, int startIndex, int endIndex) {
        if (startIndex > endIndex) return null;
        int index = maxElementIndex(nums, startIndex, endIndex);
        TreeNode newNode = new TreeNode(nums[index]);
        newNode.left = build(nums, startIndex, index - 1);
        newNode.right = build(nums, index + 1, endIndex);
        return newNode;
    }

    public int maxElementIndex(int[] nums, int startIndex, int endIndex) {
        int maxIndex = startIndex;
        for (int i = startIndex + 1; i <= endIndex; i++) {
            maxIndex = nums[maxIndex] < nums[i] ? i : maxIndex;
        }
        return maxIndex;
    }
}

4.2> 实现2:单调栈

采用ArrayDeque实现堆栈结构

class Solution {
    public TreeNode constructMaximumBinaryTree(int[] nums) {
        Deque<TreeNode> deque = new ArrayDeque();
        for (int i = 0; i < nums.length; i++) {
            TreeNode node = new TreeNode(nums[i]);
            while(!deque.isEmpty()) {
                TreeNode topNode = deque.peekLast();
                if (topNode.val > node.val) {
                    deque.addLast(node);
                    topNode.right = node;
                    break;
                } else {
                    deque.removeLast(); // 出栈操作
                    node.left = topNode;
                }
            }
            if (deque.isEmpty()) deque.addLast(node);
        }
        return deque.peek();
    }
}

采用数组实现堆栈结构

class Solution {
    public TreeNode constructMaximumBinaryTree(int[] nums) {
        TreeNode[] deque = new TreeNode[1001];
        int tail = 0;
        for (int i = 0; i < nums.length; i++) {
            TreeNode node = new TreeNode(nums[i]);
            while(tail != 0) {
                TreeNode topNode = deque[tail - 1];
                if (topNode.val > node.val) {
                    deque[tail++] = node;
                    topNode.right = node;
                    break;
                } else {
                    deque[--tail] = null; // 出栈操作
                    node.left = topNode;
                }
            }
            if (tail == 0) deque[tail++] = node;
        }
        return deque[0];
    }
}

今天的文章内容就这些了:

写作不易,笔者几个小时甚至数天完成的一篇文章,只愿换来您几秒钟的 点赞 & 分享

更多技术干货,欢迎大家关注公众号“爪哇缪斯” ~ \(^o^)/ ~ 「干货分享,每天更新」