日渐头秃的代码日记 -- 第306场周赛通过三题

155 阅读4分钟

一、矩阵中的局部最大值

给你一个大小为 n x n 的整数矩阵 grid 。

生成一个大小为 (n - 2) x (n - 2) 的整数矩阵  maxLocal ,并满足:

  • maxLocal[i][j] 等于 grid 中以 i + 1 行和 j + 1 列为中心的 3 x 3 矩阵中的 最大值 。

换句话说,我们希望找出 grid 中每个 3 x 3 矩阵中的最大值。

返回生成的矩阵。

 

示例 1:

输入: grid = [[9,9,8,1],[5,6,2,6],[8,2,6,4],[6,2,2,2]]
输出: [[9,9],[8,6]]
解释: 原矩阵和生成的矩阵如上图所示。
注意,生成的矩阵中,每个值都对应 grid 中一个相接的 3 x 3 矩阵的最大值。

示例 2:

输入: grid = [[1,1,1,1,1],[1,1,1,1,1],[1,1,2,1,1],[1,1,1,1,1],[1,1,1,1,1]]
输出: [[2,2,2],[2,2,2],[2,2,2]]
解释: 注意,2 包含在 grid 中每个 3 x 3 的矩阵中。

 

提示:

  • n == grid.length == grid[i].length
  • 3 <= n <= 100
  • 1 <= grid[i][j] <= 100

解析

根据题意,直接模拟操作过程即可,因为数组最大也就是100x100,不大

解答

class Solution:
    def largestLocal(self, grid: List[List[int]]) -> List[List[int]]:
        n = len(grid)
        res = []
        for i in range(n-2):
            l = []
            for k in range(n-2):
                tmp = []
                tmp.extend(grid[i][k:k+3])
                tmp.extend(grid[i+1][k:k+3])
                tmp.extend(grid[i+2][k:k+3])
                l.append(max(tmp))
            res.append(l)
        # print(res)
        return res
                

二、边积分最高的节点

给你一个有向图,图中有 n 个节点,节点编号从 0 到 n - 1 ,其中每个节点都 恰有一条 出边。

图由一个下标从 0 开始、长度为 n 的整数数组 edges 表示,其中 edges[i] 表示存在一条从节点 i 到节点 edges[i] 的 有向 边。

节点 i 的 边积分 定义为:所有存在一条指向节点 i 的边的节点的 编号 总和。

返回 边积分 最高的节点。如果多个节点的 边积分 相同,返回编号 最小 的那个。

 

示例 1:

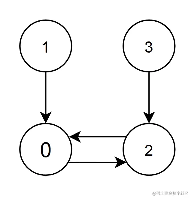
输入: edges = [1,0,0,0,0,7,7,5]
输出: 7
解释:
- 节点 1、2、3 和 4 都有指向节点 0 的边,节点 0 的边积分等于 1 + 2 + 3 + 4 = 10 。
- 节点 0 有一条指向节点 1 的边,节点 1 的边积分等于 0 。
- 节点 7 有一条指向节点 5 的边,节点 5 的边积分等于 7 。
- 节点 5 和 6 都有指向节点 7 的边,节点 7 的边积分等于 5 + 6 = 11 。
节点 7 的边积分最高,所以返回 7 。

示例 2:

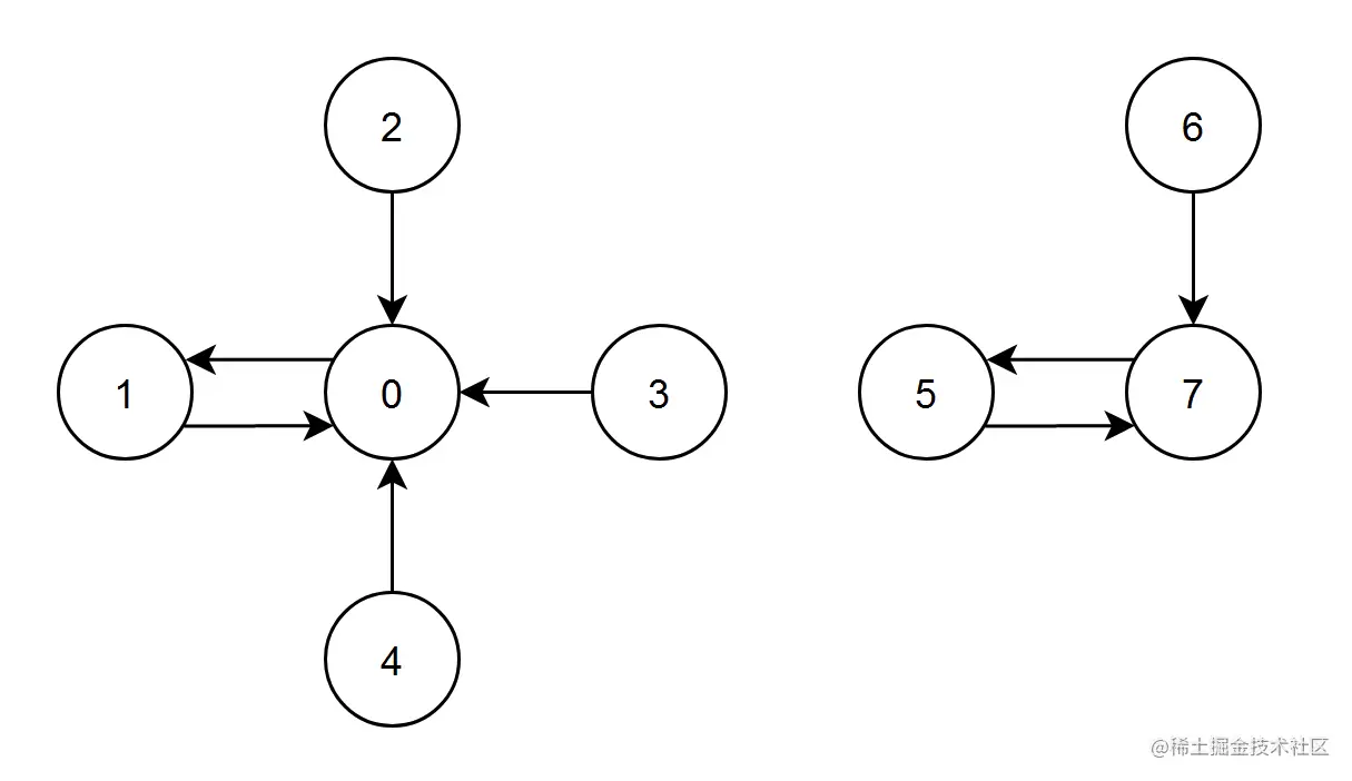
输入: edges = [2,0,0,2]
输出: 0
解释: - 节点 1 和 2 都有指向节点 0 的边,节点 0 的边积分等于 1 + 2 = 3 。
- 节点 0 和 3 都有指向节点 2 的边,节点 2 的边积分等于 0 + 3 = 3 。
节点 0 和 2 的边积分都是 3 。由于节点 0 的编号更小,返回 0 。

