LeetCode 797. 所有可能的路径

233 阅读1分钟

797. 所有可能的路径

难度 中等

给你一个有 n 个节点的 有向无环图(DAG) ,请你找出所有从节点 0 到节点 n-1 的路径并输出(不要求按特定顺序

graph[i] 是一个从节点 i 可以访问的所有节点的列表(即从节点 i 到节点 graph[i][j]存在一条有向边)。

示例 1:

img

输入:graph = [[1,2],[3],[3],[]]
输出:[[0,1,3],[0,2,3]]
解释:有两条路径 0 -> 1 -> 30 -> 2 -> 3

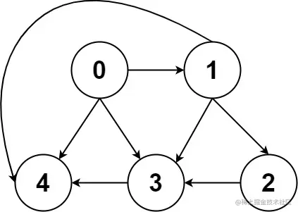
示例 2:

img

输入:graph = [[4,3,1],[3,2,4],[3],[4],[]]
输出:[[0,4],[0,3,4],[0,1,3,4],[0,1,2,3,4],[0,1,4]]

提示:

  • n == graph.length
  • 2 <= n <= 15
  • 0 <= graph[i][j] < n
  • graph[i][j] != i(即不存在自环)
  • graph[i] 中的所有元素 互不相同
  • 保证输入为 有向无环图(DAG)

题解

这道题是道图的题目,而且给出了说明是有向无环图(DAG),那我们就直接考虑深搜模板就行了,访问标记数组也不用设置,因为一定不会访问到已经搜索到的节点。每次搜索到一个新的节点就把这个节点相邻的节点进行扩展,然后如果扩展的节点是第n-1个节点,就找到一条从0通往n-1节点的路径。

class Solution {
    public List<List<Integer>> allPathsSourceTarget(int[][] graph) {
        List<List<Integer>> ans = new ArrayList<List<Integer>>();//结果列表
        int n = graph.length - 1;//第n-1个节点
        Deque<Integer> queue = new ArrayDeque<>(n);//新建一个n个元素的数组
        queue.addLast(0);//从0开始
        for(int i = 0; i < graph[0].length; i++){//遍历0的相邻节点
            queue.addLast(graph[0][i]);//相邻节点入队
            dfs(graph[0][i], n, graph, queue, ans);//深搜相邻节点
            queue.removeLast();//出队
        }
        return ans;
    }
​
    void dfs(int k, int n, int[][] graph, Deque<Integer> queue, List<List<Integer>> ans){
        if(k == n){//找到第n-1个节点
            ans.add(new ArrayList<Integer>(queue));//存储答案
            return;
        }
        for(int i = 0; i < graph[k].length; i++){//遍历第k个节点的相邻节点
            queue.addLast(graph[k][i]);//相邻节点入队
            dfs(graph[k][i], n, graph, queue, ans);//深搜相邻节点
            queue.removeLast();//出队
        }
    }
}