【数据结构】史上最好理解的红黑树讲解,让你彻底搞懂红黑树

2,137 阅读36分钟

本文已参与「新人创作礼」活动,一起开启掘金创作之路。

目录

一、红黑树简介

二、为什么需要红黑树?

三、红黑树的特性

四、红黑树的效率

4.1 红黑树效率

4.2 红黑树和AVL树的比较

五、红黑树的等价变换

六、红黑树的操作

6.1 旋转操作

6.2 插入操作

6.2.1 插入操作的所有情况

6.2.2 LL和RR插入情况

6.2.3 LR和RL插入情况

6.2.4 上溢的LL插入情况

6.2.5 上溢的RR插入情况

6.2.6 上溢的LR插入情况

6.2.7 上溢的RL插入情况

6.2.8 插入情况总结

6.3 删除操作

6.3.1 删除操作的所有情况

6.3.2 删除拥有1个红色子节点的黑色节点

6.3.3 删除黑色叶子节点——删除节点为根节点

6.3.4 删除黑色叶子节点——删除节点的兄弟节点为黑色

6.3.5 删除黑色叶子节点——删除节点的兄弟节点为红色

七、红黑树的平衡

八、红黑树的平均时间复杂度

九、AVL树 vs 红黑树

9.1 AVL树

9.2 红黑树

9.3 如何选择

9.4 案例对比

9.4.1 二叉搜索树

9.4.2 AVL树

9.4.3 红黑树

大家应该都学过平衡二叉树****(AVLTree),了解到AVL树的性质,其实平衡二叉树最大的作用就是查找,AVL树的查找、插入和删除在平均和最坏情况下都是O(logn)。AVL树的效率就是高在这个地方。如果在AVL树中插入或删除节点后,使得高度之差大于1。此时,AVL树的平衡状态就被破坏,它就不再是一棵二叉树;为了让它重新维持在一个平衡状态,就需要对其进行旋转处理, 那么创建一颗平衡二叉树的成本其实不小. 这个时候就有人开始思考,并且提出了红黑树的理论,红黑树在业界应用很广泛,比如 Java 中的 TreeMap,JDK 1.8 中的 HashMap、C++ STL 中的 map 均是基于红黑树结构实现的。那么红黑树到底比AVL树好在哪里?

一、红黑树简介

红黑树是一种自平衡的二叉查找树,是一种高效的查找树。它是由 Rudolf Bayer 于1978年发明,在当时被称为平衡二叉 B 树(symmetric binary B-trees)。后来,在1978年被 Leo J. Guibas 和 Robert Sedgewick 修改为如今的红黑树。红黑树具有良好的效率,它可在 O(logN) 时间内完成查找、增加、删除等操作。

二、为什么需要红黑树?

对于二叉搜索树,如果插入的数据是随机的,那么它就是接近平衡的二叉树,平衡的二叉树,它的操作效率(查询,插入,删除)效率较高,时间复杂度是O(logN)。但是可能会出现一种极端的情况,那就是插入的数据是有序的(递增或者递减),那么所有的节点都会在根节点的右侧或左侧,此时,二叉搜索树就变为了一个链表,它的操作效率就降低了,时间复杂度为O(N),所以可以认为二叉搜索树的时间复杂度介于O(logN)和O(N)之间,视情况而定。那么为了应对这种极端情况,红黑树就出现了,它是具备了某些特性的二叉搜索树,能解决非平衡树问题,红黑树是一种接近平衡的二叉树(说它是接近平衡因为它并没有像AVL树的平衡因子的概念,它只是靠着满足红黑节点的5条性质来维持一种接近平衡的结构,进而提升整体的性能,并没有严格的卡定某个平衡因子来维持绝对平衡)。

三、红黑树的特性

在讲解红黑树性质之前,先简单了解一下几个概念:

  • parent:父节点
  • sibling:兄弟节点
  • uncle:叔父节点( parent 的兄弟节点)
  • grand:祖父节点( parent 的父节点)

