Vision Transformer图像分类(MindSpore实现)

1,530 阅读15分钟

Vision Transformer(ViT)简介

近些年,随着基于自注意(Self-Attention)结构的模型的发展,特别是Transformer模型的提出,极大的促进了自然语言处理模型的发展。由于Transformers的计算效率和可扩展性,它已经能够训练具有超过100B参数的空前规模的模型。

ViT则是自然语言处理和计算机视觉两个领域的融合结晶。在不依赖卷积操作的情况下,依然可以在图像分类任务上达到很好的效果。

模型结构

ViT模型的主体结构是基于Transformer模型的Encoder部分(部分结构顺序有调整,如:normalization的位置与标准Transformer不同),其结构图如下:

模型特点

ViT模型是应用于图像分类领域。因此,其模型结构相较于传统的Transformer有以下几个特点:

  1. 数据集的原图像被划分为多个patch后,将二维patch(不考虑channel)转换为一维向量,再加上类别向量与位置向量作为模型输入。
  2. 模型主体的Block基于Transformer的Encoder部分,但是调整了normaliztion的位置,其中,最主要的结构依然是Multi-head Attention结构。
  3. 模型在Blocks堆叠后接全连接层接受类别向量输出用于分类。通常情况下,我们将最后的全连接层称为Head,Transformer Encoder部分为backbone。

下面将通过代码实例来详细解释基于ViT实现ImageNet分类任务。

环境准备与数据读取

本案例基于MindSpore-GPU版本,在单GPU卡上完成模型训练和验证。

首先导入相关模块,配置相关超参数并读取数据集,该部分代码在Vision套件中都有API可直接调用,详情可以参考以下链接:gitee.com/mindspore/v… 。

可通过:image-net.org/ 进行数据集下载。

加载前先定义数据集路径,请确保你的数据集路径如以下结构。

.ImageNet/
    ├── ILSVRC2012_devkit_t12.tar.gz
    ├── train/
    └── val/

\

from mindspore import context
from mindvision.classification.dataset import ImageNet

context.set_context(mode=context.GRAPH_MODE, device_target='GPU')

data_url = './ImageNet/'
resize = 224
batch_size = 16

dataset_train = ImageNet(data_url,
                         split="train",
                         shuffle=True,
                         resize=resize,
                         batch_size=batch_size,
                         repeat_num=1,
                         num_parallel_workers=1).run()

模型解析

下面将通过代码来细致剖析ViT模型的内部结构。

Transformer基本原理

Transformer模型源于2017年的一篇文章[2]。在这篇文章中提出的基于Attention机制的编码器-解码器型结构在自然语言处理领域获得了巨大的成功。模型结构如下图所示:

其主要结构为多个Encoder和Decoder模块所组成,其中Encoder和Decoder的详细结构如下图所示:

Encoder与Decoder由许多结构组成,如:多头注意力(Multi-Head Attention)层,Feed Forward层,Normaliztion层,甚至残差连接(Residual Connection,图中的“add”)。不过,其中最重要的结构是多头注意力(Multi-Head Attention)结构,该结构基于自注意力(Self-Attention)机制,是多个Self-Attention的并行组成。

所以,理解了Self-Attention就抓住了Transformer的核心。

Attention模块

以下是Self-Attention的解释,其核心内容是为输入向量的每个单词学习一个权重。通过给定一个任务相关的查询向量Query向量,计算Query和各个Key的相似性或者相关性得到注意力分布,即得到每个Key对应Value的权重系数,然后对Value进行加权求和得到最终的Attention数值。

在Self-Attention中:

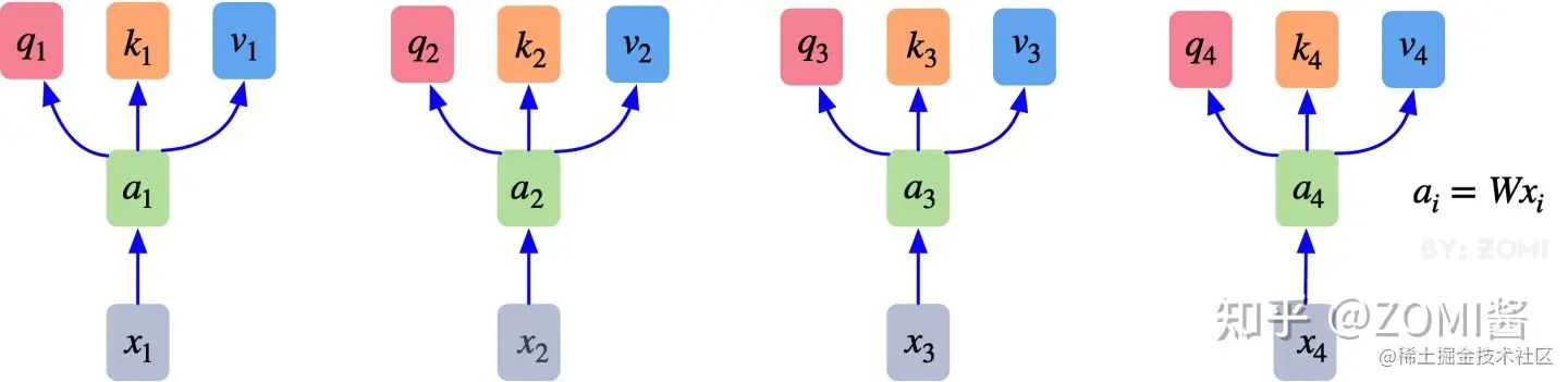
  1. 最初的输入向量首先会经过Embedding层映射成Q(Query),K(Key),V(Value)三个向量,由于是并行操作,所以代码中是映射成为dim x 3的向量然后进行分割,换言之,如果你的输入向量为一个向量序列( 1x1 1x1, 2x2 2x2, 3x3 3x3),其中的 1x1 1x1, 2x2 2x2, 3x3 3x3都是一维向量,那么每一个一维向量都会经过Embedding层映射出Q,K,V三个向量,只是Embedding矩阵不同,矩阵参数也是通过学习得到的。这里大家可以认为,Q,K,V三个矩阵是发现向量之间关联信息的一种手段,需要经过学习得到,至于为什么是Q,K,V三个,主要是因为需要两个向量点乘以获得权重,又需要另一个向量来承载权重向加的结果,所以,最少需要3个矩阵,也是论文作者经过实验得出的结论。

[公式]

  1. 自注意力机制的自注意主要体现在它的Q,K,V都来源于其自身,也就是该过程是在提取输入的不同顺序的向量的联系与特征,最终通过不同顺序向量之间的联系紧密性(Q与K乘积经过softmax的结果)来表现出来。Q,K,V得到后就需要获取向量间权重,需要对Q和K进行点乘并除以维度的平方根 ⎯⎯√d ⎯⎯√d,对所有向量的结果进行Softmax处理,通过公式(2)的操作,我们获得了向量之间的关系权重。

[公式]

[公式]

3.其最终输出则是通过V这个映射后的向量与QK经过Softmax结果进行weight sum获得,这个过程可以理解为在全局上进行自注意表示。每一组QKV最后都有一个V输出,这是Self-Attention得到的最终结果,是当前向量在结合了它与其他向量关联权重后得到的结果。

[公式]

通过下图可以整体把握Self-Attention的全部过程。

多头注意力机制就是将原本self-Attention处理的向量分割为多个Head进行处理,这一点也可以从代码中体现,这也是attention结构可以进行并行加速的一个方面。

总结来说,多头注意力机制在保持参数总量不变的情况下,将同样的query, key和value映射到原来的高维空间(Q,K,V)的不同子空间(Q_0,K_0,V_0)中进行自注意力的计算,最后再合并不同子空间中的注意力信息。

