【优化算法】混沌单纯形法算子布谷鸟搜索优化算法【含Matlab源码 1193期】

549 阅读6分钟

一、简介

1 介绍 布谷鸟(杜鹃)是一种非常迷人的鸟类,它们不仅能发出各种声音或叫声,还能以不同的方式繁殖。杜鹃科中的犀鹃(Ani Cuckoo)和圭拉鹃(Guira Cuckoo),将它们的蛋放在其他鸟的巢中,从此杜鹃鸟的蛋完全依赖于寄主鸟的照料,这就是巢寄生。

如果寄主鸟发现蛋不是它们的,要么把蛋扔掉,要么放弃巢穴,然后寄主鸟再建一个新的巢穴。为了防止这种情况的发生,雌性布谷鸟已经进化到可以模拟寄主蛋的颜色和纹理,从而降低被遗弃的可能性。同时蛋也会分布在不同的巢中,以减少蛋丢失的机会。如果布谷鸟的蛋没有被识别出来,它通常会在寄主鸟蛋之前孵化,并把其他的蛋从巢中踢出去,这样就能分得更多的食物,甚至有些布谷鸟雏鸟也能模仿寄主雏鸟的叫声。

巢寄生的一个好处是,父母不需要投资筑巢或喂养幼鸟。他们可以花更多的时间在捕食和繁殖上。随着时间的推移,自然选择使寄主鸟和布谷鸟都进化了,使得每一代中最适合的鸟存活下来。布谷鸟的这种繁殖行为是协同进化的最佳模型之一,也是最近发展的优化技术,即布谷鸟搜索的基础。

2 人工布谷鸟搜索 布谷鸟搜索受布谷鸟的巢寄生行为和一些鸟类和果蝇的莱维(Lévy Flight)行为的启发,是由Xin-She Yang和Suash Deb (2009)[2]提出的一种新型的基于群体的优化技术。

布谷鸟算法源于以下三条规则[3]: 每只布谷鸟每次产下一枚蛋,并将其放入随机选择的巢中; 具有优质蛋的最佳巢会被进入到下一代; 可用的寄主巢数量是固定的,且寄主以概率pa∈(0,1)发现布谷鸟放的蛋。在这种情况下,寄主可以消灭该蛋或放弃旧巢另建新巢。 在进一步研究算法之前,先讨论一些数学术语和函数。

2.1 随机变量 任何随机现象的输出都是随机变量,并用X表示。如果一个随机变量只取不同的值,比如1,2,那么它就是离散的;如果它可以在一个区间内取任意值,那它就是连续的。这些通常用曲线下的面积或积分表示。随机变量X在一组结果A上的概率,就是A上和曲线下之间的面积,这条曲线下的总面积必须是1,对于集合A中的任何元素都不应该有负值。这样的曲线称为密度曲线。

2.2 随机游走 随机游走(记为SN)是一系列随机步的和,每一步都由一个随机变量Xi表达: 在这里插入图片描述 随机游走的长度可以是固定的,也可以是可变的(取决于步长)。

2.2.1 幂律 当一个量相对变化时会导致两一个量成比例的相对变化时,需要应用幂律(比例律),幂律分布的一般形式是: 在这里插入图片描述 其中X和Y是目标变量,α是律指数,k为常量。

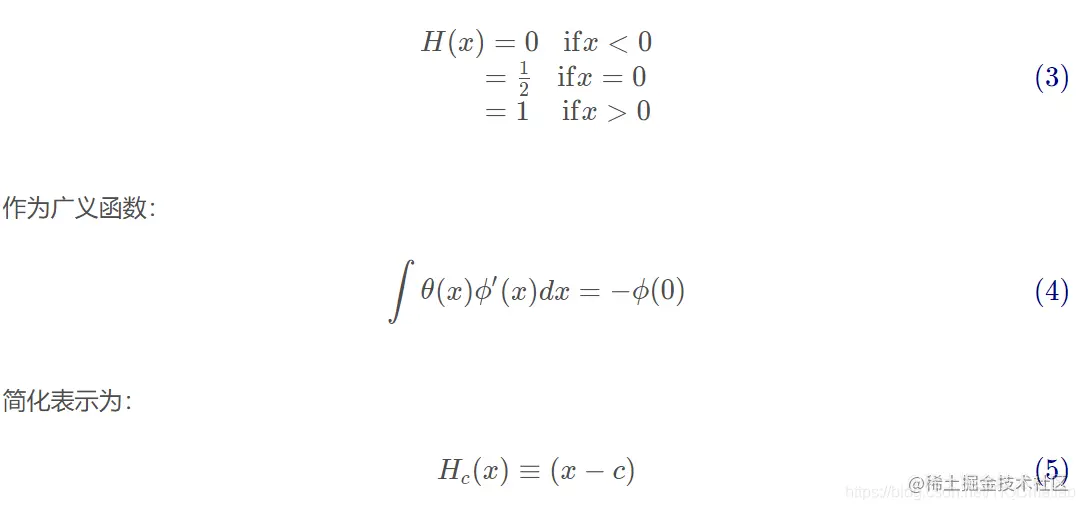
2.3 赫维赛德函数(阶跃函数) 通常用H或θ表示,用于表达分段常数函数或广义函数。 作为分段函数时: 在这里插入图片描述

