☀️机器学习入门☀️(四) PCA 和 LDA 降维算法 | 附加小练习

1,248 阅读5分钟

小知识,大挑战!本文正在参与“程序员必备小知识”创作活动。

本文已参与 「掘力星计划」 ,赢取创作大礼包,挑战创作激励金

1. PCA 主成分分析

1.1 算法简介

数据样本虽然是高维的,但是与学习任务紧密相关的或许仅仅是一个低维嵌入,因此可以对数据进行有效的降维

在这里插入图片描述

主成分分析是一种统计分析简化数据集的方法。


它利用正交变换来对一系列可能相关的变量的观测值进行线性变换,从而投影为一系列线性不相关变量的值,这些不相关变量称为主成分

1.2 实现思路

一般来说,欲获得低维子空间,最简单的是对原始高维空间进行线性变换

给定𝒎维空间中的数据点,将其投影到低维空间中,同时尽可能多地保留信息。

  • 数据在低维线性空间的正交投影

最大化投影数据的方差(紫色线)。 最小化数据点与投影之间的均方距离(蓝色线之和)。

在这里插入图片描述

  • 主成分概念:

    1. 主成分分析(PCA)的思想是将𝒎维特征映射到𝒌维上(𝒌<𝒎),这𝒌维是全新的正交特征。
    2. 𝒌维特征称为主成分(PC),是重新构造出来的𝒌维特征
  • 主成分特点:

    1. 源于质心的矢量。
    2. 主成分#1指向最大方差的方向。
    3. 各后续主成分与前一主成分正交,且指向残差子空间最大方差的方向

1.3 公式推算

1.3.1 PCA顺序排序

给定中心化的数据{𝒙_𝟏,𝒙_𝟐,⋯,𝒙_𝒎},计算主向量: 在这里插入图片描述 我们最大化𝒙的投影方差 在这里插入图片描述

我们使残差子空间中投影的方差最大 在这里插入图片描述

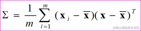
1.3.2 样本协方差矩阵

给定数据{𝒙_𝟏,𝒙_𝟐,⋯,𝒙_𝒎}, 计算协方差矩阵

在这里插入图片描述 在这里插入图片描述

在这里插入图片描述 在这里插入图片描述

在这里插入图片描述

证明不写了,太多公式了,自行百度吧。

1.4 小练习

给定的图像数据集,探讨pca降维后特征个数与聚类性能的关系。

在这里插入图片描述

from PIL import Image
import numpy as np
import os
from ex1.clustering_performance import clusteringMetrics
from sklearn.cluster import KMeans
from sklearn.decomposition import PCA
import matplotlib.pyplot as plt

plt.rcParams['font.sans-serif'] = 'SimHei'
plt.rcParams['axes.unicode_minus'] = False

def getImage(path):
    images = []
    for root, dirs, files in os.walk(path):
        if len(dirs) == 0:
            images.append([root + "\\" + x for x in files])
    return images

# 加载图片
images_files = getImage('face_images')
y = []
all_imgs = []
for i in range(len(images_files)):
    y.append(i)
    imgs = []
    for j in range(len(images_files[i])):
        img = np.array(Image.open(images_files[i][j]).convert("L"))  # 灰度
        # img = np.array(Image.open(images_files[i][j])) #RGB
        imgs.append(img)
    all_imgs.append(imgs)

# 可视化图片
w, h = 180, 200
pic_all = np.zeros((h * 10, w * 10))  # gray
for i in range(10):
    for j in range(10):
        pic_all[i * h:(i + 1) * h, j * w:(j + 1) * w] = all_imgs[i][j]
pic_all = np.uint8(pic_all)
pic_all = Image.fromarray(pic_all)
pic_all.show()