所以,对于同一个输入向量,多个注意力机制可以同时对其进行处理,即利用并行计算加速处理过程,又在处理的时候更充分的分析和利用了向量特征。下图展示了多头注意力机制,其并行能力的主要体现在下图中的a1a_1a2a_2是同一个向量进行分割获得的。

以下是vision套件中的Multi-Head Attention代码,结合上文的解释,代码清晰的展现了这一过程。

import mindspore.nn as nn

class Attention(nn.Cell):
    def __init__(self,
                 dim: int,
                 num_heads: int = 8,
                 keep_prob: float = 1.0,
                 attention_keep_prob: float = 1.0):
        super(Attention, self).__init__()

        self.num_heads = num_heads
        head_dim = dim // num_heads
        self.scale = Tensor(head_dim ** -0.5)

        self.qkv = nn.Dense(dim, dim * 3)
        self.attn_drop = nn.Dropout(attention_keep_prob)
        self.out = nn.Dense(dim, dim)
        self.out_drop = nn.Dropout(keep_prob)

        self.mul = P.Mul()
        self.reshape = P.Reshape()
        self.transpose = P.Transpose()
        self.unstack = P.Unstack(axis=0)
        self.attn_matmul_v = P.BatchMatMul()
        self.q_matmul_k = P.BatchMatMul(transpose_b=True)
        self.softmax = nn.Softmax(axis=-1)

    def construct(self, x):
        """Attention construct."""
        b, n, c = x.shape

        # 最初的输入向量首先会经过Embedding层映射成Q(Query),K(Key),V(Value)三个向量
        # 由于是并行操作,所以代码中是映射成为dim*3的向量然后进行分割
        qkv = self.qkv(x)

        #多头注意力机制就是将原本self-Attention处理的向量分割为多个Head进行处理
        qkv = self.reshape(qkv, (b, n, 3, self.num_heads, c // self.num_heads))
        qkv = self.transpose(qkv, (2, 0, 3, 1, 4))
        q, k, v = self.unstack(qkv)

        # 自注意力机制的自注意主要体现在它的Q,K,V都来源于其自身
        # 也就是该过程是在提取输入的不同顺序的向量的联系与特征
        # 最终通过不同顺序向量之间的联系紧密性(Q与K乘积经过softmax的结果)来表现出来
        attn = self.q_matmul_k(q, k)
        attn = self.mul(attn, self.scale)
        attn = self.softmax(attn)
        attn = self.attn_drop(attn)

        # 其最终输出则是通过V这个映射后的向量与QK经过Softmax结果进行weight sum获得
        # 这个过程可以理解为在全局上进行自注意表示
        out = self.attn_matmul_v(attn, v)
        out = self.transpose(out, (0, 2, 1, 3))
        out = self.reshape(out, (b, n, c))
        out = self.out(out)
        out = self.out_drop(out)

        return out

Transformer Encoder

在了解了Self-Attention结构之后,通过与Feed Forward,Residual Connection等结构的拼接就可以形成Transformer的基础结构,接下来就利用Self-Attention来构建ViT模型中的TransformerEncoder部分,类似于构建了一个Transformer的编码器部分。

  1. ViT模型中的基础结构与标准Transformer有所不同,主要在于Normalization的位置是放在Self-Attention和Feed Forward之前,其他结构如Residual Connection,Feed Forward,Normalization都如Transformer中所设计。
  2. 从transformer结构的图片可以发现,多个子encoder的堆叠就完成了模型编码器的构建,在ViT模型中,依然沿用这个思路,通过配置超参数num_layers,就可以确定堆叠层数。
  3. Residual Connection,Normalization的结构可以保证模型有很强的扩展性(保证信息经过深层处理不会出现退化的现象,这是Residual Connection的作用),Normalization和dropout的应用可以增强模型泛化能力。