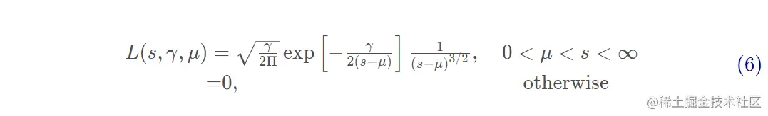
2.4 Lévy(莱维)分布 Lévy分布是非负随机变量的稳定连续概率分布,可以用以下简单的方式表达: 在这里插入图片描述

其中µ是最小步长,γ是尺度参数。

6.2.4.1 Lévy飞行 Lévy飞行是步长服从Lévy分布的随机游走,通过下式表达: 在这里插入图片描述 其中β是一个索引。

二、源代码

%%%%%%%%%%%%%%%%%%%%%%%%%%%%%%%%%%%%%%%
% % % % % % CLSCS算法核心---% % % % % %
%%%%%%%%%%%%%%%%%%%%%%%%%%%%%%%%%%%%%%%
function [ keepglobal] = Cuckoo_search( popsize,pa,xMin,xMax,iter_max,dim,fun )

     LB=xMin*ones(1,dim);
     UB=xMax*ones(1,dim);
     u=3;%混沌系数

    fitness=inf*ones(popsize,1); %初始化适应度值
    
    %随机的初始值
    for i=1:popsize,
        nest(i,:)=LB+(UB-LB).*rand(size(LB));
    end
    
    %得到当前最优解
    [fbest,bestnest,nest,fitness]=get_best_nest(nest,nest,fitness,fun);
    keepglobal(1)=fbest;
    
    fprintf('Run = %d Save_Nr_best = %e\n', 1, fbest);
  
    %%开始循环
    for i=2:iter_max
        %产生新的解(但保留当前最优的)
        new_nest=get_cuckoos(nest,bestnest,LB,UB,iter_max,i);
        %单纯形法--去除较差的鸟窝
        new_nest=dcxf(popsize,new_nest,fun);
        
        [f_min,best,nest,fitness]=get_best_nest(nest,new_nest,fitness,fun);
        
    
   
        %发现并随机选择
        new_nest=empty_nests(nest,LB,UB,pa,iter_max,i,fitness);


        %评价改解
        [f_min,best,nest,fitness]=get_best_nest(nest,new_nest,fitness,fun);
        
% % % % % % % % % % % % % % % % % % % % % % % % % % % % %         
       %%对粒子群最优位置进行混沌优化
      y(1,:)=(best-xMin)/(xMax-xMin);% 将最优位置映射到Logistic方程的定义域[0,1]
      fitness_c(1)=func(y(1,:),fun); 
        for t=1:popsize-1 %通过Logistic方程进行M次迭代,得到混沌序列
            for e=1:dim
                 y(t+1,e)=u*y(t,e)*(1-y(t,e)); 
            end
              y(t+1,:)=xMin+(xMax-xMin)*y(t+1,:);%将混沌序列逆射到原解空间
             fitness_c(t+1)=func(y(t+1,:),fun); %计算混沌变量可行解序列的适应度值
        end
        [ybestfitness ybestindex]=min(fitness_c);%寻找最优混沌可行解矢量
        
        if ybestfitness<f_min
            f_min=ybestfitness;
            best=y(ybestindex,:);
        end
        function [fit] = func(x, fun)
%benchmark functions

% Developed by: Dr. Mahamed G.H. Omran (omran.m@gust.edu.kw) 12-May-2011
% Modified and improved by: Maurice Clerc (15-May-2011)

