【算法攻坚】快慢指针解法

285 阅读2分钟

这是我参与11月更文挑战的第20天,活动详情查看:2021最后一次更文挑战

今日题目

给定一个链表,删除链表的倒数第 n 个结点,并且返回链表的头结点。

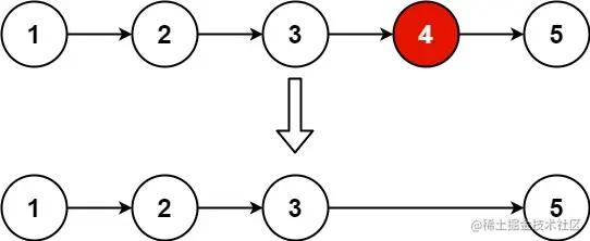
img

示例 1:

输入:head = [1,2,3,4,5], n = 2 输出:[1,2,3,5]

示例 2:

输入:head = [1], n = 1 输出:[]

示例 3:

输入:head = [1,2], n = 1 输出:[1]

提示:

链表中结点的数目为 sz 1 <= sz <= 30 0 <= Node.val <= 100 1 <= n <= sz

进阶:尝试使用一趟扫描实现吗?

思路一

由于链表只有头节点暴露,所以不清楚到底链表长度是多少,也就不清楚第n个节点在哪,

所以我们可以使用可以保留顺序索引的容器存储,这样就可以根据索引直接删掉倒数第n个节点

public ListNode removeNthFromEnd(ListNode head, int n) {
    ListNode cuur = head;
    List<ListNode> nodelist = new ArrayList<>();
    while (cuur != null) {
        nodelist.add(cuur);
        cuur = cuur.next;
    }
    int len = nodelist.size();
    //只有一个元素时,返回空
    if (len == 1 &&  n == 1) {
        return null;
    }
    //删除掉倒数第n个,也就是正数第一个head节点
    if (len == n) {
        return nodelist.get(1);
    }
    //其他情况删除节点,返回head
    nodelist.get(len - n - 1).next = nodelist.get(len - n).next;
    return head;
}

执行用时:0 ms, 在所有 Java 提交中击败了100.00%的用户

内存消耗:37.7 MB, 在所有 Java 提交中击败了5.03%的用户

思路二

另一种思路就是遍历两遍,第一遍找到总长度,第二遍根据总长度和n找到需要删除的节点

public ListNode removeNthFromEnd2(ListNode head, int n) {
    ListNode cuur = head;
    int length = 1;
    //第一遍计算出总长度
    while (cuur.next != null) {
        length++;
        cuur = cuur.next;
    }
    if (n == length) {
        head = head.next;
    } else {
        cuur = head;
        //第二遍删除第n个节点
        for (int i = 1; i < length - n; i++) {
            cuur = cuur.next;
        }
        cuur.next = cuur.next.next;
    }
    return head;
}

执行用时:0 ms, 在所有 Java 提交中击败了100.00%的用户

内存消耗:36.4 MB, 在所有 Java 提交中击败了58.58%的用户

思路三

利用快慢指针,由于是删除倒数第n个,让快指针先走n - 1步,然后慢指针再从头出发,与快指针同时前进。当快指针走到结尾的时候,slow.next就是要删除的节点。 执行slow.next = slow.next.next即可。小技巧还是通过创建哨兵节点来简化头节点的处理方式。

public ListNode removeNthFromEnd(ListNode head, int n) {
    //新建哨兵节点,方便处理头节点
    ListNode pre = new ListNode();
    pre.next = head;
    ListNode fast = pre, slow = pre;
    for (int i = 0; i < n; i++){
        fast = fast.next;
    }
    while (fast.next != null){
        fast = fast.next;
        slow = slow.next;
    }
    //删除slow.next
    slow.next = slow.next.next;
    return pre.next;
}

执行用时:0 ms, 在所有 Java 提交中击败了100.00%的用户

内存消耗:36.3 MB, 在所有 Java 提交中击败了76.05%的用户

小结

这道题重点要学会快慢指针的思想,其他解法相对来说不是重点只作为了解即可,算法考察的更多是快慢指针的思想,需要掌握其原理。