剑指 Offer 52. 两个链表的第一个公共节点

857 阅读4分钟

剑指 Offer 52. 两个链表的第一个公共节点

一起养成写作习惯!这是我参与「掘金日新计划 · 4 月更文挑战」的第4天,点击查看活动详情

1、题目📑

输入两个链表,找出它们的第一个公共节点。

如下面的两个链表

img

在节点 c1 开始相交。

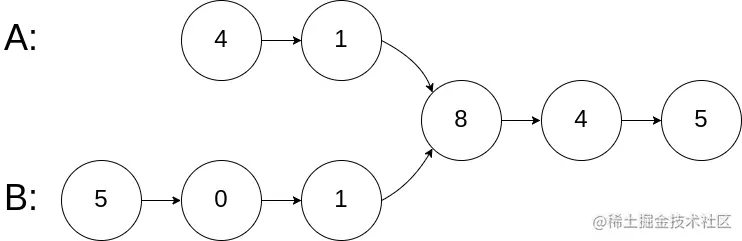
实例1

img

输入:intersectVal = 8, listA = [4,1,8,4,5], listB = [5,0,1,8,4,5], skipA = 2, skipB = 3

输出:Reference of the node with value = 8

输入解释:相交节点的值为 8 (注意,如果两个列表相交则不能为 0)。从各自的表头开始算起,链表 A 为 [4,1,8,4,5],链表 B 为 [5,0,1,8,4,5]。在 A 中,相交节点前有 2 个节点;在 B 中,相交节点前有 3 个节点。

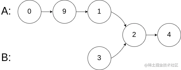
实例2

img

输入:intersectVal = 2, listA = [0,9,1,2,4], listB = [3,2,4], skipA = 3, skipB = 1

输出:Reference of the node with value = 2

输入解释:相交节点的值为 2 (注意,如果两个列表相交则不能为 0)。从各自的表头开始算起,链表 A 为 [0,9,1,2,4],链表 B 为 [3,2,4]。在 A 中,相交节点前有 3 个节点;在 B 中,相交节点前有 1 个节点。

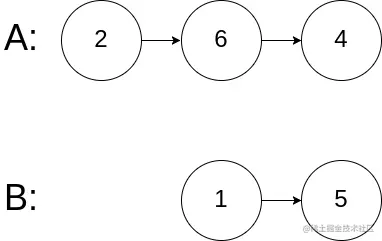
实例3

img

输入:intersectVal = 0, listA = [2,6,4], listB = [1,5], skipA = 3, skipB = 2

输出:null

输入解释:从各自的表头开始算起,链表 A 为 [2,6,4],链表 B 为 [1,5]。由于这两个链表不相交,所以 intersectVal 必须为 0,而 skipA 和 skipB 可以是任意值。

解释:这两个链表不相交,因此返回 null。

注意

  • 如果两个链表没有交点,返回 null.
  • 在返回结果后,两个链表仍须保持原有的结构。
  • 可假定整个链表结构中没有循环。
  • 程序尽量满足 O(n) 时间复杂度,且仅用 O(1) 内存。
  • 本题与主站 160 题相同:leetcode-cn.com/problems/in…

2、思路🧠

方法一:双指针

一般情况下,双指针来解决的链表插入和删除来说是非常的方便,对于数组在某个位置插入和删除非常的繁琐。

  1. 链表A长度为L1+C、链表B长度为L2+C, C为两个链表的公共部分的长度。
  2. 链表A走了L1+C步后,回到链表B起点走L2步;链表B走了L2+C步后,回到链表A起点走L1步。 当链表走的步数都为L1+L2+C时就相遇了。
  3. 当链表走的步数都为L1+L2+C时就相遇了。
    • 若两链表 公共尾部 (即 C > 0 ) :指针 A , B 同时指向公共节点 node
    • 若两链表 公共尾部 (即 C = 0 ) :指针 A , B 同时指向 null 。

废话少说~~~~~上代码!

3、代码👨‍💻

第一次commit AC

/**
 * Definition for singly-linked list.
 * public class ListNode {
 *     int val;
 *     ListNode next;
 *     ListNode(int x) {
 *         val = x;
 *         next = null;
 *     }
 * }
 */
public class Solution {
    public ListNode getIntersectionNode(ListNode headA, ListNode headB) {
        ListNode A = headA;
        ListNode B = headB;
        while(A != B) {
            A = A == null ? headB : A.next;
            B = B == null ? headA : B.next;
        }
        return A;
    }
}

时间复杂度:O(m + n) m代表链表 l1 的长度,n代表链表 l2 的长度

空间复杂度:O(1)

image-202204031952258544、总结

该题目的最大难度在于是否理解链表的结构,理解双指针,对于初学者来说双指针是非常头疼的问题。

5、链表的相关操作

链接直达🔗

剑指 Offer 18. 删除链表的节点 - 掘金

Leetcode 21. 合并两个有序链表 - 掘金

Leetcode 83. 删除排序链表中的重复元素 - 掘金

剑指 Offer 22. 链表中倒数第k个节点 - 掘金

剑指 Offer 24. 反转链表 - 掘金

❤️‍来自专栏《LeetCode基础算法题》欢迎订阅❤️‍

厂长写博客目的初衷很简单,希望大家在学习的过程中少走弯路,多学一些东西,对自己有帮助的留下你的赞赞👍或者关注➕都是对我最大的支持,你的关注和点赞给厂长每天更文的动力。

对文章其中一部分不理解,都可以评论区回复我,我们来一起讨论,共同学习,一起进步!

原题链接:剑指 Offer 52. 两个链表的第一个公共节点