「LeetCode」129-求根节点到叶节点数字之和⚡️

158 阅读3分钟

Offer 驾到,掘友接招!我正在参与2022春招系列活动-刷题打卡任务,点击查看活动详情

大家好,我是速冻鱼🐟,一条水系前端💦,喜欢花里胡哨💐,持续沙雕🌲
欢迎小伙伴们加我微信sudongyuer拉你进群
关注我的公众号:前端速冻鱼一起进步,期待与大家共同成长🥂

前言🌧️

算法,对前端人来说陌生又熟悉,很多时候我们都不会像后端工程师一样重视这项能力。但事实上,算法对每一个程序员来说,都有着不可撼动的地位。

因为开发的过程就是把实际问题转换成计算机可识别的指令,也就是《数据结构》里说的,「设计出数据结构,在施加以算法就行了」。

编写指令的好坏,会直接影响到程序的性能优劣,而指令又由数据结构和算法组成,所以数据结构和算法的设计基本上决定了最终程序的好坏

题目🦀

129. 求根节点到叶节点数字之和

难度中等

给你一个二叉树的根节点 root ,树中每个节点都存放有一个 09 之间的数字。

每条从根节点到叶节点的路径都代表一个数字:

  • 例如,从根节点到叶节点的路径 1 -> 2 -> 3 表示数字 123

计算从根节点到叶节点生成的 所有数字之和

叶节点 是指没有子节点的节点。

示例 1:

img

输入:root = [1,2,3]
输出:25
解释:
从根到叶子节点路径 1->2 代表数字 12
从根到叶子节点路径 1->3 代表数字 13
因此,数字总和 = 12 + 13 = 25

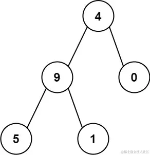
示例 2:

img

输入:root = [4,9,0,5,1]
输出:1026
解释:
从根到叶子节点路径 4->9->5 代表数字 495
从根到叶子节点路径 4->9->1 代表数字 491
从根到叶子节点路径 4->0 代表数字 40
因此,数字总和 = 495 + 491 + 40 = 1026

提示:

  • 树中节点的数目在范围 [1, 1000]
  • 0 <= Node.val <= 9
  • 树的深度不超过 10

解题思路🌵

  • 这道题采用DFS树的深度优先遍历即可
  • 注意可以利用JS的语法特性将数字转换为字符相加
  • 数字加空字符串即可转换为字符
  • 字符减去数字0即可转换为数字

解题步骤🐂

  • 编写深度优先遍历函数
  • 每次遍历将当前的total字符传入
  • 当当前节点左右都为空时,表示遍历到了字节点
  • 于是进行sum求和

源码🔥

/**
 * Definition for a binary tree node.
 * function TreeNode(val, left, right) {
 *     this.val = (val===undefined ? 0 : val)
 *     this.left = (left===undefined ? null : left)
 *     this.right = (right===undefined ? null : right)
 * }
 */
/**
 * @param {TreeNode} root
 * @return {number}
 */
var sumNumbers = function(root) {
    let sum = 0;

    const dfs = function(root,total){
        if(!root.left&&!root.right){
            //到了字节点终点
            sum=sum+(total-0)
            return
        }
        if(root.left){
            dfs(root.left,total+''+root.left.val)
        }
        if(root.right){
            dfs(root.right,total+''+root.right.val)
        }
    }

    dfs(root,root.val)

    return sum
};

时间复杂度:O(n)

空间复杂度:O(1)

结束语🌞

那么鱼鱼的LeetCode算法篇的「LeetCode」129-求根节点到叶节点数字之和⚡️就结束了,算法这个东西没有捷径,只能多写多练,多总结,文章的目的其实很简单,就是督促自己去完成算法练习并总结和输出,菜不菜不重要,但是热爱🔥,喜欢大家能够喜欢我的短文,也希望通过文章认识更多志同道合的朋友,如果你也喜欢折腾,欢迎加我好友,一起沙雕,一起进步

github🤖:sudongyu

个人博客👨‍💻:速冻鱼blog

vx👦:sudongyuer

写在最后

伙伴们,如果喜欢我的口水话给🐟🐟点一个赞👍或者关注➕都是对我最大的支持。