# 构造输入X
label = []
X = []
for i in range(len(all_imgs)):
    for j in all_imgs[i]:
        label.append(i)
        # temp = j.reshape(h * w, 3) #RGB
        temp = j.reshape(h * w)  # GRAY
        X.append(temp)

def keams_in(X_Data, k):
    kMeans1 = KMeans(k)
    y_p = kMeans1.fit_predict(X_Data)
    ACC, NMI, ARI = clusteringMetrics(label, y_p)
    t = "ACC:{},NMI:{:.4f},ARI:{:.4f}".format(ACC, NMI, ARI)
    print(t)
    return ACC, NMI, ARI

# PCA
def pca(X_Data, n_component, height, weight):
    X_Data = np.array(X_Data)
    pca1 = PCA(n_component)
    pca1.fit(X_Data)
    faces = pca1.components_
    faces = faces.reshape(n_component, height, weight)
    X_t = pca1.transform(X_Data)
    return faces, X_t

def draw(n_component, faces):
    plt.figure(figsize=(10, 4))
    plt.subplots_adjust(hspace=0, wspace=0)
    for i in range(n_component):
        plt.subplot(2, 5, i + 1)
        plt.imshow(faces[i], cmap='gray')
        plt.title(i + 1)
        plt.xticks(())
        plt.yticks(())
    plt.show()

score = []
for i in range(10):
    _, X_trans = pca(X, i + 1, h, w)
    acc, nmi, ari = keams_in(X_trans, 10)
    score.append([acc, nmi, ari])

score = np.array(score)
bar_width = 0.25
x = np.arange(1, 11)
plt.bar(x, score[:, 0], bar_width, align="center", color="orange", label="ACC", alpha=0.5)
plt.bar(x + bar_width, score[:, 1], bar_width, color="blue", align="center", label="NMI", alpha=0.5)
plt.bar(x + bar_width*2, score[:, 2], bar_width, color="red", align="center", label="ARI", alpha=0.5)
plt.xlabel("n_component")
plt.ylabel("精度")
plt.legend()
plt.show()

2. LDA 线性判断分析

2.1 算法简介

当我们映射的时候,由于映射的位置不同,所以我们会有不同的降维后的结果。对于下面两个,我们可以看出方法2的分类更明显,方法2是更好的。

在这里插入图片描述PCA的映射对比。 在这里插入图片描述

2.2 实现思路

投影后类内方差最小,类间方差最大

就像是上面的那个三维映射例子一样,我们可以看到,方法2之所以更好,就是因为类内方差最小,类间方差最大。

数据映射到Rk(从d维降到k维),且希望该变换将属于同一类的样本映射得越近越好(即最小的类内距离),而将不同类的样本映射得越远越好 (即最大的类间距离)。同时还能尽能多地保留样本数据的判别信息。

在这里插入图片描述

记𝒁_𝒊={𝑻(𝒙)|𝒙∊𝑿_𝒊},从而根据线性判别分析的基本思想,我们希望:

(𝒛_𝟏 ) ̅和(𝒛_2 ) ̅离的越远越好

类间离散度 在这里插入图片描述 𝒁_𝒊 中的元素集中在(𝒛_𝒊 ) ̅附近越好

类内离散度 在这里插入图片描述

在这里插入图片描述 在这里插入图片描述输入:训练样本〖{𝒙_𝒊,𝒚_𝒊}〗_(𝒊=𝟏)^𝒏,降维后的维数(特征个数)k.

输出:𝑿=[𝒙_𝟏, …,𝒙_𝒏 ]的低维度表示𝒁=[𝐳_𝟏, …,𝐳_𝒏 ].

步骤 1.计算类内散度矩阵 Sw; 2.计算类间散度矩阵 Sb; 3.计算矩阵S的负一次方wSb; 4.计算S的负一次方wSb的最大的k个特征值和对应的k个特征向量(w1, w2, ..., wk),得到投影矩阵W 5.对样本集中的每一个样本特征xi转化为新的样本zi=WTxi 6.得到输出样本集〖{𝒛_𝒊,𝒚_𝒊}〗_(𝒊=𝟏)^𝒏.

