21年6月30日,明略科技算法岗 面试题7道-8月更文挑战

214 阅读5分钟

1. 熵,交叉熵的概念

在信息论和概率统计中,熵是表示随机变量不确定的度量,随机边量 X 的熵定义如下:

熵只依赖于X的分布,与X的取值无关。

条件熵 H(Y|X) 表示在已知随机变量 X 的条件下随机变量 Y 的不确定性,H(Y|X) 定义为在给定条件 X 下,Y 的条件概率分布的熵对 X 的数学期望:

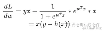
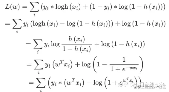
2. 逻辑归损失函数,并推导梯度下降公式

逻辑回归损失函数及梯度推导公式如下:

求导:

3. 归一化和标准化区别

归一化公式:

标准化公式:

归一化和标准化的区别:归一化是将样本的特征值转换到同一量纲下把数据映射到[0,1]或者[-1, 1]区间内,仅由变量的极值决定,因区间放缩法是归一化的一种。标准化是依照特征矩阵的列处理数据,其通过求z-score的方法,转换为标准正态分布,和整体样本分布相关,每个样本点都能对标准化产生影响。它们的相同点在于都能取消由于量纲不同引起的误差;都是一种线性变换,都是对向量X按照比例压缩再进行平移。

4. knn算法的思想

在训练集中数据和标签已知的情况下,输入测试数据,将测试数据的特征与训练集中对应的特征进行相互比较,找到训练集中与之最为相似的前K个数据,则该测试数据对应的类别就是K个数据中出现次数最多的那个分类,其算法的描述为:

1)计算测试数据与各个训练数据之间的距离;

2)按照距离的递增关系进行排序;

3)选取距离最小的K个点;

4)确定前K个点所在类别的出现频率;

5)返回前K个点中出现频率最高的类别作为测试数据的预测分类。

5. knn的k设置的过大会有什么问题

KNN中的K值选取对K近邻算法的结果会产生重大影响。如果选择较小的K值,就相当于用较小的领域中的训练实例进行预测,“学习”近似误差(近似误差:可以理解为对现有训练集的训练误差)会减小,只有与输入实例较近或相似的训练实例才会对预测结果起作用,与此同时带来的问题是“学习”的估计误差会增大,换句话说,K值的减小就意味着整体模型变得复杂,容易发生过拟合;

如果选择较大的K值,就相当于用较大领域中的训练实例进行预测,其优点是可以减少学习的估计误差,但缺点是学习的近似误差会增大。这时候,与输入实例较远(不相似的)训练实例也会对预测器作用,使预测发生错误,且K值的增大就意味着整体的模型变得简单。

在实际应用中,K值一般取一个比较小的数值,例如采用交叉验证法来选择最优的K值。经验规则:k一般低于训练样本数的平方根。

6. gbdt和bagging的区别,样本权重为什么会改变?

gbdt是基于Boosting的算法。

Bagging和Boosting的区别:

1)样本选择上:

Bagging:训练集是在原始集中有放回选取的,从原始集中选出的各轮训练集之间是独立的。

Boosting:每一轮的训练集不变,只是训练集中每个样例在分类器中的权重发生变化。而权值是根据上一轮的分类结果进行调整。

2)样例权重:

Bagging:使用均匀取样,每个样例的权重相等

Boosting:根据错误率不断调整样例的权值,错误率越大则权重越大。

3)预测函数:

Bagging:所有预测函数的权重相等。

Boosting:每个弱分类器都有相应的权重,对于分类误差小的分类器会有更大的权重。

4)并行计算:

Bagging:各个预测函数可以并行生成

Boosting:各个预测函数只能顺序生成,因为后一个模型参数需要前一轮模型的结果。

Boosting中样本权重发生改变的原因:

通过提高那些在前一轮被弱分类器分错样例的权值,减小前一轮分对样例的权值,来使得分类器对误分的数据有较好的效果。

7. 梯度下降的思想

梯度下降是一种非常通用的优化算法,能够为大范围的问题找到最优解。梯度下降的中心思想就是迭代地调整参数从而使损失函数最小化。

假设你迷失在山上的迷雾中,你能感觉到的只有你脚下路面的坡度。快速到达山脚的一个策略就是沿着最陡的方向下坡,这就是梯度下降的做法。即通过测量参数向量 θ 相关的损失函数的局部梯度,并不断沿着降低梯度的方向调整,直到梯度降为 0 ,达到最小值。

梯度下降公式如下:

对应到每个权重公式为: