每日算法&面试题,大厂特训二十八天——第七天(递归|回溯|迭代)

294 阅读2分钟

「这是我参与11月更文挑战的第27天,活动详情查看:2021最后一次更文挑战

导读

在这里插入图片描述

肥友们为了更好的去帮助新同学适应算法和面试题,最近我们开始进行专项突击一步一步来。上一期我们完成了动态规划二十一天现在我们进行下一项对各类算法进行二十八天的一个小总结。还在等什么快来一起肥学进行二十八天挑战吧!!

算法特训十四天

将两个升序链表合并为一个新的 升序 链表并返回。新链表是通过拼接给定的两个链表的所有节点组成的。

在这里插入图片描述

示例 1:


输入:l1 = [1,2,4], l2 = [1,3,4]
输出:[1,1,2,3,4,4]
示例 2:

输入:l1 = [], l2 = []
输出:[]
示例 3:

输入:l1 = [], l2 = [0]
输出:[0]
 
class Solution {
    public ListNode mergeTwoLists(ListNode l1, ListNode l2) {
        if (l1 == null) {
            return l2;
        } else if (l2 == null) {
            return l1;
        } else if (l1.val < l2.val) {
            l1.next = mergeTwoLists(l1.next, l2);
            return l1;
        } else {
            l2.next = mergeTwoLists(l1, l2.next);
            return l2;
        }
    }
}

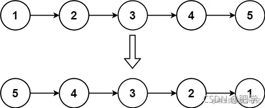
给你单链表的头节点 head ,请你反转链表,并返回反转后的链表。

在这里插入图片描述

示例 1:


输入:head = [1,2,3,4,5]
输出:[5,4,3,2,1]

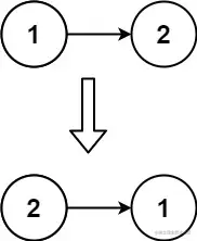
在这里插入图片描述

示例 2:


输入:head = [1,2]
输出:[2,1]
示例 3:

输入:head = []
输出:[]
//迭代法
class Solution {
    public ListNode reverseList(ListNode head) {
        ListNode prev = null;
        ListNode curr = head;
        while (curr != null) {
            ListNode next = curr.next;
            curr.next = prev;
            prev = curr;
            curr = next;
        }
        return prev;
    }
}

面试题

接着上期美团面经数据库的知识。

可重复读解决了哪些问题?

 可重复读的核心就是一致性读(consistent read);保证多次读取同一个数据时,其值都和事
务开始时候的内容是一致,禁止读取到别的事务未提交的数据,会造成幻读。

 而事务更新数据的时候,只能用当前读。如果当前的记录的行锁被其他事务占用的话,就
需要进入锁等待。

 查询只承认在事务启动前就已经提交完成的数据。

 可重复读解决的是重复读的问题,可重复读在快照读的情况下是不会有幻读,但当前读的
时候会有幻读。
对 SQL 慢查询会考虑哪些优化 ?

 分析语句,是否加载了不必要的字段/数据。

 分析 SQL 执行计划(explain extended),思考可能的优化点,是否命中索引等。

 查看 SQL 涉及的表结构和索引信息。

 如果 SQL 很复杂,优化 SQL 结构。

 按照可能的优化点执行表结构变更、增加索引、SQL 改写等操作。

 查看优化后的执行时间和执行计划。

 如果表数据量太大,考虑分表。

 利用缓存,减少查询次数。