递归全排列问题(两种方法 Java实现)

1,072 阅读2分钟

携手创作,共同成长!这是我参与「掘金日新计划 · 8 月更文挑战」的第9天,点击查看活动详情

递归全排列问题(Java实现)

问题描述

  • 生成 {1,2,…,n} 的所有 n! 个排列

算法

1. 固定位置放元素


  • 算法思想

    • 生成元素{2,3,…,n}的所有排列,并且将元素1放到每个排列的开头
    • 生成元素{1,3,…,n}的所有排列,并将数字2放到每个排列的开头
    • 重复这个过程,直到元素{2,3,…,n-1}的所有排列都产生,并将元素n放到每个排列的开头
  • Java源代码

/*
 * 若尘
 */
package perm;

import java.util.Arrays;

/**
 * 全排列问题(递归)
 * @author ruochen
 * @version 1.0
 */
public class GeneratiingPerm {

	public static int count = 0;
	
	public static void main(String[] args) {
		char[] arr = {'a', 'b', 'c'};
		int start = 0;
		int end = arr.length - 1;
		perm(arr, start, end);
		System.out.println("共有 " + count + " 种排列方式");
	}
	
	/**
	 * 实现全排列
	 * @param arr 待求全排列数组
	 * @param start 开始位置
	 * @param end 结束位置
	 */
	public static void perm(char[] arr, int start, int end) {
		if (start == end) {
			count++;
			System.out.println(Arrays.toString(arr));
		} else {
			for (int i = start; i <= end; i++) {
				swap(arr, start, i);
				perm(arr, start + 1, end);
				// 为了排列不会丢失,我们这里在交换回来,使得每次都是以一个固定序列开始
				swap(arr, start, i);
			}
		}
	}
	
	/**
	 * 交换两个数组元素
	 * @param arr 数组
	 * @param i 第一个元素下标
	 * @param j 第二个元素下标
	 */
	public static void swap(char[] arr, int i, int j) {
		char temp = arr[i];
		arr[i] = arr[j];
		arr[j] = temp;
	}
}


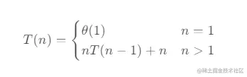
  • 时间复杂度

image.png

2. 固定元素找位置

  • 算法思想
    1. 首先,我们把 n 放在的位置P[1]上,并且用子数组P[2..n]来产生前n-1个数的排列
    2. 接着,我们将 n 放在P[2]上,并且用子数组P[1]和P[3..n]来产生前n-1个数的排列
    3. 然后,我们将 n 放在P[3]上,并且用子数组P[1..2]和P[4..n]来产生前n-1个数的排列
    4. 重复上述过程直到我们将 n 放在P[n]上,并且用子数组P[1..n]来产生前n-1个数的排列
  • Java源代码
public static void perm2(char[] arr, int start, int end) {
	if (end == 0) {
		System.out.println(Arrays.toString(arr));
	} else {
		for (int i = start; i <= end; i++) {
			if (arr[i] == 0) {
				arr[i] = (char) end;
				perm2(arr, start, end - 1);
				arr[i] = 0;
			}
		}
	}
}

  • 时间复杂度

image.png