 

提示:

  • n == edges.length
  • 2 <= n <= 10^5
  • 0 <= edges[i] < n
  • edges[i] != i

解析

看到又是边又是图的,就很烦,不过这道题并没有使用到DFS之类的算法,还是比较简单的。

因为要求边积分的最大值,其实就是看原来这个edges数组当中,哪个数字出现的次数多,对应出现的位置分别是几,他们的和最大就可以了,其实跟图、边什么的没有关系。

代码

from collections import defaultdict
class Solution:
    def edgeScore(self, edges: List[int]) -> int:
        d = defaultdict(list)
        for index, v in enumerate(edges):
            d[v].append(index)
        keys = sorted(d.keys())
        m = 0
        res = 0
        for k in keys:
            s = sum(d[k])
            if s > m:
                m = s
                res = k
        print(res)
        return res

三、根据模式串构造最小数字

给你下标从 0 开始、长度为 n 的字符串 pattern ,它包含两种字符,'I' 表示 上升 ,'D' 表示 下降 。

你需要构造一个下标从 0 开始长度为 n + 1 的字符串,且它要满足以下条件:

  • num 包含数字 '1' 到 '9' ,其中每个数字 至多 使用一次。
  • 如果 pattern[i] == 'I' ,那么 num[i] < num[i + 1] 。
  • 如果 pattern[i] == 'D' ,那么 num[i] > num[i + 1] 。

请你返回满足上述条件字典序 最小 的字符串 **num

 

示例 1:

输入: pattern = "IIIDIDDD"
输出: "123549876"
解释: 下标 0124 处,我们需要使 num[i] < num[i+1] 。
下标 3567 处,我们需要使 num[i] > num[i+1] 。
一些可能的 num 的值为 "245639871""135749862""123849765""123549876" 是满足条件最小的数字。
注意,"123414321" 不是可行解因为数字 '1' 使用次数超过 1 次。

示例 2:

输入: pattern = "DDD"
输出: "4321"
解释:
一些可能的 num 的值为 "9876" ,"7321" 和 "8742" 。
"4321" 是满足条件最小的数字。

 

提示:

  • 1 <= pattern.length <= 8
  • pattern 只包含字符 'I' 和 'D' 。

解析

本题因为pattern长度很短,因此可以直接计算出来结果,并不需要像leetcode题解和周赛题解他们那样使用DFS。只需要将简单的数学方法给用代码实现出来即可。

首先将pattern分组,相邻的I或者相邻的D给分成一组。先把1~9写成一个数组,遇到相邻的I就从数组里取出来最小的几个,遇到相邻的D,就先跳过最小的一个数字,把剩下的取出来最小的几个倒序一下,如果是以相邻的D结尾的,就不用跳过了直接取出来即可。

代码

class Solution:
    def smallestNumber(self, pattern: str) -> str:
        pattern+=pattern[-1]
        nums = [1, 2, 3, 4, 5, 6, 7, 8, 9]
        group_stack = []
        s = []
        
        for index, p in enumerate(pattern):
            if not group_stack:
                group_stack.append([p, 1])
            else:
                if p == group_stack[-1][0]:
                    group_stack[-1][1] += 1
                else:
                    group_stack.append([p, 1])
        print(group_stack)
        for index, (p, length) in enumerate(group_stack):
            if p == "I":
                s.extend(nums[0: length])
                for n in nums[0: length]:
                    nums.remove(n)
            else:
                if index < len(group_stack)-1:
                    s.extend(nums[1: length+1][::-1])
                    for n in nums[1: length+1]:
                        nums.remove(n)
                else:
                    s.extend(nums[0: length][::-1])
                    for n in nums[0: length]:
                        nums.remove(n)
        print(s)
        return "".join([str(i) for i in s])

相比于DFS的方法,快了很多

image.png