首先,红黑树是一个二叉搜索树,它在每个节点增加了一个存储位记录节点的颜色,可以是RED,也可以是BLACK;通过任意一条从根到叶子简单路径上颜色的约束,红黑树保证最长路径不超过最短路径的二倍,因而近似平衡(最短路径就是全黑节点,最长路径就是一个红节点一个黑节点,当从根节点到叶子节点的路径上黑色节点相同时,最长路径刚好是最短路径的两倍)。它同时满足以下特性:

  1. 节点是红色黑色
  2. 根是黑色
  3. 叶子节点(外部节点,空节点)都是**黑色,**这里的叶子节点指的是最底层的空节点(外部节点),下图中的那些null节点才是叶子节点,null节点的父节点在红黑树里不将其看作叶子节点
  4. 红色节点的子节点都是黑色
    1. 红色节点的父节点都是黑色
    2. 从根节点到叶子节点的所有路径上不能有 2 个连续的红色节点
  5. 从任一节点到叶子节点的所有路径都包含相同数目的黑色节点

根据上面的性质,我们来判断一下下面这课树是不是红黑树

上面这棵树首先很容易就能知道是满足性质1-4条的,关键在于第5条性质,可能乍一看好像也是符合第5条的,但实际就会陷入一个误区,直接将图上的最后一层的节点看作叶子节点,这样看的话每一条从根节点到叶子结点的路径确实都经过了3个黑节点。

但实际上,在红黑树中真正被定义为叶子结点的,是那些空节点,如下图。

这样一来,路径1有4个黑色节点(算上空节点),路径2只有3个黑色节点,这样性质5就不满足了,所以这棵树并不是一个红黑树节点。

注:下面的讲解图中将省略红黑树的null节点,请自行脑补

四、红黑树的效率

4.1 红黑树效率

红黑树的查找,插入和删除操作,时间复杂度都是O(logN)。

查找操作时,它和普通的相对平衡的二叉搜索树的效率相同,都是通过相同的方式来查找的,没有用到红黑树特有的特性。

但如果插入的时候是有序数据,那么红黑树的查询效率就比二叉搜索树要高了,因为此时二叉搜索树不是平衡树,它的时间复杂度O(N)。

插入和删除操作时,由于红黑树的每次操作平均要旋转一次和变换颜色,所以它比普通的二叉搜索树效率要低一点,不过时间复杂度仍然是O(logN)。总之,红黑树的优点就是对有序数据的查询操作不会慢到O(logN)的时间复杂度。

4.2 红黑树和AVL树的比较

  1. AVL树的时间复杂度虽然优于红黑树,但是对于现在的计算机,cpu太快,可以忽略性能差异
  2. 红黑树的插入删除比AVL树更便于控制操作
  3. 红黑树整体性能略优于AVL树(红黑树旋转情况少于AVL树)

五、红黑树的等价变换

上面这颗红黑树,我们来将所有的红色节点上移到和他们的父节点同一高度上,就会形成如下结构

这个结构很明显,就是一棵四阶B树(一个节点最多放三个数据),如果画成如下的样子大家应该就能看的更清晰了。

由上面的等价变换我们就可以得到如下结论:

  1. 红黑树 和 4阶B树(2-3-4树)具有等价性
  2. 黑色节点与它的红色子节点融合在一起,形成1个B树节点
  3. 红黑树的黑色节点个数 与 4阶B树的节点总个数相等
  4. 在所有的B树节点中,永远是黑色节点是父节点,红色节点是子节点。黑色节点在中间,红色节点在两边。

我们可以利用四阶B树与红黑树等价的性质,以红黑树转换成B树之后的节点情况来进行一个分类

六、红黑树的操作

红黑树的基本操作和其他树形结构一样,一般都包括查找、插入、删除等操作。前面说到,红黑树是一种自平衡的二叉查找树,既然是二叉查找树的一种,那么查找过程和二叉查找树一样,比较简单,这里不再赘述。相对于查找操作,红黑树的插入和删除操作就要复杂的多。尤其是删除操作,要处理的情况比较多,下面就来分情况讲解。

6.1 旋转操作

在分析插入和删除操作前,先说明一下旋转操作,这个操作在后续操作中都会用得到。旋转操作分为左旋和右旋,左旋是将某个节点旋转为其右孩子的左孩子,而右旋是节点旋转为其左孩子的右孩子。这话听起来有点绕,所以还是请看下图:

上图包含了左旋和右旋的示意图,这里以右旋为例进行说明,右旋节点 M 的步骤如下:

  1. 将节点 M 的左孩子引用指向节点 E 的右孩子
  2. 将节点 E 的右孩子引用指向节点 M,完成旋转

旋转操作本身并不复杂,上面分析了右旋操作,左旋操作与此类似,只是右旋转的逆操作。

6.2 插入操作

红黑树的插入过程和二叉查找树插入过程基本类似,不同的地方在于,红黑树插入新节点后,需要进行调整,以满足红黑树的性质。

性质1规定红黑树节点的颜色要么是红色要么是黑色,那么在插入新节点时,这个节点应该是红色还是黑色呢?答案是红色,原因也不难理解。如果插入的节点是黑色,那么这个节点所在路径比其他路径多出一个黑色节点,这个调整起来会比较麻烦(参考红黑树的删除操作,就知道为啥多一个或少一个黑色节点时,调整起来这么麻烦了)。如果插入的节点是红色,此时所有路径上的黑色节点数量不变,仅可能会出现两个连续的红色节点的情况。这种情况下,通过变色和旋转进行调整即可,比之前的简单多了。所以插入的时候将节点设置为红色,可以保证满足性质 1、2、3、5 ,只有性质4不一定满足,需要进行相关调整。如果是添加根节点,则将节点设定为黑色。

6.2.1 插入操作的所有情况

我们在分析红黑树各种插入情况的时候,将其等价转换为B树,这样我们能够更直观的进行分类,首先确定几条性质:

  • B树中,新元素必定是添加到叶子节点中(最底层的节点)
  • 4阶B树所有节点的元素个数 x 都符合 1 ≤ x ≤ 3

在上一章节红黑树的等价变换中,我们讲到了红黑树转换成B树总共有四种情况,也就是上图中叶子节点这四种情况,那么在我们进行插入操作的时候,会将节点插入到所有的叶子节点中,总共就会有12种情况,其中四种情况满足红黑树的性质,8种情况不满足红黑树性质。

6.2.1.1

满足红黑树性质

4

有 4 种情况满足红黑树的性质 4 :parent 为黑色节点。这四种情况不需要做任何额外的处理。

6.2.1.2

不满足红黑树性质

4

有 8 种情况不满足红黑树的性质 4 :parent 为红色节点( Double Red ),其中左面4种属于B树节点上溢的情况(一个4阶B树节点中最多存放三个数,这四种情况本来已经有3个了,又插入了1个,变成了4个,超出了4阶B树节点的容量范围,这种情况称为上溢)。这八种情况需要进行额外的处理。

6.2.2 LL和RR插入情况

如上图,插入52和60的位置分别是RR情况和LL情况。

RR****情况:父节点为祖父节点的右节点,插入节点为父节点的右节点

LL****情况:父节点为祖父节点的左节点,插入节点为父节点的左节点

这两种情况很明显,插入节点为红色,父节点也为红色,父节点的子节点为红色显然违背了红黑树的性质四,我们需要对这种情况进行修复,使其重新满足红黑树性质。

**判定条件:**uncle 不是红色节点。

这里的两种情况,他们的插入节点都是没有叔父节点的,所以叔父节点也不可能是红色。

案例修复:

我们在红黑树等价转换那一章节也讲过了,红黑树等价转换成B树之后,B树节点的中间节点(父节点)都是黑色,两边的节点(子节点)都是红色。但是上面两种情况插入后,插入位置的B树节点并不满足这个条件,所以我们对其进行修复,使其满足B树节点的条件之后,也就重新恢复了红黑树性质。

B树节点中的中间节点大小介于两个子节点之间。以上图RR情况为例,插入节点52的原父节点应该放在B树节点中间的位置,应当将其染成黑色。插入节点52的原祖父节点46,应当将其转换为插入节点原父节点的子节点,所以将其染成红色。LL情况同理

完成染色之后,需要对原祖父节点进行单旋操作,来进行父节点,子节点的重新分配。以上图为例:

  • RR情况应该原祖父节点46左旋,将插入节点的原父节点50旋转到中间的位置。
  • LL情况应当原祖父节点76右旋,将插入节点的原父节点72旋转到中间的位置。

修复之后的结果如下图:

修复步骤总结:

  1. parent 染成黑色,grand 染成红色
  2. grand 进行单旋操作
    1. LL:右旋转
    2. RR:左旋转

6.2.3 LR和RL插入情况

如上图,插入48和74的位置分别是RL情况和LR情况。

RL****情况:父节点为祖父节点的右节点,插入节点为父节点的左节点

LR****情况:父节点为祖父节点的左节点,插入节点为父节点的右节点

这两种情况和上面的两种情况一样,插入节点为红色,父节点也为红色,父节点的子节点为红色显然违背了红黑树的性质四,我们需要对这种情况进行修复,使其重新满足红黑树性质。

**判定条件:**uncle 不是红色节点。

这两种情况的插入节点也是没有叔父节点的。

案例修复:

B树节点中的中间节点大小介于两个子节点之间。以上图RL情况为例,插入节点48大小介于原父节点和原祖父节点之间,它应该是B树节点中的中间节点,所以将插入节点48染成黑色,将原祖父节点46染成红色来作为插入节点的子节点。LR情况同理

完成染色之后,需要进行双旋操作,来进行父节点,子节点的重新分配。以上图为例:

  • RL情况应该原父节点50右旋,将插入节点48上移到原父节点50的高度,然后将插入节点的原祖父节点46进行左旋,将插入节点48移动到中间位置,成为中间节点。
  • LR情况应该原父节点72左旋,将插入节点74上移到原父节点72的高度,然后将插入节点的原祖父节点76进行右旋,将插入节点74移动到中间位置,成为中间节点。

修复之后的结果如下图:

修复步骤总结:

  1. 插入节点染成黑色,grand 染成红色
  2. 进行双旋操作
    • LR:parent 左旋转, grand 右旋转
    • RL:parent 右旋转, grand 左旋转

6.2.4 上溢的LL插入情况

如上图,插入10的位置是上溢的LL情况。

上溢LL情况:父节点为祖父节点的左节点,插入节点为父节点的左节点。并且构成的新的B树节点已经超过了B树节点容量大小范围。

这种情况和之前非上溢的四种情况一样,插入节点为红色,父节点也为红色,父节点的子节点为红色显然违背了红黑树的性质四,我们需要对这种情况进行修复,使其重新满足红黑树性质。

**判定条件:**uncle 是红色节点。满足这个条件的就都是上溢的情况,上溢的修复只需要染色,不需要旋转。

案例修复:

像这种上溢的情况,就需要从溢出的B树节点中选出一个节点进行向上合并,选择B树节点中中间的树去进行向上合并,这里中间的两个节点就是原父节点17和原祖父节点25,选这两个哪一个向上合并都是对的,但是我们最好选择以后方便操作的,很显然,应该选择原祖父节点25来进行向上合并,因为向上合并就是和最上层的38和55来组合成新的B树节点,向上合并的节点肯定是一个子节点,需要与上层相连,而原祖父节点25本身就已经和上层连接了,相对更加方便后续的操作。原祖父节点向上合并后,将其染成红色。

原祖父节点25向上合并后,它原来左右两边的节点需要分裂成两个子树,也就是原父节点17和插入节点10形成一个子树,原叔父节点33形成一个子树。这两个分裂形成的树都是以后25的子树。左边的子树由原父节点作为中间节点,染成黑色,右边的子树由原叔父节点作为中间节点,染成黑色。

修复之后的结果如下图:

修复步骤总结:

  1. parent、uncle 染成黑色
  2. grand 向上合并
    1. 将向上合并的grand染成红色,相对上一层,就当做是新添加的节点,再次来一遍插入情况的判断,进行处理。

grand 向上合并时,可能继续发生上溢。这种情况就继续递归调用修复方法就可以了。若上溢持续到根节点,只需将根节点染成黑色即可(这个意思就是说断向上上溢,一直上溢到了B树的根节点位置了,只需要将向上合并的节点变成黑色作为红黑树的根节点即可。因为从B树根节点选择出来上溢的节点,肯定就是作为整个红黑树的根节点了)。

6.2.5 上溢的RR插入情况

如上图,插入36的位置是上溢的RR情况。

上溢RR情况:父节点为祖父节点的右节点,插入节点为父节点的右节点。并且构成的新的B树节点已经超过了B树节点容量大小范围。

**判定条件:**uncle 是红色节点

案例修复:

上溢RR情况的修复,和上溢LL情况基本一致,只是修复的位置不同,这里中间的两个节点就是原父节点33和原祖父节点25,选择原祖父节点25来进行向上合并,原祖父节点向上合并后,将其染成红色。

原祖父节点25向上合并后,它原来左右两边的节点需要分裂成两个子树,也就是原父节点33和插入节点36形成一个子树,原叔父节点17形成一个子树。这两个分裂形成的树都是以后25的子树。左边的子树由原叔父节点作为中间节点,染成黑色,右边的子树由原父节点作为中间节点,染成黑色。

修复之后的结果如下图:

修复步骤总结:

  1. parent、uncle 染成黑色
  2. grand 向上合并
    • 染成红色(其实染成红色就已经是完成了向上合并,因为祖父节点和祖父节点的父节点的连接指向并没有变),当做是新添加的节点进行处理

6.2.6 上溢的LR插入情况

如上图,插入20的位置是上溢的LR情况。

上溢LR情况:父节点为祖父节点的左节点,插入节点为父节点的右节点。并且构成的新的B树节点已经超过了B树节点容量大小范围。

**判定条件:**uncle 是红色节点

案例修复:

上溢LR情况的修复,和其他上溢情况基本一致,只是修复的位置不同,这里中间的两个节点就是原父节点17和原祖父节点25,选择原祖父节点25来进行向上合并,原祖父节点向上合并后,将其染成红色。

原祖父节点25向上合并后,它原来左右两边的节点需要分裂成两个子树,也就是原父节点17和插入节点20形成一个子树,原叔父节点33形成一个子树。这两个分裂形成的树都是以后25的子树。左边的子树由原父节点作为中间节点,染成黑色,右边的子树由原叔父节点作为中间节点,染成黑色。

修复之后的结果如下图:

修复步骤总结:

  1. parent、uncle 染成黑色
  2. grand 向上合并
    • 染成红色,当做是新添加的节点进行处理

6.2.7 上溢的RL插入情况

如上图,插入30的位置是上溢的RL情况。

上溢RL情况:父节点为祖父节点的右节点,插入节点为父节点的左节点。并且构成的新的B树节点已经超过了B树节点容量大小范围。

**判定条件:**uncle 是红色节点

案例修复:

上溢RL情况的修复,和其他上溢情况基本一致,只是修复的位置不同,这里中间的两个节点就是原父节点33和原祖父节点25,选择原祖父节点25来进行向上合并,原祖父节点向上合并后,将其染成红色。

原祖父节点25向上合并后,它原来左右两边的节点需要分裂成两个子树,也就是原父节点33和插入节点30形成一个子树,原叔父节点17形成一个子树。这两个分裂形成的树都是以后25的子树。左边的子树由原叔父节点作为中间节点,染成黑色,右边的子树由原父节点作为中间节点,染成黑色。

修复之后的结果如下图:

修复步骤总结:

  1. parent、uncle 染成黑色
  2. grand 向上合并
    • 染成黑色,当做是新添加的节点进行处理

6.2.8 插入情况总结

插入一共有12种情况:

  1. 插入节点的父节点是黑色的情况有4种
    这种情况仍然会维持红黑树的性质,则不需要进行额外处理。
  2. 插入节点的父节点是红色的情况有8种
    这种情况不满足红黑树的性质4,需要进行额外的修复处理。
    这8种情况中:
    1. 叔父节点不是红色的情况有4种
      这些情况都是非上溢,需要通过重新染色和旋转来进行修复
    2. 叔父节点是红色的情况有4种
      这些情况都是上溢的,只需要通过祖父节点上溢合并和染色即可完成修复

6.3 删除操作

相较于插入操作,红黑树的删除操作则要更为复杂一些。B树中,最后真正被删除的元素都在叶子节点中。所以在红黑树中,被删除的节点一定也在最后一层。

6.3.1 删除操作的所有情况

上面我们说删除节点一定都在最后一层,最后一层有红色节点和黑色节点,我们就以删除节点的颜色来区分删除操作的所有情况。

6.3.1.1

删除红色节点

如果删除的节点是红色直接删除,不用作任何调整。因为删除最后一层的红色节点,并没有影响红黑树的任何性质。

6.3.1.2

删除黑色节点

有3种情况:

  1. 拥有 2 个红色子节点的黑色节点
    • 不可能被直接删除,因为会找它的子节点替代删除,因此不用考虑这种情况
  2. 拥有 1 个红色子节点的黑色节点
  3. 黑色叶子节点

6.3.2 删除拥有1个红色子节点的黑色节点

删除拥有1个红色子节点的黑色节点的情况,是需要我们做相关的处理的。这里删除的就是节点46和76,他们只有一个红色子节点。

对于一个二叉树来说,删除一个度为1的节点(度指的是一个节点的子节点个数),将其删除后需要用它唯一的子节点来进行替换。而红黑树的这种情况的判定条件,就是判定要替代删除节点的子节点是不是红色

**判定条件:**用以替代的子节点是红色节点

案例修复:

删除黑色节点46和76

第一步:

将46与父节点的连接断开

第二步:

46唯一的红色子节点50作为代替46的节点,将其与46的父节点进行连接

第三步:

断开46与50的连接,将46删除

删除节点76的过程与删除节点46相同

第一步:

第二步:

第三步:

但是现在我们发现,80是红色节点,它的子节点72还是红色节点,这样明显不符合红黑树的性质,还需要进一步修复。

将替代的子节点染成黑色即可保持红黑树性质,修复完成

修复步骤总结:

  1. 用删除节点的唯一子节点对其进行替代
  2. 将替代节点染成黑色

6.3.3 删除黑色叶子节点——删除节点为根节点

一棵红黑树只有一个黑色根节点(也就是唯一的一个叶子节点,整个红黑树只有这一个黑色节点),可直接删除该节点,无需做其他操作。

6.3.4 删除黑色叶子节点——删除节点的兄弟节点为黑色

讲这种删除情况前先举一个例子

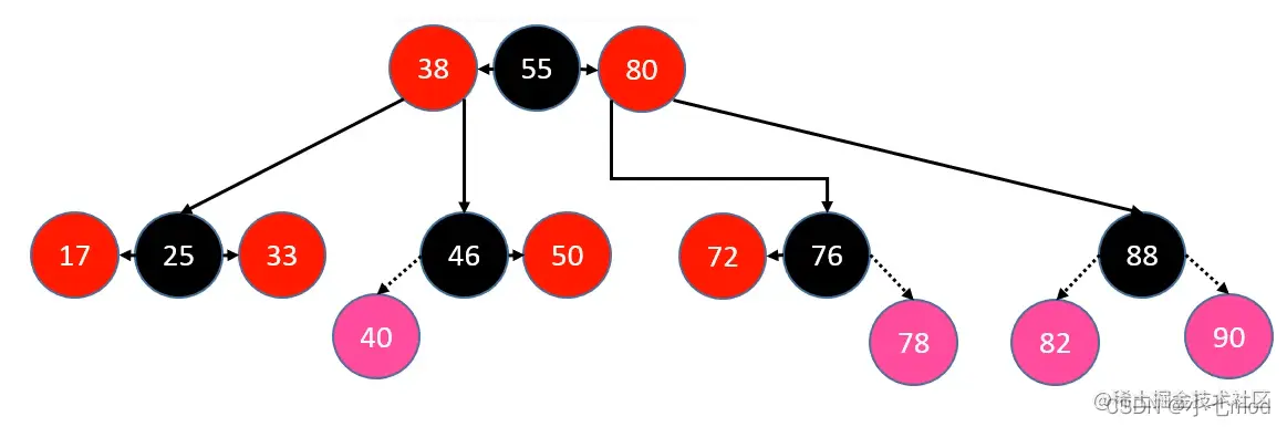
上面这个我们要删除节点88,该节点为黑色叶子节点,它的兄弟节点是黑色76。从B树的角度来看,如果删除88,因为四阶B树的节点中最少存有1个元素,如果不足,则会造成下溢。也就是需要从88的兄弟节点中借一个子节点出来。这就是这一节我们讨论的删除情况的核心修复思想。

