Python题目辅导-题目及其题目

1,664 阅读15分钟

你好,我是悦创。这篇是我私教学员的,答疑题目,题目难度非常简单,有兴趣的可以看看。

题目范围

作业 7:

image.png

6-2 编写函数计算一个或不特定多个数的乘积(高教社,《Python编程基础及应用》习题8-6) (4分)

1、函数接口定义:

def caculate(*t)

打 * 号的参数 t 接受多个参数成员,参数成员预期为整数或浮点数类型。 知识点讲解 Linke:www.aiyc.top/126.html

*args 的用法

*args**kwargs 主要用于函数定义。 你可以将不定数量的参数传递给一个函数。 这里的不定的意思是:预先并不知道,函数使用者会传递多少个参数给你,所以在这个场景下使用这两个关键字。 *args 是用来发送一个非键值对的可变数量的参数列表给一个函数。 这里有个例子帮你理解这个概念:

def test_var_args(*args):
    print(args)
    print(type(args))

test_var_args('yasoob', 'python', 'eggs', 'test')

# 输出
('yasoob', 'python', 'eggs', 'test')
<class 'tuple'>

我们可以发现,拿到的数据的数据类型是元组(tuple)

def test_var_args(f_arg, *argv):
    print("first normal arg:", f_arg)
    for arg in argv:
        print("another arg through *argv:", arg)

test_var_args('yasoob', 'python', 'eggs', 'test')

# 输出
first normal arg: yasoob
another arg through *argv: python
another arg through *argv: eggs
another arg through *argv: test

*args:可以自行换成别的名称,不过我们约定俗成写成:args

我希望这解决了你所有的困惑. 那接下来让我们谈谈 **kwargs

**kwargs 的用法

**kwargs 允许你将不定长度的键值对, 作为参数传递给一个函数。 如果你想要在一个函数里处理带名字的参数, 你应该使用**kwargs

def greet_me(**kwargs):
    print(kwargs)
    print(type(kwargs))
    for key, value in kwargs.items():
        print("{0} == {1}".format(key, value))
        # print("{1} == {0}".format(key, value)) # 第二个主要用来让同学们了解 format

greet_me(name="yasoob", gzh='aiyuechuang', the_public='AI悦创')

# 输出
{'name': 'yasoob', 'gzh': 'aiyuechuang', 'the_public': 'AI悦创'}
<class 'dict'>
name == yasoob
gzh == aiyuechuang
the_public == AI悦创

现在你可以看出我们怎样在一个函数里, 处理了一个键值对参数了。 这就是 **kwargs 的基础, 而且你可以看出它有多么管用。 接下来让我们谈谈,你怎样使用 *args**kwargs 来调用一个参数为列表或者字典的函数。

使用 *args**kwargs 来调用函数

那现在我们将看到怎样使用*args**kwargs 来调用一个函数。 假设,你有这样一个小函数:

def test_args_kwargs(arg1, arg2, arg3):
    print("arg1:", arg1)
    print("arg2:", arg2)
    print("arg3:", arg3)

可以联想如果参数很多的话,这样就代码就不是非常的简洁。你可以使用 *args**kwargs 来给这个小函数传递参数。 下面是怎样做:

# 首先使用 *args
>>> args = ("two", 3, 5)
>>> test_args_kwargs(*args)
arg1: two
arg2: 3
arg3: 5

# 现在使用 **kwargs:
>>> kwargs = {"arg3": 3, "arg2": "two", "arg1": 5}
>>> test_args_kwargs(**kwargs)
arg1: 5
arg2: two
arg3: 3

标准参数与 *args、**kwargs 在使用时的顺序

那么如果你想在函数里同时使用所有这三种参数, 顺序是这样的:

some_func(fargs, *args, **kwargs)

什么时候使用它们?

这还真的要看你的需求而定。 最常见的用例是在写函数装饰器的时候。 此外它也可以用来做猴子补丁(monkey patching)。猴子补丁的意思是在程序运行时(runtime)修改某些代码。 打个比方,你有一个类,里面有个叫 get_info 的函数会调用一个 API 并返回相应的数据。如果我们想测试它,可以把 API 调用替换成一些测试数据。例如:

import someclass

def get_info(self, *args):
    return "Test data"

someclass.get_info = get_info

我敢肯定你也可以想象到一些其他的用例。

2、裁判测试程序样例:

s = input().split()            #接受输入字符串并按空格分拆,存入列表,列表成员为字符串类型
t = [float(x) for x in s]    #使用列表推导将列表s中的成员全部转换成浮点数,存入另一个列表t
print("%.4f" % caculate(*t))