% x is a D-dimensional vector representing the solution we want to evalaute
% fun is the indix of the function of interest
% fit is the fitness of x (i.e. fit = f(x))

D = length(x);

switch(fun)
%     case {1,2,3,4,5,6,7,8,9,10,11,12,13,14}, % CEC'05 functions
        % NOTE:
        % For these functions to work, you need to include the following
        % lines in your file:
        % global  initial_flag
        % initial_flag = 0;
        % In addition, vector x should be x(1,D) where D is the problem's
        % dimension
%         fit = benchmark_func(x, fun);
    case {1}, % Sphere function
        fit = sum(x.^2);
    case {2}, % Rastrigin
        fit = 10*D + sum(x.^2 - 10*cos(2.*pi.*x));
    case {3}, %Step
        fit = sum(floor(x + 0.5).^2);
    case {4}, %Rosenbrock
        f = 0;
        for i = 1:1:D-1
            f = f + 100*((x(i+1) - x(i)^2)^2) + (1 - x(i))^2;
        end
        fit = f;
    case {5}, %Ackley
       fit = -20*exp(-0.2*sqrt(sum(x.^2)/D)) - exp(sum(cos(2*pi .*x))/D) + 20 + exp(1);
    case {6}, %Griewank
        sum1 = 0;
        prod1 = 1;
        for i = 1:1:D
            sum1 = sum1 + (x(i)^2/4000);
            prod1 = prod1*cos(x(i)/sqrt(i));
        end
        fit = sum1 - prod1 + 1;
    case {7}, %Salomon
        fit = -cos(2*pi*sqrt(sum(x.^2))) + 0.1*sqrt(sum(x.^2)) + 1;
    case {8}, %Quartic function
        sum1 = 0;
        for i = 1:1:D
            sum1 = sum1 + i*x(i)^4;
        end
        fit = sum1 + rand();
    case {9}, %Alpine
        sum1 = 0;
        for i=1:1:D
            sum1 = sum1 + abs(x(i)*sin(x(i)) + 0.1*x(i));
        end
        fit = sum1;
   case {10}, %Six Hump Camel bsck
        fit = 4*x(1).^2 - 2.1*x(1).^4 + (1/3)*x(1).^6 + x(1)*x(2) - 4*x(2)^2 + 4*x(2).^4;
    case {11}, % Branin
        fit = (x(2)-(5.1/(4*pi^2))*x(1)^2+5*x(1)/pi-6)^2+10*(1-1/(8*pi))*cos(x(1))+10;
    case {12}, % Shubert
        sum0 = 0;
        sum1 = 0;
        for j=1:1:5
            sum0 = sum0 + j*cos((j+1)*x(1) + j);
            sum1 = sum1 + j*cos((j+1)*x(2) + j);
        end
        fit = sum0*sum1;
    case {13}, % Easom
        fit = -cos(x(1))*cos(x(2))*exp(-((x(1) - pi)^2 + (x(2) - pi)^2));
    case {14}, % Shekel function
% Matlab Code by A. Hedar (Nov. 23, 2005).
% The number of variables n = 4
% The parameter m should be adjusted m = 5,7,10.
% The default value of m = 10.
% 
m = 10;
a = ones(10,4);
a(1,:) = 4.0*a(1,:);
a(2,:) = 1.0*a(2,:);
a(3,:) = 8.0*a(3,:);
a(4,:) = 6.0*a(4,:);
for j = 1:2;
   a(5,2*j-1) = 3.0; a(5,2*j) = 7.0; 
   a(6,2*j-1) = 2.0; a(6,2*j) = 9.0; 
   a(7,j)     = 5.0; a(7,j+2) = 3.0;
   a(8,2*j-1) = 8.0; a(8,2*j) = 1.0;
   a(9,2*j-1) = 6.0; a(9,2*j) = 2.0;
   a(10,2*j-1)= 7.0; a(10,2*j)= 3.6;
end
c(1) = 0.1; c(2) = 0.2; c(3) = 0.2; c(4) = 0.4; c(5) = 0.4;
c(6) = 0.6; c(7) = 0.3; c(8) = 0.7; c(9) = 0.5; c(10)= 0.5;
s = 0;
for j = 1:m;
   p = 0;
   for i = 1:4
      p = p+(x(i)-a(j,i))^2;
   end
   s = s+1/(p+c(j));
end
fit = -s;

    otherwise,
        error('No such function');
        fit = -1;
end

% fit=abs(fit-opt_f);

end

三、运行结果

在这里插入图片描述

四、备注

版本:2014a