Android 高级UI10 Path及其贝塞尔曲线

2,451 阅读4分钟

Path工具类:用来记录线条的轨迹路径 canvas.draw(path,paint); 贝塞尔曲线 现实生活当中,任何的曲线和曲面都可以用贝塞尔公式来解决。 比如:

1.设计贝塞尔曲线或者贝塞尔曲线效果图
2.怎么去得到贝塞尔曲线的几个要素(比如二阶贝塞尔:p0初始位置,p1拐点,p2结束点)
p1拐点如何确定,可以通过工具来确定,比如Photoshop点钢笔工具等

原理和简单推导(以三阶为例):

P0、P02、P2是一条抛物线上顺序三个不同的点。过P0和P2点的两切线交于P1点,在P02点的切线交P0P1和P2P1于P01和P11,则如下比例成立:

这是所谓抛物线的三切线定理。

P0,P2固定,引入参数t,令上述比值为t:(1-t),即有:

t从0变到1,第一、二式就分别表示控制二边形的第一、二条边,它们是两条一次Bezier曲线。将一、二式代入第三式得:

t从0变到1时,它表示了由三顶点P0、P1、P2三点定义的一条二次Bezier曲线。

并且表明:

二次Bezier曲线P02可以定义为分别由前两个顶点(P0,P1)和后两个顶点(P1,P2)决定的一次Bezier曲线的线性组合

依次类推,

由四个控制点定义的三次Bezier曲线P03可被定义为分别由(P0,P1,P2)和(P1,P2,P3)确定的二条二次Bezier曲线的线性组合,由(n+ 1)个控制点P**i(i=0,1,...,n)定义的n次Bezier曲线P0n可被定义为分别由前、后n个控制点定义的两条(n-1)次Bezier曲线P0n-1与P1*n-*1的线性组合:

由此得到Bezier曲线的递推计算公式

这就是这就是de Casteljau算法,可以简单阐述三阶贝塞尔曲线原理。

Bézier curve(贝塞尔曲线)是应用于二维图形应用程序的数学曲线。 曲线定义:起始点、终止点(也称锚点)、控制点。通过调整控制点,贝塞尔曲线的形状会发生变化。 1962年,法国数学家Pierre Bézier第一个研究了这种矢量绘制曲线的方法,并给出了详细的计算公式,因此按照这样的公式绘制出来的曲线就用他的姓氏来命名,称为贝塞尔曲线。

以下公式中:B(t)为t时间下 点的坐标;

P0为起点,Pn为终点,Pi为控制点

一阶贝塞尔曲线(线段):

意义:由 P0 至 P1 的连续点, 描述的一条线段

二阶贝塞尔曲线(抛物线):

原理:由 P0 至 P1 的连续点 Q0,描述一条线段。
由 P1 至 P2 的连续点 Q1,描述一条线段。
由 Q0 至 Q1 的连续点 B(t),描述一条二次贝塞尔曲线。

经验:P1-P0为曲线在P0处的切线。

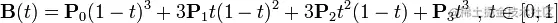
三阶贝塞尔曲线:

通用公式:

高阶贝塞尔曲线:

4阶曲线:

5阶曲线:

二阶贝塞尔曲线

public class WaveView extends View {

    private Paint paint;
    private Path path;

    public WaveView(Context context) {
        super(context);

    }

    public WaveView(Context context,
            @Nullable AttributeSet attrs) {
        super(context, attrs);

        init();
    }

    private void init() {
        path = new Path();
        paint = new Paint();
        paint.setColor(Color.RED);
        paint.setStyle(Style.STROKE);
        paint.setStrokeWidth(10);
    }

    @Override
    protected void onDraw(Canvas canvas) {
        super.onDraw(canvas);
        //第一个点--起始点
        path.moveTo(100, 400);
        //二阶贝塞尔曲线1

        path.quadTo(250, 200, 400, 400);

        //二阶贝塞尔曲线2(后面的曲线的起始点默认是接着上一个曲线的结束点)
        path.quadTo(550, 600, 700, 400);
        //关闭路径(将起点和终点闭合)
        path.close();
        canvas.drawPath(path, paint);

    }
}
##### 三阶贝塞尔曲线

**

        path.moveTo(100, 700);
        path.cubicTo(50, 500, 550, 500, 700, 700);
        canvas.drawPath(path, paint);
波浪实例

public class WaveView extends View {

    private Paint paint;
    private Path path;

    //波长
    private int waveLength = 800;
    private int dx;
    private int dy;

    public WaveView(Context context) {
        super(context);

    }

    public WaveView(Context context,
            @Nullable AttributeSet attrs) {
        super(context, attrs);

        init();
    }

    private void init() {
        path = new Path();
        paint = new Paint();
        paint.setColor(Color.RED);
        paint.setStyle(Style.FILL_AND_STROKE);
        paint.setStrokeWidth(10);
    }

    @Override
    protected void onDraw(Canvas canvas) {
        super.onDraw(canvas);

        path.reset();
        int originY = 500;
//        if(dy<originY + 150){
//            dy += 30;
//        }
        int halfWaveLength = waveLength / 2;
        path.moveTo(-waveLength + dx, originY - dy);

        //屏幕宽度里面画多少哥波长
        for (int i = -waveLength; i < getWidth() + waveLength; i += waveLength) {

            //二阶贝塞尔曲线1
            /**
             * 相对于起始点的增量
             */
            path.rQuadTo(halfWaveLength / 2, -150, halfWaveLength, 0);
            path.rQuadTo(halfWaveLength / 2, 150, halfWaveLength, 0);

        }
        //颜色填充
        //画一个封闭的空间
        path.lineTo(getWidth(), getHeight());
        path.lineTo(0, getHeight());
        path.close();
        canvas.drawPath(path, paint);

    }

    public void startAnimation() {
        ValueAnimator animator = ValueAnimator.ofInt(0, waveLength);
        animator.setDuration(1000);
        animator.setInterpolator(new LinearInterpolator());
        //无限循环
        animator.setRepeatCount(ValueAnimator.INFINITE);
        animator.addUpdateListener(new AnimatorUpdateListener() {
            @Override
            public void onAnimationUpdate(ValueAnimator animation) {
                dx = (int) animation.getAnimatedValue();
                postInvalidate();
            }
        });
        animator.start();
    }

}
调用

WaveView waveView = findViewById(R.id.waveView);
waveView.startAnimation();