遍历二叉树|前序、中序、后序、层序遍历

5,260 阅读12分钟

6.8 遍历二叉树

6.8.1 二叉树遍历原理

假设,我手头有20张100元的和2000张1元的奖券,同时洒向了空中,大家比赛看谁最终捡的最多。如果是你,你会怎么做?

相信所有同学都会说,一定先捡100元的。道理非常简单,因为捡一张100元等于1元的捡100张,效率好得不是一点点。所以可以得到这样的结论,同样是捡奖券,在有限时间内,要达到最高效率,次序非常重要。对于二叉树的遍历来讲,次序同样显得很重要。

二叉树的遍历(traversing binary tree)是指从根结点出发,按照某种次序依次访问二叉树中所有结点,使得每个结点被访问一次且仅被访问一次。

这里有两个关键词:访问次序

访问其实是要根据实际的需要来确定具体做什么,比如对每个结点进行相关计算,输出打印等,它算作是一个抽象操作。在这里我们可以简单地假定就是输出结点的数据信息。

二叉树的遍历次序不同于线性结构,最多也就是从头至尾、循环、双向等简单的遍历方式。树的结点之间不存在唯一的前驱和后继关系,在访问一个结点后,下一个被访问的结点面临着不同的选择。就像你人生的道路上,高考填志愿要面临哪个城市、哪所大学、具体专业等选择,由于选择方式的不同,遍历的次序就完全不同了。

图6-8-1

6.8.2 二叉树遍历方法

二叉树的遍历方式可以很多,如果我们限制了从左到右的习惯方式,那么主要就分为四种:

1.前序遍历

规则是若二叉树为空,则空操作返回,否则先访问根结点,然后前序遍历左子树,再前序遍历右子树。如图6-8-2所示,遍历的顺序为:ABDGHCEIF。

图6-8-2

2.中序遍历

规则是若树为空,则空操作返回,否则从根结点开始(注意并不是先访问根结点),中序遍历根结点的左子树,然后是访问根结点,最后中序遍历右子树。如图6-8-3所示,遍历的顺序为:GDHBAEICF。

图6-8-3

3.后序遍历

规则是若树为空,则空操作返回,否则从左到右先叶子后结点的方式遍历访问左右子树,最后是访问根结点。如图6-8-4所示,遍历的顺序为:GHDBIEFCA。

图6-8-4

4.层序遍历

规则是若树为空,则空操作返回,否则从树的第一层,也就是根结点开始访问,从上而下逐层遍历,在同一层中,按从左到右的顺序对结点逐个访问。如图6-8-5所示,遍历的顺序为:ABCDEFGHI。

图6-8-5 有同学会说,研究这么多遍历的方法干什么呢?

我们用图形的方式来表现树的结构,应该说是非常直观和容易理解,但是对于计算机来说,它只有循环、判断等方式来处理,也就是说,它只会处理线性序列,而我们刚才提到的四种遍历方法,其实都是在把树中的结点变成某种意义的线性序列,这就给程序的实现带来了好处。

另外不同的遍历提供了对结点依次处理的不同方式,可以在遍历过程中对结点进行各种处理。

6.8.3 前序遍历算法

二叉树的定义是用递归的方式,所以,实现遍历算法也可以采用递归,而且极其简洁明了。先来看看二叉树的前序遍历算法。代码如下:

    /* 二叉树的前序遍历递归算法 */
    void PreOrderTraverse(BiTree T)
    {
        if(T==NULLreturn;
        printf"%c",T->data);/* 显示结点数据,可以更改为其他对结点操作 */
        PreOrderTraverse(T->lchild); /* 再先序遍历左子树 */
        PreOrderTraverse(T->rchild); /* 最后先序遍历右子树 */
    }

假设我们现在有如图6-8-6这样一棵二叉树T。这树已经用二叉链表结构存储在内存当中。

图6-8-6

那么当调用PreOrderTraverse(T)函数时,我们来看看程序是如何运行的。

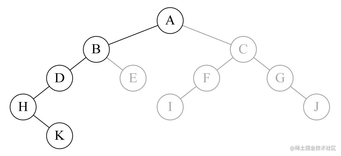
1.调用PreOrderTraverse(T),T根结点不为null,所以执行printf,打印字母A,如图6-8-7所示。

