每日算法&面试题,大厂特训二十八天——第十七天(链表)

97 阅读4分钟

「这是我参与2022首次更文挑战的第9天,活动详情查看:2022首次更文挑战」。

导读

在这里插入图片描述

肥友们为了更好的去帮助新同学适应算法和面试题,最近我们开始进行专项突击一步一步来。上一期我们完成了动态规划二十一天现在我们进行下一项对各类算法进行二十八天的一个小总结。还在等什么快来一起肥学进行二十八天挑战吧!!

算法特训二十八天

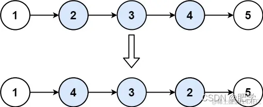
给你单链表的头指针 head 和两个整数 left 和 right ,其中 left <= right 。请你反转从位置 left 到位置 right 的链表节点,返回 反转后的链表 。

在这里插入图片描述

输入:head = [1,2,3,4,5], left = 2, right = 4
输出:[1,4,3,2,5]
示例 2:

输入:head = [5], left = 1, right = 1
输出:[5]

思路:在需要反转的区间里,每遍历到一个节点,让这个新节点来到反转部分的起始位置。下面的图展示了整个流程。

class Solution {
    public ListNode reverseBetween(ListNode head, int left, int right) {
        // 设置 dummyNode 是这一类问题的一般做法
        ListNode dummyNode = new ListNode(-1);
        dummyNode.next = head;
        ListNode pre = dummyNode;
        for (int i = 0; i < left - 1; i++) {
            pre = pre.next;
        }
        ListNode cur = pre.next;
        ListNode next;
        for (int i = 0; i < right - left; i++) {
            next = cur.next;
            cur.next = next.next;
            next.next = pre.next;
            pre.next = next;
        }
        return dummyNode.next;
    }
}


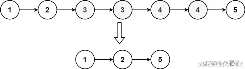
给定一个已排序的链表的头 head , 删除原始链表中所有重复数字的节点,只留下不同的数字 。返回 已排序的链表 。

在这里插入图片描述

输入:head = [1,2,3,3,4,4,5]
输出:[1,2,5]

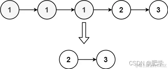
在这里插入图片描述

输入:head = [1,1,1,2,3]
输出:[2,3]

思路:由于给定的链表是排好序的,因此重复的元素在链表中出现的位置是连续的,因此我们只需要对链表进行一次遍历,就可以删除重复的元素。由于链表的头节点可能会被删除,因此我们需要额外使用一个哑节点(dummy node)指向链表的头节点。

具体地,我们从指针 \textit{cur}cur 指向链表的哑节点,随后开始对链表进行遍历。如果当前 \textit{cur.next}cur.next 与 \textit{cur.next.next}cur.next.next 对应的元素相同,那么我们就需要将 \textit{cur.next}cur.next 以及所有后面拥有相同元素值的链表节点全部删除。我们记下这个元素值 xx,随后不断将 \textit{cur.next}cur.next 从链表中移除,直到 \textit{cur.next}cur.next 为空节点或者其元素值不等于 xx 为止。此时,我们将链表中所有元素值为 xx 的节点全部删除。

如果当前 \textit{cur.next}cur.next 与 \textit{cur.next.next}cur.next.next 对应的元素不相同,那么说明链表中只有一个元素值为 \textit{cur.next}cur.next 的节点,那么我们就可以将 \textit{cur}cur 指向 \textit{cur.next}cur.next。

当遍历完整个链表之后,我们返回链表的的哑节点的下一个节点 \textit{dummy.next}dummy.next 即可。

class Solution {
    public ListNode deleteDuplicates(ListNode head) {
        if (head == null) {
            return head;
        }
        
        ListNode dummy = new ListNode(0, head);

        ListNode cur = dummy;
        while (cur.next != null && cur.next.next != null) {
            if (cur.next.val == cur.next.next.val) {
                int x = cur.next.val;
                while (cur.next != null && cur.next.val == x) {
                    cur.next = cur.next.next;
                }
            } else {
                cur = cur.next;
            }
        }

        return dummy.next;
    }
}



面试题

谈谈自己对于 Spring AOP 的了解?
AOP(Aspect-Oriented Programming:面向切面编程)能够将那些与业务无关,却为业务模块
所共同调用的逻辑或责任(例如事务处理、日志管理、权限控制等)封装起来,便于减少系统
的重复代码,降低模块间的耦合度,并有利于未来的可拓展性和可维护性

Spring Bean 容器的生命周期是什么样的?
 Bean 容器找到配置文件中 Spring Bean 的定义。
 Bean 容器利用 Java Reflection API 创建一个 Bean 的实例。
 如果涉及到一些属性值 利用 set()方法设置一些属性值。
32
 如果 Bean 实现了 BeanNameAware 接口,调用 setBeanName()方法,传入 Bean 的
名字。
 如果 Bean 实现了 BeanClassLoaderAware 接口,调用 setBeanClassLoader()方法,
传入 ClassLoader 对象的实例。
 如果 Bean 实现了 BeanFactoryAware 接口,调用 setBeanFactory()方法,传入
BeanFactory 对象的实例。
 与上面的类似,如果实现了其他 *.Aware 接口,就调用相应的方法。
 如果有和加载这个 Bean 的 Spring 容器相关的 BeanPostProcessor 对象,执行
postProcessBeforeInitialization() 方法
 如果 Bean 实现了 InitializingBean 接口,执行 afterPropertiesSet()方法。
 如果 Bean 在配置文件中的定义包含 init-method 属性,执行指定的方法。
 如果有和加载这个 Bean 的 Spring 容器相关的 BeanPostProcessor 对象,执行
postProcessAfterInitialization() 方法
 当要销毁 Bean 的时候,如果 Bean 实现了 DisposableBean 接口,执行 destroy() 方
法。
 当要销毁 Bean 的时候,如果 Bean 在配置文件中的定义包含 destroy-method 属性,
执行指定的方法