奈奎斯特采样定理中的奈奎斯特到底是谁?

278 阅读11分钟

当用手机和家人通话、视频的时候,你有没有想过你的声音、影像为什么能传送到千里之外的地方?

这个问题还要从模拟信号说起。模拟信号是指用连续变化的物理量表示的信息。我们所在的世界中充满了各种各样的模拟信号,如声音、温度、湿度、压力、转速等等。可是这些连续的信号对于只知道0和1的计算机来说无法理解。怎样才能将模拟信号转换成计算机可以理解的数字信号呢?这里就要用到一个非常重要的定理——奈奎斯特采样定理,它在模拟信号和数字信号之间架起了一座桥梁,将声音这种模拟信号转换成可以在线路中传输的数字信号,让相隔千里的人们也能彼此通话。

那么,奈奎斯特采样定理中的奈奎斯特到底是谁?

图片

Harry Nyquist

他就是美国电子工程师、物理学家Harry Nyquist。Nyquist为近代信息理论的发展做出了重大贡献,以他名字命名的奈奎斯特采样定理在今天依然用于数字化模拟信号。

 早年岁月

1889年,Nyquist出生于瑞典韦姆兰市一个叫尼尔斯比的村庄,他的父母一共有8个孩子。在学校时,Nyquist表现优异,但由于家庭贫困,他不得不辍学在建筑工地打工赚钱。他的一位老师深感于这样的智慧不应该被埋没,便鼓励他去机会更多的美国发展。

1907年,Nyquist移民到了美国。

1912年,Nyquist进入北达科他大学学习,并分别于 1914 年和 1915 年先后获得电气工程学士学位和硕士学位,1917年,Nyquist获得耶鲁大学物理学博士学位。为了完成学业,他不得不通过教课和打暑期工来赚取学费。

从耶鲁大学毕业以后,Nyquist加入AT&T(美国电话电报公司),开始研究改进电报图像和语音传输的工作。1934 年,他的部门并入贝尔实验室,在这里他继续从事通信传输工作,直到 1954 年退休。

在长达37年的职业生涯里,Nyquist共获得138项专利,并成功发表多篇技术论文。

关于专利上的多产,还有一件趣事:贝尔实验室的专利律师曾想知道为什么有的员工能获得比其他人多得多的专利,为此他们分析了大量数据,最后发现所有这些获得数量众多专利的人都有一个共同点:他们都和Harry Nyquist一起吃过早餐或午餐。据这些人说,Nyquist并不会告诉他们如何才能获得专利,但他会在就餐时提出一些很好的问题,引导大家思考。而且Nyquist性情温和,经常鼓励他人和自己交谈,这也让与他对话的人倍感亲切。

 在AT&T和贝尔实验室的工作

图片

贝尔实验室

1876年,“电话发明人”贝尔成功申请到电话专利,第二年,颇具商业头脑的他成立了贝尔电话公司。

1895年,贝尔公司将它的美国长途通话业务项目分离出来,成立了一家独立的公司——AT&T(美国电报电话公司)。

1899年,实力雄厚的AT&T反向收购了母公司贝尔电话公司的业务和资产。随后,这家电信巨头便开启了它近百年的垄断岁月。这种垄断也被称为贝尔系统(Bell System)。

1925年,AT&T收购了西方电子公司的研究部门,并成立了贝尔电话实验室公司,目的是加强贝尔系统在通信领域和相关科学领域的研究活动。这家公司就是后来大名鼎鼎的贝尔实验室

众所周知,贝尔实验室是20世纪最伟大的实验室之一。这家实验室拥有15位诺贝尔奖科学家,4位图灵奖获得者,超过3万件专利作品。晶体管、通信卫星、数字交换机、太阳能电池、信息论、C和C++语言、UNIX操作系统等闻名世界的发明创造皆诞生于此。

跻身于这样一家星光熠熠的实验室,同他那些优秀的同事们一样,Nyquist在通信和控制领域也拥有无人撼动的地位。

作为一名电子工程师,Nyquist在热噪声、反馈放大器的稳定性、电报、传真、电视和其他重要通信领域做出了巨大贡献。

早在1918年,Nyquist就开始研究如何让图片通过电话电路传输。

1924年,他与 Herbert E. Ives一起开发了 AT&T 的第一台传真机,虽然很粗糙,但却和今天的传真机应用了一样的原理:通过扫描和光电变换技术,把照片等静止图像转换成电信号,传送到接收端,存储在类似照片底片的文件上,最后再在暗房中使照片显影。第一批被传送的图片从纽约发送到克利夫兰,每张图片用了7分钟才传送到。

同年,他发表了一篇名为_Certain Factors Affecting Telegraph Speed_(影响电报速度的某些因素)的论文,其中分析了电报系统的速度与系统中信号值数量之间的关系。

1927年,他扩展了John Bertrand Johnson在热噪声方面的工作,并用数学解释了这一现象,所以热噪声也被称为约翰逊–奈奎斯特噪声。

Herbert E. Ives,美国科学家,在AT&T时领导了传真和电视系统的开发。

John Bertrand Johnson,美国电气工程师,物理学家。他最先解释了信息传输中随机干扰的根本来源。

热噪声:由导体内自由电子的热震动引起,存在于所有电子器件和传输运动中。

1932 年,Nyquist发表了一篇关于反馈放大器稳定性的经典论文。他在论文中提出的奈奎斯特稳定判据成为了控制论的奠基理论。这也是他最重要的成就之一。二战期间,奈奎斯特稳定判据在控制使用机电反馈系统的火炮时起到了很大作用。