从以下源码中就可以清晰看到Transformer的结构。将TransformerEncoder结构和一个多层感知器(MLP)结合,就构成了ViT模型的backbone部分。

class TransformerEncoder(nn.Cell):
    def __init__(self,
                 dim: int,
                 num_layers: int,
                 num_heads: int,
                 mlp_dim: int,
                 keep_prob: float = 1.,
                 attention_keep_prob: float = 1.0,
                 drop_path_keep_prob: float = 1.0,
                 activation: nn.Cell = nn.GELU,
                 norm: nn.Cell = nn.LayerNorm):
        super(TransformerEncoder, self).__init__()
        layers = []

        # 从vit_architecture图可以发现,多个子encoder的堆叠就完成了模型编码器的构建
        # 在ViT模型中,依然沿用这个思路,通过配置超参数num_layers,就可以确定堆叠层数
        for _ in range(num_layers):
            normalization1 = norm((dim,))
            normalization2 = norm((dim,))
            attention = Attention(dim=dim,
                                  num_heads=num_heads,
                                  keep_prob=keep_prob,
                                  attention_keep_prob=attention_keep_prob)

            feedforward = FeedForward(in_features=dim,
                                      hidden_features=mlp_dim,
                                      activation=activation,
                                      keep_prob=keep_prob)

            # ViT模型中的基础结构与标准Transformer有所不同
            # 主要在于Normalization的位置是放在Self-Attention和Feed Forward之前
            # 其他结构如Residual Connection,Feed Forward,Normalization都如Transformer中所设计
            layers.append(
                nn.SequentialCell([
                    # Residual Connection,Normalization的结构可以保证模型有很强的扩展性
                    # 保证信息经过深层处理不会出现退化的现象,这是Residual Connection的作用
                    # Normalization和dropout的应用可以增强模型泛化能力
                    ResidualCell(nn.SequentialCell([normalization1,
                                                    attention])),

                    ResidualCell(nn.SequentialCell([normalization2,
                                                    feedforward]))
                ])
            )
        self.layers = nn.SequentialCell(layers)

    def construct(self, x):
        """Transformer construct."""
        return self.layers(x)

ViT模型的输入

传统的Transformer结构主要用于处理自然语言领域的词向量(Word Embedding or Word Vector),词向量与传统图像数据的主要区别在于,词向量通常是1维向量进行堆叠,而图片则是二维矩阵的堆叠,多头注意力机制在处理1维词向量的堆叠时会提取词向量之间的联系也就是上下文语义,这使得Transformer在自然语言处理领域非常好用,而2维图片矩阵如何与1维词向量进行转化就成为了Transformer进军图像处理领域的一个小门槛。

在ViT模型中:

  1. 通过将输入图像在每个channel上划分为16*16个patch,这一步是通过卷积操作来完成的,当然也可以人工进行划分,但卷积操作也可以达到目的同时还可以进行一次而外的数据处理;** 例如一幅输入224 x 224的图像,首先经过卷积处理得到16 x 16个patch,那么每一个patch的大小就是14 x 14。**
  2. 再将每一个patch的矩阵拉伸成为一个1维向量,从而获得了近似词向量堆叠的效果。上一步得道的14 x 14的patch就转换为长度为196的向量。

这是图像输入网络经过的第一步处理。具体Patch Embedding的代码如下所示:

class PatchEmbedding(nn.Cell):
    MIN_NUM_PATCHES = 4
    def __init__(self,
                 image_size: int = 224,
                 patch_size: int = 16,
                 embed_dim: int = 768,
                 input_channels: int = 3):
        super(PatchEmbedding, self).__init__()

        self.image_size = image_size
        self.patch_size = patch_size
        self.num_patches = (image_size // patch_size) ** 2

        # 通过将输入图像在每个channel上划分为16*16个patch
        self.conv = nn.Conv2d(input_channels, embed_dim, kernel_size=patch_size, stride=patch_size, has_bias=True)
        self.reshape = P.Reshape()
        self.transpose = P.Transpose()

    def construct(self, x):
        """Path Embedding construct."""
        x = self.conv(x)
        b, c, h, w = x.shape