6.3.4.1

兄弟节点至少有

1

红色

子节点

下面三个图分别对应着兄弟节点至少有一个红色子节点的三种情况。删除节点为88,为黑色叶子节点,它的兄弟节点是76,为黑色。兄弟节点76都至少有一个红色子节点,三种情况分别为76拥有一个红色右子节点,76拥有一个红色左子节点,76拥有两个红色子节点。因为兄弟节点有红色子节点,所以可以借出一个节点来进行修复。

这三种情况,黑色叶子节点被删除后,会导致B树节点下溢(比如删除88),就可以从兄弟节点中借出一个红色子节点来进行修复。

**判定条件:**兄弟节点至少有 1 个红色子节点

案例修复:

1、兄弟节点有一个右子节点:

先将88节点删除

删掉之后,从B树的角度来看就出现了下溢,这个时候就需要父节点下来,在兄弟节点的子结点中找一个,将他升上去代替。具体的实现就是要对节点进行旋转。

我们可以看出,80、76、78组成的树是一个LR的情况,先对76进行左旋转(可以将76看作父节点),这样78就上去了,再对80进行右旋转(可以将80看成祖父节点),80就下去了。

旋转完了之后,如上图。将旋转完之后的中心节点(就是78、76、80组成的树的最中心的节点,这里就是78)进行重新染色,继承删除节点的父节点80的颜色。最后再将78、76、80组成的树的左右两个节点染成黑色即可完成修复。

2、兄弟节点有一个左子节点:

先将88节点删除

删掉之后,从B树的角度来看就出现了下溢,这个时候就需要父节点下来,在兄弟节点的子结点中找一个,将他升上去代替。具体的实现就是要对节点进行旋转。

我们可以看出,80、76、78组成的树是一个LL的情况,直接对80进行右旋(将80看成是祖父节点)。

旋转完了之后,如上图。将旋转完之后的中心节点(就是78、72、80组成的树的最中心的节点,这里就是76)进行重新染色,继承删除节点的父节点80的颜色。最后再将78、72、80组成的树的左右两个节点染成黑色即可完成修复。

3、兄弟节点有两个左右子节点:

先将88节点删除

删除之后,其实可以有两种旋转可以进行修复,既可以使用LL方式进行旋转,也可以使用LR方式进行旋转。但是因为LL方式只需要旋转一次,我们就选用LL方式。

直接对80进行右旋

旋转完了之后,如上图。将旋转完之后的中心节点(就是78、72、76、80组成的树的最中心的节点,这里就是76)进行重新染色,继承删除节点的父节点80的颜色。最后再将78、72、76、80组成的树的左右两个节点染成黑色即可完成修复。

修复步骤总结:

  1. 进行旋转操作
  2. 旋转之后的中心节点继承父节点(删除节点的父节点)的颜色
  3. 旋转之后的左右节点染为黑色

6.3.4.2

兄弟节点没有红色子节点

当删除节点的兄弟节点没有红色节点可以借出的情况下,就需要父节点来向下合并进行修复,父节点向下和兄弟节点合并成新的B树节点来解决下溢。

**判定条件:**兄弟节点没有1个红色子节点

案例修复:

1、父节点为红色:

删除节点88,出现下溢

因为兄弟节点76没有可以借出的红色节点,所以需要父节点80来向下与76合并进行修复

将兄弟节点76染成黑色,父节点80染成黑色即可完成修复

2、父节点为黑色:

删除节点88,删除之后节点88就会出现下溢

删除之后父节点80应该向下合并进行修复,但是因为父节点80为黑色,如果向下合并之后,其实就相当于80这个节点也出现了下溢。

这个时候只需要把父节点当作被删除的节点进行处理即可

修复步骤总结:

  1. 父节点向下与兄弟节点进行合并
  2. 将兄弟染成红色、父节点染成黑色即可修复红黑树性质
    • 如果父节点是黑色,直接将父节点当成被删除的节点处理,来修复父节点的下溢情况

6.3.5 删除黑色叶子节点——删除节点的兄弟节点为红色

富国删除节点的兄弟节点为红色,这样删除节点出现下溢后没办法通过兄弟节点来进行修复。这就需要先把红黑树转换为兄弟节点为黑色的情况,就可以套用上面讲的修复方法来进行修复了。

**判定条件:**兄弟节点是红色

案例修复:

删除88节点之前,需要先转换成兄弟节点为黑色的情况,当前88的兄弟节点是红色55。可以将其看作LL情况,对父节点88进行右旋转,这样55就被移动上去了,成了80的父节点。76也被移动上去了,成了80的子节点。

这种情况,删除节点88的兄弟节点就变成了黑色,并且没有红色子节点,可以继续套用之前讲的方法来进行修复了。

删除掉88,将80染成黑色,76染成红色,完成修复。

修复步骤总结:

  1. 兄弟节点染成 BLACK,父节点染成染成 RED,对父节点进行右旋
  2. 于是又回到兄弟节点是黑色的情况(侄子节点变为兄弟节点),继续使用兄弟节点为黑色的方法进行修复

七、红黑树的平衡

AVL是靠平衡因子来保持平衡的,比如平衡因子为1,那么左右子树的高度差就不能超过1,是一种强平衡。

对于红黑树而言,为何那5条性质,就能保证红黑树是平衡的?

  • 因为那5条性质,可以保证红黑树等价于4阶B树

B树比较矮,它本身就是平衡的,高度越小越平衡。

红黑树就是能保证这个树高度不会特别高,红黑树的最大高度是 2 ∗ log2(n + 1) ,依然是 O(logn) 级别,因为高度不会很大进而维持一种相对平衡的状态。相比AVL树,红黑树的平衡标准比较宽松:没有一条路径会大于其他路径的2。这是是一种弱平衡、黑高度平衡(黑高度只算黑色节点个数,红黑树的任何一条路径的黑色节点数一样,则黑高度都是一样)。

八、红黑树的平均时间复杂度

  • 搜索:O(logn)
  • 添加:O(logn),O(1) 次的旋转操作
  • 删除:O(logn),O(1) 次的旋转操作

九、AVL树 vs 红黑树

9.1 AVL树

  • 平衡标准比较严格:每个左右子树的高度差不超过****1
  • 最大高度是 1.44 ∗ log2 n + 2 − 1.328(100W个节点,AVL树最大树高28)
  • 搜索、添加、删除都是 O(logn) 复杂度,其中添加仅需 O(1) 次旋转调整、删除最多需要 O(logn) 次旋转调整

9.2 红黑树

  • 平衡标准比较宽松:没有一条路径会大于其他路径的2倍
  • 最大高度是 2 ∗ log2(n + 1)( 100W个节点,红黑树最大树高40)
  • 搜索、添加、删除都是 O(logn) 复杂度,其中添加、删除都仅需 O(1) 次旋转调整

9.3 如何选择

  • 搜索的次数远远大于插入和删除,选择AVL树;搜索、插入、删除次数几乎差不多,选择红黑树
  • 相对于AVL树来说,红黑树牺牲了部分平衡性以换取插入/删除操作时少量的旋转操作,整体来说性能要优于AVL树
  • 红黑树的平均统计性能优于AVL树,实际应用中更多选择使用红黑树

9.4 案例对比

10, 35, 47, 11, 5, 57, 39, 14, 27, 26, 84, 75, 63, 41, 37, 24, 96组成一棵树

9.4.1 二叉搜索树

非常不平衡

9.4.2 AVL树

最平衡

9.4.3 红黑树

相对比较平衡

其他相关文章:【Java集合】一文快速了解HashMap底层原理