图6-8-7 2.调用PreOrderTraverse(T->lchild);访问了A结点的左孩子,不为null,执行printf显示字母B,如图6-8-8所示。

图6-8-8

3.此时再次递归调用PreOrderTraverse(T->lchild);访问了B结点的左孩子,执行printf显示字母D,如图6-8-9所示。

图6-8-9

4.再次递归调用PreOrderTraverse(T->lchild);访问了D结点的左孩子,执行printf显示字母H,如图6-8-10所示。

图6-8-10

5.再次递归调用PreOrderTraverse(T->lchild);访问了H结点的左孩子,此时因为H结点无左孩子,所以T==null,返回此函数,此时递归调用PreOrderTraverse(T->rchild);访问了H结点的右孩子,printf显示字母K,如图6-8-11所示。

图6-8-11

6.再次递归调用PreOrderTraverse(T->lchild);访问了K结点的左孩子,K结点无左孩子,返回,调用PreOrderTraverse(T->rchild);访问了K结点的右孩子,也是null,返回。于是此函数执行完毕,返回到上一级递归的函数(即打印H结点时的函数),也执行完毕,返回到打印结点D时的函数,调用PreOrderTraverse(T->rchild);访问了D结点的右孩子,不存在,返回到B结点,调用PreOrderTraverse(T->rchild);找到了结点E,打印字母E,如图6-8-12所示。

图6-8-12

7.由于结点E没有左右孩子,返回打印结点B时的递归函数,递归执行完毕,返回到最初的PreOrderTraverse,调用PreOrderTraverse(T->rchild);访问结点A的右孩子,打印字母C,如图6-8-13所示。

图6-8-13

8.之后类似前面的递归调用,依次继续打印F、I、G、J,步骤略。

综上,前序遍历这棵二叉树的节点顺序是:ABDHKECFIGJ。

6.8.4 中序遍历算法

那么二叉树的中序遍历算法是如何呢?哈哈,别以为很复杂,它和前序遍历算法仅仅只是代码的顺序上的差异。

    /* 二叉树的中序遍历递归算法 */
    void InOrderTraverse(BiTree T)
    {
        if(T==NULLreturn;
        InOrderTraverse(T->lchild); /* 中序遍历左子树 */
        printf"%c",T->data);/* 显示结点数据,可以更改为其他对结点操作 */
        InOrderTraverse(T->rchild); /* 最后中序遍历右子树 */
    }

换句话说,它等于是把调用左孩子的递归函数提前了,就这么简单。我们来看看当调用InOrderTraverse(T)函数时,程序是如何运行的。

1.调用InOrderTraverse(T),T的根结点不为null,于是调用InOrderTraverse(T->lchild);访问结点B。当前指针不为null,继续调用InOrderTraverse(T-> lchild);访问结点D。不为null,继续调用InOrderTraverse(T->lchild);访问结点H。继续调用InOrderTraverse(T->lchild);访问结点H的左孩子,发现当前指针为null,于是返回。打印当前结点H,如图6-8-14所示。

图6-8-14

2.然后调用InOrderTraverse(T->rchild);访问结点H的右孩子K,因结点K无左孩子,所以打印K,如图6-8-15所示。

图6-8-15

3.因为结点K没有右孩子,所以返回。打印结点H函数执行完毕,返回。打印字母D,如图6-8-16所示。

图6-8-16

4.结点D无右孩子,此函数执行完毕,返回。打印字母B,如图6-8-17所示。

图6-8-17

5.调用InOrderTraverse(T->rchild);访问结点B的右孩子E,因结点E无左孩子,所以打印E,如图6-8-18所示。

图6-8-18

6.结点E无右孩子,返回。结点B的递归函数执行完毕,返回到了最初我们调用InOrderTraverse的地方,打印字母A,如图6-8-19所示。

图6-8-19

7.再调用InOrderTraverse(T->rchild);访问结点A的右孩子C,再递归访问结点C的左孩子F,结点F的左孩子I。因为I无左孩子,打印I,之后分别打印F、C、G、J。步骤省略。

综上,中序遍历这棵二叉树的节点顺序是:HKDBEAIFCGJ。

6.8.5 后序遍历算法

那么同样的,后序遍历也就很容易想到应该如何写代码了。

    /* 二叉树的后序遍历递归算法 */
    void PostOrderTraverse(BiTree T)
    {
        if(T==NULLreturn;
        PostOrderTraverse(T->lchild); /* 先后序遍历左子树 */
        PostOrderTraverse(T->rchild); /* 再后序遍历右子树 */
        printf"%c",T->data);/* 显示结点数据,可以更改为其他对结点操作 */
    }