除了奈奎斯特稳定判据,以奈奎斯特命名的名词还有奈奎斯特频率奈奎斯特率奈奎斯特图奈奎斯特准则等。

Nyquist的工作为现代信息论的诞生奠定了基础。

1924年,在_Bell System Technical Journal_的一篇论文中,奈奎斯特首先将电报员传送的情报称为“信息”(information)。他认为有两个因素决定了情报传输的最大速度:一个是信号的形状(方波要优于正弦波),另一个是对于情报的不同编码方式。Nyquist最终确定情报传输的最大速度与需要表示的符号数量的对数成正比。

Nyquist在通信方面的工作对其他工程师产生了深远影响,尤其是他在贝尔实验室的同事、信息论之父——香农(Claude Elwood Shannon)。在香农1948年发表的那篇著名论文《通信的数学理论》中,第一段就引用了Nyquist 1924年和1928年的论文。

 图片

香农

1928年,Nyquist发表了人生中最重要的论_文Certain Topics In Telegraph Transmission Theory_(电报传输理论中的某些主题)。论文中,他完善了自己早期关于提升传输速度方面的工作内容。除此之外,更重要的是,这篇论文聚焦在Nyquist关于数据传输的带宽要求以及模数转换基础知识的理论工作上,这些理论为奈奎斯特采样定理的出现埋下了伏笔。

 奈奎斯特采样定理

奈奎斯特采样定理是指:为了不失真地恢复模拟信号,采样频率应该大于等于模拟信号频谱中最高频率的2倍。即:

Fs2Fmax

在1928年发表的论文中,Nyquist指出带宽为B的传输系统可以传送高达2B的脉冲样本,但他并没有明确考虑模拟信号的采样和重建问题。大约在同一时间,德国电气工程师Karl Küpfmüller也给出了相似的结果,并探讨了带限滤波器的脉冲响应函数。

但这些工作还并不能算作采样定理的来源。

第一位用公式证明采样定理并将它应用到实际通信工程问题的人是苏联的V. A. Kotelnikov(科捷利尼科夫,苏联无线电物理学家、信息论先驱),他于1933年发表了这一成果。同样证明了采样定理的还有英国数学家E. T. Whittaker(1915),英国数学家J. M. Whittaker(1935),诺贝尔物理学奖得主、匈牙利物理学家Dennis Gabor(1946)。

1948年和1949年,香农发表了两篇开创性的论文:《噪声下的通信》和《通信的数学理论》。这两篇论文成为了信息论的奠基性著作。

为了解决计算机处理模拟信号的问题,香农提出了采样定理,并发表在《通信的数学理论》中。

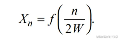
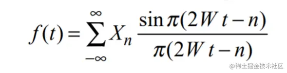
论文中的定理13表示了采样定理:

图片

其中,图片

这两篇论文的发表使采样定理成为了通信领域的宝贵财富,从此,采样定理也被称为香农采样定理(现在也被称为奈奎斯特-香农采样定理)。

但香农本人并没有将这一切归为自己的功劳:

他在《噪声下的通信》中写道:

“This is a fact which is common knowledge in the communication art.”

这是通信领域的常识。

同时还写道:

“but in spite of its evident importance, it seems not to have appeared explicitly in the literature of communication theory.”

 虽然采样定理的重要性显而易见,但它似乎还没有明确地出现在通信理论的著作中。

为什么奈奎斯特的名字会出现在采样定理前面?

奈奎斯特采样定理最早可以追溯到贝尔实验室1959年出版的一本书里。但早在1954年,它就被称为香农采样定理,而在20世纪50年代初期,它还只是被称为采样定理。

所以准确地说,奈奎斯特的名字为什么会出现在采样定理之前,到现在还是一个谜

 荣誉加身

1960年,Nyquist因为“对热噪声、数据传输和负反馈领域所做出的重要贡献”而获得IEEE荣誉奖章(IEEE Medal of Honor)。该奖章是国际电子电气工程学会的最高荣誉,也是世界电气电子工程学界的最高奖励,每年仅授予一人。

同年10月,Nyquist荣获富兰克林研究所颁发的斯图尔特·巴兰坦奖章(Stuart Ballantine Medal),以表彰他过去40年在通信领域的理论分析和实践发明(尤其是他在电报传输、热噪声和反馈系统方面的理论工作)。

1969年,Nyquist因在工程领域的重大贡献成为美国工程院创始人奖章的第四位获得者。

1975年,Nyquist和Hendrik Bod一起获得了由美国机械工程师学会授予的Rufus Oldenburger Medal。

Hendrik Bode, 美籍荷兰人,贝尔实验室的应用数学家、现代控制理论与电子通信先驱。

晚年生活

连续工作37年,在贝尔实验室退休以后,Nyquist并没有离开他热爱的通信事业,他成为一名兼职顾问,为国防部和一些电子公司提供专业的通信知识。

1976年4月4日,Nyquist病逝于德克萨斯的家中,享年87岁。

References:

en.wikipedia.org/wiki/Harry\…

www.hit.bme.hu/~papay/edu/…

en.wikipedia.org/wiki/Nyquis…

ieeexplore.ieee.org/stamp/stamp…

www.electronicdesign.com/technologie…


LiveVideoStackCon2021北京站正在火热报名中!

图片

详情请扫描图中__二维码__或点击__阅读原文__了解大会更多信息。

本文使用 文章同步助手 同步