2.3 小练习

给定的图像数据集,探讨LDA的降维效果 在这里插入图片描述

from sklearn import datasets#引入数据集
from sklearn.neighbors import KNeighborsClassifier #KNN
from sklearn.decomposition import PCA
from sklearn.discriminant_analysis import LinearDiscriminantAnalysis
from sklearn.model_selection import train_test_split
import numpy as np
import matplotlib.pyplot as plt #plt用于显示图片
from matplotlib import offsetbox

def calLDA(k):
    # LDA
    lda = LinearDiscriminantAnalysis(n_components=k).fit(data,label) # n_components设置降维到n维度
    dataLDA = lda.transform(data)  # 将规则应用于训练集
    return dataLDA

def calPCA(k):
    # PCA
    pca = PCA(n_components=k).fit(data)
    # 返回测试集和训练集降维后的数据集
    dataPCA = pca.transform(data)
    return dataPCA

def draw():
    # matplotlib画图中中文显示会有问题,需要这两行设置默认字体

    fig = plt.figure('example', figsize=(11, 6))
    # plt.xlabel('X')
    # plt.ylabel('Y')
    # plt.xlim(xmax=9, xmin=-9)
    # plt.ylim(ymax=9, ymin=-9)
    color = ["red","yellow","blue","green","black","purple","pink","brown","gray","Orange"]
    colors = []
    for target in label:
        colors.append(color[target])
    plt.subplot(121)
    plt.title("LDA 降维可视化")
    plt.scatter(dataLDA.T[0], dataLDA.T[1], s=10,c=colors)
    plt.subplot(122)
    plt.title("PCA 降维可视化")
    plt.scatter(dataPCA.T[0], dataPCA.T[1], s=10, c=colors)

    #plt.legend()
    plt.show()

def plot_embedding(X,title=None):
    x_min, x_max = np.min(X, 0), np.max(X, 0)
    X = (X - x_min) / (x_max - x_min)  # 对每一个维度进行0-1归一化,注意此时X只有两个维度
    colors = ['#5dbe80', '#2d9ed8', '#a290c4', '#efab40', '#eb4e4f', '#929591','#ababab','#eeeeee','#aaaaaa','#213832']

    ax = plt.subplot()

    # 画出样本点
    for i in range(X.shape[0]):  # 每一行代表一个样本
        plt.text(X[i, 0], X[i, 1], str(label[i]),
                 # color=plt.cm.Set1(y[i] / 10.),
                 color=colors[label[i]],
                 fontdict={'weight': 'bold', 'size': 9})  # 在样本点所在位置画出样本点的数字标签

    # 在样本点上画出缩略图,并保证缩略图够稀疏不至于相互覆盖
    if hasattr(offsetbox, 'AnnotationBbox'):
        shown_images = np.array([[1., 1.]])  # 假设最开始出现的缩略图在(1,1)位置上
        for i in range(data.shape[0]):
            dist = np.sum((X[i] - shown_images) ** 2, 1)  # 算出样本点与所有展示过的图片(shown_images)的距离
            if np.min(dist) < 4e-3:  # 若最小的距离小于4e-3,即存在有两个样本点靠的很近的情况,则通过continue跳过展示该数字图片缩略图
                continue
            shown_images = np.r_[shown_images, [X[i]]]  # 展示缩略图的样本点通过纵向拼接加入到shown_images矩阵中

            imagebox = offsetbox.AnnotationBbox(
                offsetbox.OffsetImage(datasets.load_digits().images[i], cmap=plt.cm.gray_r),
                X[i])
            ax.add_artist(imagebox)

    #plt.xticks([]), plt.yticks([])  # 不显示横纵坐标刻度
    if title is not None:
        plt.title(title)

    plt.show()

data = datasets.load_digits().data#一个数64维,1797个数
label = datasets.load_digits().target
dataLDA = calLDA(2)
dataPCA = calPCA(2)

#draw() #普通图


plt.rcParams['font.sans-serif'] = ['SimHei']
plt.rcParams['axes.unicode_minus'] = False

plot_embedding(dataLDA,"LDA 降维可视化")
plot_embedding(dataPCA,"PCA 降维可视化")

最后

小生凡一,期待你的关注。