如图6-8-20所示,后序遍历是先递归左子树,由根结点A→B→D→H,结点H无左孩子,再查看结点H的右孩子K,因为结点K无左右孩子,所以打印K,返回。

图6-8-20

最终,后序遍历的结点的顺序就是:KHDEBIFJGCA。同学们可以自己按照刚才的办法得出这个结果。

6.8.6 推导遍历结果

有一种题目为了考查你对二叉树遍历的掌握程度,是这样出题的。已知一棵二叉树的前序遍历序列为ABCDEF,中序遍历序列为CBAEDF,请问这棵二叉树的后序遍历结果是多少?

对于这样的题目,如果真的完全理解了前中后序的原理,是不难的。

三种遍历都是从根结点开始,前序遍历是先打印再递归左和右。所以前序遍历序列为A BCDEF,第一个字母是A被打印出来,就说明A是根结点的数据。再由中序遍历序列是CBAEDF,可以知道C和B是A的左子树的结点,E、D、F是A的右子树的结点,如图6-8-21所示。

图6-8-21

然后我们看前序中的C和B,它的顺序是ABCDEF,是先打印B后打印C,所以B应该是A的左孩子,而C就只能是B的孩子,此时是左还是右孩子还不确定。再看中序序列是CBAEDF,C是在B的前面打印,这就说明C是B的左孩子,否则就是右孩子了,如图6-8-22所示。

图6-8-22

再看前序中的E、D、F,它的顺序是ABCDEF,那就意味着D是A结点的右孩子,E和F是D的子孙,注意,它们中有一个不一定是孩子,还有可能是孙子的。再来看中序序列是CBAEDF,由于E在D的左侧,而F在右侧,所以可以确定E是D的左孩子,F是D的右孩子。因此最终得到的二叉树是图6-8-23所示。

图6-8-23

为了避免推导中的失误,你最好在心中递归遍历,检查一下这棵树的前序和中序遍历序列是否与题目中的相同。

已经复原了二叉树,要获得它的后序遍历结果就是易如反掌,结果是CBEFDA。

但其实,如果同学们足够熟练,不用画这棵二叉树,也可以得到后序的结果,因为刚才判断了A结点是根结点,那么它在后序序列中,一定是最后一个。刚才推导出C是B的左孩子,而B是A的左孩子,那就意味着后序序列的前两位一定是CB。同样的办法也可以得到EFD这样的后序顺序,最终就自然的得到CBEFDA这样的序列,不用在草稿上画树状图了。

反过来,如果我们的题目是这样:二叉树的中序序列是ABCDEFG,后序序列是BDCAFGE,求前序序列。

这次简单点,由后序的BDCAFGE,得到E是根结点,因此前序首字母是E。

于是根据中序序列分为两棵树ABCD和FG,由后序序列的BDCAFGE,知道A是E的左孩子,前序序列目前分析为EA。

再由中序序列的ABCDEFG,知道BCD是A结点的右子孙,再由后序序列的BDCAFGE知道C结点是A结点的右孩子,前序序列目前分析得到EAC。

中序序列ABCDEFG,得到B是C的左孩子,D是C的右孩子,所以前序序列目前分析结果为EACBD。

由后序序列BDCAFGE,得到G是E的右孩子,于是F就是G的孩子。如果你是在考试时做这道题目,时间就是分数、名次、学历,那么你根本不需关心F是G的左还是右孩子,前序遍历序列的最终结果就是EACBDGF。

不过细细分析,根据中序序列ABCDEFG,是可以得出F是G的左孩子。

从这里我们也得到两个二叉树遍历的性质。

■ 已知前序遍历序列和中序遍历序列,可以唯一确定一棵二叉树。

■ 已知后序遍历序列和中序遍历序列,可以唯一确定一棵二叉树。

但要注意了,已知前序和后序遍历,是不能确定一棵二叉树的, 原因也很简单,比如前序序列是ABC,后序序列是CBA。我们可以确定A一定是根结点,但接下来,我们无法知道,哪个结点是左子树,哪个是右子树。这棵树可能有如图6-8-24所示的四种可能。

图6-8-24