        # 再将每一个patch的矩阵拉伸成为一个1维向量,从而获得了近似词向量堆叠的效果;
        x = self.reshape(x, (b, c, h * w))
        x = self.transpose(x, (0, 2, 1))

        return x

由论文中的模型结构可以得知,输入图像在划分为patch之后,会经过pos_embedding 和 class_embedding两个过程。

  1. class_embedding主要借鉴了BERT模型的用于文本分类时的思想,在每一个word vector之前增加一个类别值,通常是加在向量的第一位,上一步得到的196维的向量加上class_embedding后变为197维。
  2. 增加的class_embedding是一个可以学习的参数,经过网络的不断训练,最终以输出向量的第一个维度的输出来决定最后的输出类别;由于输入是16 x 16个patch,所以输出进行分类时是取 16 x 16个class_embedding进行分类。
  3. pos_embedding也是一组可以学习的参数,会被加入到经过处理的patch矩阵中。
  4. 由于pos_embedding也是可以学习的参数,所以它的加入类似于全链接网络和卷积的bias。这一步就是创造一个长度维197的可训练向量加入到经过class_embedding的向量中。

从论文中可以得到,pos_embedding总共有4中方案。但是经过作者的论证,只有加上pos_embedding和不加pos_embedding有明显影响,至于pos_embedding是1维还是2维对分类结果影响不大,所以,在我们的代码中,也是采用了1维的pos_embedding,由于class_embedding是加在pos_embedding之前,所以pos_embedding的维度会比patch拉伸后的维度加1。

总的而言,ViT模型还是利用了Transformer模型在处理上下文语义时的优势,将图像转换为一种“变种词向量”然后进行处理,而这样转换的意义在于,多个patch之间本身具有空间联系,这类似于一种“空间语义”,从而获得了比较好的处理效果。

整体构建ViT

以下代码构建了一个完整的ViT模型。

from typing import Optional

class ViT(nn.Cell):
    def __init__(self,
                 image_size: int = 224,
                 input_channels: int = 3,
                 patch_size: int = 16,
                 embed_dim: int = 768,
                 num_layers: int = 12,
                 num_heads: int = 12,
                 mlp_dim: int = 3072,
                 keep_prob: float = 1.0,
                 attention_keep_prob: float = 1.0,
                 drop_path_keep_prob: float = 1.0,
                 activation: nn.Cell = nn.GELU,
                 norm: Optional[nn.Cell] = nn.LayerNorm,
                 pool: str = 'cls') -> None:
        super(ViT, self).__init__()

        self.patch_embedding = PatchEmbedding(image_size=image_size,
                                              patch_size=patch_size,
                                              embed_dim=embed_dim,
                                              input_channels=input_channels)
        num_patches = self.patch_embedding.num_patches

        # 此处增加class_embedding和pos_embedding,如果不是进行分类任务
        # 可以只增加pos_embedding,通过pool参数进行控制
        self.cls_token = init(init_type=Normal(sigma=1.0),
                              shape=(1, 1, embed_dim),
                              dtype=ms.float32,
                              name='cls',
                              requires_grad=True)

        # pos_embedding也是一组可以学习的参数,会被加入到经过处理的patch矩阵中
        self.pos_embedding = init(init_type=Normal(sigma=1.0),
                                  shape=(1, num_patches + 1, embed_dim),
                                  dtype=ms.float32,
                                  name='pos_embedding',
                                  requires_grad=True)

        # axis=1定义了会在向量的开头加入class_embedding
        self.concat = P.Concat(axis=1)

        self.pool = pool
        self.pos_dropout = nn.Dropout(keep_prob)
        self.norm = norm((embed_dim,))
        self.tile = P.Tile()
        self.transformer = TransformerEncoder(dim=embed_dim,
                                              num_layers=num_layers,
                                              num_heads=num_heads,
                                              mlp_dim=mlp_dim,
                                              keep_prob=keep_prob,
                                              attention_keep_prob=attention_keep_prob,
                                              drop_path_keep_prob=drop_path_keep_prob,
                                              activation=activation,
                                              norm=norm)

    def construct(self, x):
        """ViT construct."""
        x = self.patch_embedding(x)

