leetcode 102. Binary Tree Level Order Traversal(python)

1,385 阅读1分钟

描述

Given the root of a binary tree, return the level order traversal of its nodes' values. (i.e., from left to right, level by level).

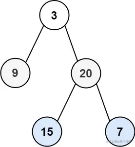
Example 1:

Input: root = [3,9,20,null,null,15,7]
Output: [[3],[9,20],[15,7]]

Example 2:

Input: root = [1]
Output: [[1]]

Example 3:

Input: root = []
Output: []

Note:

The number of nodes in the tree is in the range [0, 2000].
-1000 <= Node.val <= 1000

解析

根据题意,给定二叉树的根 root ,按照从上到下返回每一层的节点值列表。

其实这道题考察的就是使用 BFS 来进行二叉树的层序遍历,我们最常见的做法是用队列来模拟整个过程,非常简单。

时间复杂度为 O(N) ,空间复杂度为 O(N) 。

解答

class Solution(object):
    def levelOrder(self, root):
        """
        :type root: TreeNode
        :rtype: List[List[int]]
        """
        if not root: return []
        q  = [root]
        result = []
        while q:
            L = len(q)
            level = []
            for i in range(L):
                node = q.pop(0)
                level.append(node.val)
                if node.left:
                    q.append(node.left)
                if node.right:
                    q.append(node.right)
            result.append(level)
        return result

运行结果

Runtime: 44 ms, faster than 16.25% of Python online submissions for Binary Tree Level Order Traversal.
Memory Usage: 13.5 MB, less than 94.70% of Python online submissions for Binary Tree Level Order Traversal.

原题链接

leetcode.com/problems/bi…

您的支持是我最大的动力