[路飞]_算法_ 二叉树的右视图-深度优先搜索

102 阅读1分钟

题目描述

给定一个二叉树的 根节点 root,想象自己站在它的右侧,按照从顶部到底部的顺序,返回从右侧所能看到的节点值。

 

示例 1:

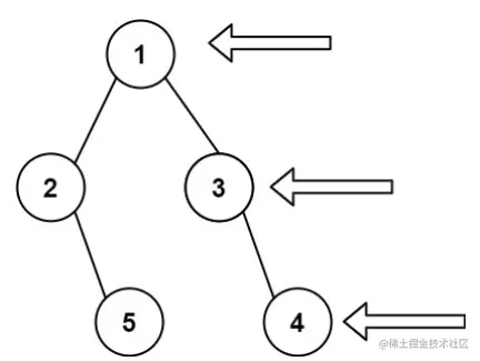
image.png 输入: [1,2,3,null,5,null,4]
输出: [1,3,4]

示例 2:
输入: [1,null,3]
输出: [1,3]

示例 3:
输入: []
输出: []  

提示:

  • 二叉树的节点个数的范围是 [0,100]
  • -100 <= Node.val <= 100 

来源:力扣(LeetCode) 链接:leetcode-cn.com/problems/bi… 著作权归领扣网络所有。商业转载请联系官方授权,非商业转载请注明出处。

解题思路

深度优先搜索,每层都先遍历右子树,每层第一个被遍历到的节点就是最右边的节点

代码

/**
 * Definition for a binary tree node.
 * function TreeNode(val, left, right) {
 *     this.val = (val===undefined ? 0 : val)
 *     this.left = (left===undefined ? null : left)
 *     this.right = (right===undefined ? null : right)
 * }
 */
/**
 * @param {TreeNode} root
 * @return {number[]}
 */
var rightSideView = function(root) {
    if(!root) return[];
    var help=function(tree,depth){
        if(!tree) return;
        if(!result[depth]){
            result[depth]=tree.val;
        }
        help(tree.right,depth+1);
        help(tree.left,depth+1);
    }
    // 递归所有右子节点返回值
    let result=[];
    help(root,0);
    return result;


};