【LeetCode】83. 删除排序链表中的重复元素

555 阅读2分钟

「这是我参与2022首次更文挑战的第9天,活动详情查看:2022首次更文挑战」。

题目

给定一个已排序的链表的头 head,删除所有重复的元素,使每个元素只出现一次*。返回已排序的链表 。

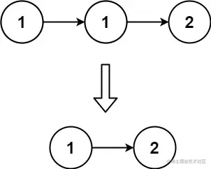
示例 1

img

输入:head = [1,1,2]
输出:[1,2]

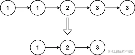
示例 2

img

输入:head = [1,1,2,3,3]
输出:[1,2,3]

提示

  • 链表中节点数目在范围 [0, 300] 内
  • -100 <= Node.val <= 100
  • 题目数据保证链表已经按升序排列

题解

一次遍历

思路

由于给定的链表是排好序的,因此重复的元素在链表中出现的位置是连续的,因此我们只需要对链表进行一次遍历,就可以删除重复的元素。

具体地,我们从指针 cur 指向链表的头节点,随后开始对链表进行遍历。如果当前 cur 与 cur.next 对应的元素相同,那么我们就将 cur.next 从链表中移除;否则说明链表中已经不存在其它与 cur 对应的元素相同的节点,因此可以将 cur 指向 cur.next。

当遍历完整个链表之后,我们返回链表的头节点即可。

注意:当我们遍历到链表的最后一个节点时,cur.next 为空节点,如果不加以判断,访问 cur.next 对应的元素会产生运行错误。因此我们只需要遍历到链表的最后一个节点,而不需要遍历完整个链表。

代码

/**
 * Definition for singly-linked list.
 * public class ListNode {
 *     int val;
 *     ListNode next;
 *     ListNode() {}
 *     ListNode(int val) { this.val = val; }
 *     ListNode(int val, ListNode next) { this.val = val; this.next = next; }
 * }
 */
class Solution {
    public ListNode deleteDuplicates(ListNode head) {
        if (head == null) {
            return head;
        }

        ListNode cur = head;
        while (cur.next != null) {
            if (cur.val == cur.next.val) {
                cur.next = cur.next.next;
            } else {
                cur = cur.next;
            }
        }

        return head;
    }
}

时间复杂度:O(n),n 是链表长度

空间复杂度:O(1)

结语

业精于勤,荒于嬉;行成于思,毁于随。