[前端]_一起刷leetcode 面试题 02.07. 链表相交

840 阅读3分钟

「这是我参与11月更文挑战的第7天,活动详情查看:2021最后一次更文挑战

题目

面试题 02.07. 链表相交

难度简单114收藏分享切换为英文接收动态反馈

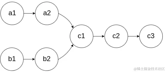
给你两个单链表的头节点 headA 和 headB ,请你找出并返回两个单链表相交的起始节点。如果两个链表没有交点,返回 null 。

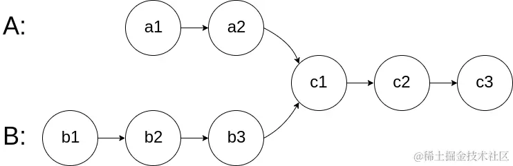
图示两个链表在节点 c1 开始相交

题目数据 保证 整个链式结构中不存在环。

注意,函数返回结果后,链表必须 保持其原始结构 。

 

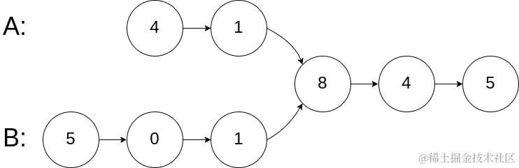
示例 1:

输入: intersectVal = 8, listA = [4,1,8,4,5], listB = [5,0,1,8,4,5], skipA = 2, skipB = 3
输出: Intersected at '8'
解释: 相交节点的值为 8 (注意,如果两个链表相交则不能为 0)。
从各自的表头开始算起,链表 A[4,1,8,4,5],链表 B[5,0,1,8,4,5]。
在 A 中,相交节点前有 2 个节点;在 B 中,相交节点前有 3 个节点。

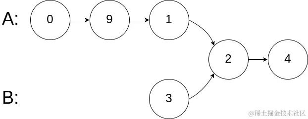
示例 2:

输入: intersectVal = 2, listA = [0,9,1,2,4], listB = [3,2,4], skipA = 3, skipB = 1
输出: Intersected at '2'
解释: 相交节点的值为 2 (注意,如果两个链表相交则不能为 0)。
从各自的表头开始算起,链表 A[0,9,1,2,4],链表 B[3,2,4]。
在 A 中,相交节点前有 3 个节点;在 B 中,相交节点前有 1 个节点。

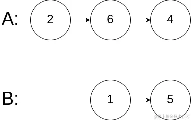
示例 3:

输入: intersectVal = 0, listA = [2,6,4], listB = [1,5], skipA = 3, skipB = 2
输出: null
解释: 从各自的表头开始算起,链表 A[2,6,4],链表 B[1,5]。
由于这两个链表不相交,所以 intersectVal 必须为 0,而 skipA 和 skipB 可以是任意值。
这两个链表不相交,因此返回 null 。

 

提示:

  • listA 中节点数目为 m
  • listB 中节点数目为 n
  • 0 <= m, n <= 3 * 104
  • 1 <= Node.val <= 105
  • 0 <= skipA <= m
  • 0 <= skipB <= n
  • 如果 listA 和 listB 没有交点,intersectVal 为 0
  • 如果 listA 和 listB 有交点,intersectVal == listA[skipA + 1] == listB[skipB + 1]

 

进阶: 你能否设计一个时间复杂度 O(n) 、仅用 O(1) 内存的解决方案?

思路

  1. 这道题目看起来很长,设计总结一下就是判断两个链表有没有共同元素;
  2. 我们可以用Map记录A链表中的每一个元素,然后遍历B链表中判断元素是否在Map出现过。

实现

/**
 * Definition for singly-linked list.
 * function ListNode(val) {
 *     this.val = val;
 *     this.next = null;
 * }
 */

/**
 * @param {ListNode} headA
 * @param {ListNode} headB
 * @return {ListNode}
 */
var getIntersectionNode = function(headA, headB) {
    if(!headA || !headB) {
        return null;
    }

    let map = new Map();

    while (headA) {
        map.set(headA);
        headA = headA.next;
    }

    while (headB) {
        if (map.has(headB)) {
            return headB;
        }
        headB = headB.next;
    }

    return null;
};

优化

  1. 题目进阶中提到,使用额外空间O(1)来做,所以我们只能放弃用Map;

  2. 我们可以改用双指针来做,让currentA指针从A链表出发,跑完A链表跑B链表;

  3. currentB指针从B链表出发,跑完B链表跑A链表;

    那么结果可能有三种情况:

snipaste_20211120_160238.png

这是第一种情况,交点刚好就出现在正中间, 那我们第三个元素就能相遇,直接返回节点;

233.png

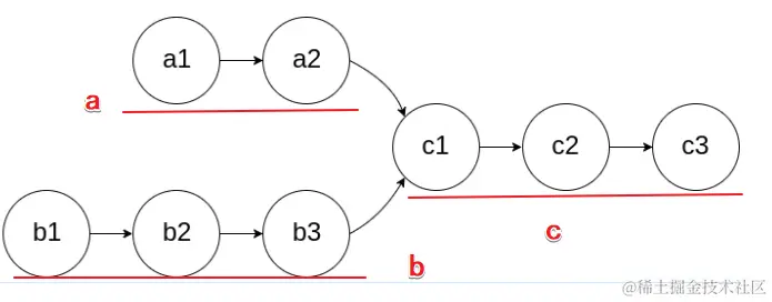
这是第二种情况, currentA 跑完 A链表, 再经过b段到达 C1 节点的时候,总共跑的路径为 a+b+c, 而currentB 跑完 B链表,再经过a段到达C1节点的时候, 总共跑的路径为 b+c+a, 我们可以发现如果存在交点,那么跑第二个链表的时候它们两个必然会相遇;

333.png

这是第三种情况,两者没有焦点,那么两者跑完两个链表的时间,都是一样的。这时候两者总会都等于null。

优化代码

/**
 * Definition for singly-linked list.
 * function ListNode(val) {
 *     this.val = val;
 *     this.next = null;
 * }
 */

/**
 * @param {ListNode} headA
 * @param {ListNode} headB
 * @return {ListNode}
 */
var getIntersectionNode = function(headA, headB) {
    if(!headA || !headB) {
        return null;
    }

    let currentA = headA;
    let currentB = headB;

    while(currentA !== currentB) {
        currentA = currentA ? currentA.next : headB;
        currentB = currentB ? currentB.next : headA;
    }

    return currentA;
};

看懂了的小伙伴可以点个关注、咱们下道题目见。如无意外以后文章都会以这种形式,有好的建议欢迎评论区留言。