        # class_embedding主要借鉴了BERT模型的用于文本分类时的思想
        # 在每一个word vector之前增加一个类别值,通常是加在向量的第一位
        cls_tokens = self.tile(self.cls_token, (x.shape[0], 1, 1))
        x = self.concat((cls_tokens, x))
        x += self.pos_embedding

        x = self.pos_dropout(x)
        x = self.transformer(x)
        x = self.norm(x)

        # 增加的class_embedding是一个可以学习的参数,经过网络的不断训练
        # 最终以输出向量的第一个维度的输出来决定最后的输出类别;
        x = x[:, 0]

        return x

模型训练与推理
模型训练
模型开始训练前,需要设定损失函数,优化器,回调函数等,直接调用mindvision提供的接口可以方便完成实例化。

import mindspore.nn as nn
from mindspore.train import Model
from mindspore.train.callback import ModelCheckpoint, CheckpointConfig

from mindvision.classification.models import vit_b_16
from mindvision.engine.callback import LossMonitor
from mindvision.engine.loss import CrossEntropySmooth

# 定义超参数
epoch_size = 10
momentum = 0.9
step_size = dataset_train.get_dataset_size()
num_classes = 1000

# 构建模型
network = vit_b_16(num_classes=num_classes, image_size=resize, pretrained=True)

# 定义递减的学习率
lr = nn.cosine_decay_lr(min_lr=float(0),
                        max_lr=0.003,
                        total_step=epoch_size * step_size,
                        step_per_epoch=step_size,
                        decay_epoch=90)

# 定义优化器
network_opt = nn.Adam(network.trainable_params(), lr, momentum)

# 定义损失函数
network_loss = CrossEntropySmooth(sparse=True,
                                  reduction="mean",
                                  smooth_factor=0.1,
                                  classes_num=num_classes)

# 设定checkpoint
ckpt_config = CheckpointConfig(save_checkpoint_steps=step_size, keep_checkpoint_max=100)
ckpt_callback = ModelCheckpoint(prefix='vit_b_16', directory='./ViT', config=ckpt_config)

# 初始化模型
model = Model(network, loss_fn=network_loss, optimizer=network_opt, metrics={"acc"})

# 训练
model.train(epoch_size,
            dataset_train,
            callbacks=[ckpt_callback, LossMonitor(lr)],
            dataset_sink_mode=False)

结果:

Epoch:[  0/ 10], step:[    1/80072], loss:[1.963/1.963], time:8171.241 ms, lr:0.00300
Epoch:[  0/ 10], step:[    2/80072], loss:[7.809/4.886], time:769.321 ms, lr:0.00300
Epoch:[  0/ 10], step:[    3/80072], loss:[8.851/6.208], time:779.355 ms, lr:0.00300
....
Epoch:[  9/ 10], step:[80070/80072], loss:[1.112/6.657], time:780.714 ms, lr:0.00240
Epoch:[  9/ 10], step:[80071/80072], loss:[1.111/6.708], time:781.860 ms, lr:0.00240
Epoch:[  9/ 10], step:[80072/80072], loss:[1.102/6.777], time:782.859 ms, lr:0.00240

模型验证

模型验证过程主要应用了nn,Model,context,ImageNet,CrossEntropySmooth和vit_b_16等接口。

通过改变ImageNet接口的split参数即可调用验证集。

与训练过程相似,首先调用vit_b_16接口定义网络结构,加载预训练模型参数。随后设置损失函数,评价指标等,编译模型后进行验证。

dataset_analyse = ImageNet(data_url,
                           split="val",
                           num_parallel_workers=1,
                           resize=resize,
                           batch_size=batch_size)
dataset_eval = dataset_analyse.run()

network = vit_b_16(num_classes=num_classes, image_size=resize, pretrained=True)

network_loss = CrossEntropySmooth(sparse=True,
                                  reduction="mean",
                                  smooth_factor=0.1,
                                  classes_num=num_classes)

