43-leetCode: 面试题 02.04. 分割链表

121 阅读1分钟

题目

给你一个链表的头节点 head 和一个特定值 x ,请你对链表进行分隔,使得所有 小于 x 的节点都出现在 大于或等于 x 的节点之前。

你不需要 保留 每个分区中各节点的初始相对位置。

示例

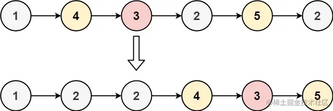
输入: head = [1,4,3,2,5,2], x = 3
输出:[1,2,2,4,3,5]

输入: head = [2,1], x = 2
输出:[1,2]

解题思路

本题与之前做过的一道链表题一致,思路就是定义两个虚拟头节点pre和last,循环链表,让小于x的节点接在pre链表后面,大于等于x的值接在last节点后面,最后将两个链表相连即可!

/**
 * @param {ListNode} head
 * @param {number} x
 * @return {ListNode}
 */
var partition = function(head, x) {
    // 定义两个虚拟头节点
    let pre = new ListNode(0), last = new ListNode(0);
    let p1 = pre, p2 = last;
    while(head) {
        // 小于x接在pre后面,大于等于x接在last后面
        if(head.val < x) {
            p1.next = head;
            p1 = p1.next;
        } else {
            p2.next = head;
            p2 = p2.next;
        }

        head = head.next;
    }
    // last的末尾应该为null不然会出现循环链表导致报错
    p2.next = null;
    p1.next = last.next;
    return pre.next;
};