# 定义评价指标
eval_metrics = {'Top_1_Accuracy': nn.Top1CategoricalAccuracy(),
                'Top_5_Accuracy': nn.Top5CategoricalAccuracy()}

model = Model(network, network_loss, metrics=eval_metrics)

# 评估模型
result = model.eval(dataset_eval)
print(result)

结果:

{'Top_1_Accuracy': 0.73524, 'Top_5_Accuracy': 0.91756}

模型推理

在进行模型推理之前,首先要定义一个对推理图片进行数据预处理的方法。该方法可以对我们的推理图片进行resize和normalize处理,这样才能与我们训练时的输入数据匹配。

import mindspore.dataset.vision.c_transforms as transforms

# 数据预处理操作
def infer_transform(dataset, columns_list, resize):

    mean = [0.485 * 255, 0.456 * 255, 0.406 * 255]
    std = [0.229 * 255, 0.224 * 255, 0.225 * 255]

    trans = [transforms.Decode(),
             transforms.Resize([resize, resize]),
             transforms.Normalize(mean=mean, std=std),
             transforms.HWC2CHW()]

    dataset = dataset.map(operations=trans,
                          input_columns=columns_list[0],
                          num_parallel_workers=1)
    dataset = dataset.batch(1)

    return dataset

接下来,我们将调用模型的predict方法进行模型推理,需要注意的是,推理图片需要自备,同时给予准确的路径利用read_dataset接口读推理图片路径,利用GeneratorDataset来生成测试集。

在推理过程中,ImageNet接口主要负责对原数据集标签和模型输出进行配对。通过index2label就可以获取对应标签,再通过show_result接口将结果写在对应图片上。

import numpy as np

import mindspore.dataset as ds
from mindspore import Tensor

from mindvision.dataset.generator import DatasetGenerator
from mindvision.dataset.download import read_dataset
from mindvision.classification.utils.image import show_result

# 读取推理图片
image_list, image_label = read_dataset('./infer')
columns_list = ('image', 'label')

dataset_infer = ds.GeneratorDataset(DatasetGenerator(image_list, image_label),
                                    column_names=list(columns_list),
                                    num_parallel_workers=1)

dataset_infer = infer_transform(dataset_infer, columns_list, resize)

# 读取数据进行推理
for i, image in enumerate(dataset_infer.create_dict_iterator(output_numpy=True)):
    image = image["image"]
    image = Tensor(image)
    prob = model.predict(image)
    label = np.argmax(prob.asnumpy(), axis=1)

    predict = dataset_analyse.index2label[int(label)]
    output = {int(label): predict}
    print(output)
    show_result(img=image_list[i], result=output, out_file=image_list[i])

结果:

{236: 'Doberman'}

推理过程完成后,在推理文件夹下可以找到图片的推理结果,如下图所示:

总结

本案例完成了一个ViT模型在ImageNet数据上进行训练,验证和推理的过程,其中,对关键的ViT模型结构和原理作了讲解。通过学习本案例,理解源码可以帮助学员掌握Multi-Head Attention,TransformerEncoder,pos_embedding等关键概念,如果要详细理解ViT的模型原理,建议基于源码更深层次的详细阅读,可以参考vision套件:

gitee.com/mindspore/v… 。

引用

[1] Dosovitskiy, Alexey, et al. "An image is worth 16x16 words: Transformers for image recognition at scale." arXiv preprint arXiv:2010.11929 (2020).

[2] Vaswani, Ashish, et al. "Attention is all you need."Advances in Neural Information Processing Systems. (2017).