3、输入样例:

3 2 1

4、输出样例:

6.0000

5、Coder

def caculate(*t):
    product = 1
    for value in t:
        product *= value
    return product

6-3 打印指定范围内的全部回文素数(高教社,《Python编程基础及应用》习题8-7) (6分)

知识点: 回文素数是指一个数既是素数又是回文数,例如 131 既是素数又是回文数。 请实现下述两个函数,帮助测试程序完成如下功能:从键盘输入正整数 N, 打印从 1 ~ N (包含 N )的全部回文素数,一行一个。

回文素数是指,对一个整数 n(n≥11)从左向右从右向左读:其结果值相同且是素数「质数」,即称 n 为回文素数。「1、实现方法」

除了 11,偶数位的数不存在回文质数。4位,6位,8位……数不存在回文质数。因为四位及四位以上的偶数位的回文数都可以被 11 整除,故不存在偶数位的回文质数。「2、判断输入数的位数」 最初几个回文素数:11,101,131,151,181,191,313,353,373,383,727,757,787,797,919,929……两位回文素数1个,三位回文素数15个,五位回文素数93个,七位回文素数668个,九位回文素数 5172个。

1、函数接口定义:

def isPrime(num):
    
def reverseNumber(num):
    

isPrime() 用于判断整数 num 是否是素数,是返回 True , 否则返回 False。 reverseNumber() 用于返回整数 num 的反向数,321 的反向数为 123, 320 的反向数为 23。

2、裁判测试程序样例:

N = int(input()) # 获取数字并转为整数,并且这个 N 是一个范围
for n in range(1, N+1): # range 是左闭右开,不会提取到结尾的那个数所以需要 + 1,然后以这个范围做循环。
    if isPrime(n) and reverseNumber(n) == n:
        print(n)

3、输入样例:

400

4、输出样例:

2
3
5
7
11
101
131
151
181
191
313
353
373
383

5、Coder

1、质数的判断方法:

一个大于1的自然数,除了1和它本身外,不能被其他自然数(质数)整除(2, 3, 5, 7等),换句话说就是该数除了1和它本身以外不再有其他的因数。 方法一:

# 用户输入数字
num = int(input("请输入一个数字: "))
 
# 质数大于 1
if num > 1:
   # 查看因子
   for i in range(2, num):
       if (num % i) == 0: # 肯定是除于比 num 小的数来检测是否能被整除
           print(num,"不是质数")
           print(i, "乘于", num//i, "是", num) # 如果能被整除那直接用 // 也是可以的。
           break
   else:
       print(num, "是质数")
       
# 如果输入的数字小于或等于 1,不是质数
else:
   print(num, "不是质数")

方法二:

from math import sqrt
def is_prime(n):
    if n == 1:
        return False
    for i in range(2, int(sqrt(n))+1):
        if n % i == 0:
            return False
    return True

**方法三:

def isPrime(num):
    if num == 1:
        return 0
    elif num == 2:
        return 2
    else :
        from math import sqrt
        active = True
        for i in range(2, int(sqrt(num))+1):
            if num % i == 0:
                active = False
        if active:
            return num
        else:
            return 0

2、整数反转

解题思路: 首先我们想一下,怎么去反转一个整数?——用栈? 或者把整数变成字符串,再去反转这个字符串? 这两种方式是可以,但并不好。实际上我们只要能拿到这个整数的末尾数字就可以了。 以 12345 为例,先拿到 5,再拿到 4,之后是 3,2,1,我们按这样的顺序就可以反向拼接处一个数字了,也就能达到 反转 的效果。 怎么拿末尾数字呢?好办,用取模运算就可以了。「取余运算即可」 image.png

1、将 12345 % 10 得到 5,之后将12345 / 10 2、将1234 % 10 得到4,再将1234 / 10 3、将123 % 10 得到3,再将123 / 10 4、将12 % 10 得到2,再将12 / 10 5、将1 % 10 得到1,再将1 / 10

这么看起来,一个循环就搞定了,循环的判断条件是 x>0 但这样不对,因为忽略了 负数 循环的判断条件应该是 while(x!=0),无论正数还是负数,按照上面不断的 /10 这样的操作,最后都会变成0,所以判断终止条件就是 !=0 有了取模和除法操作,对于像 12300 这样的数字,也可以完美的解决掉了。


看起来这道题就这么解决了:

def reverseNumber(num):
	res = 0
	while (num != 0):
		tmp = num % 10
		res = res * 10 + tmp
		num = int(num / 10)
	return res


if __name__ == '__main__':
	print(reverseNumber(3456))

6-4 整数数位和(高教社,《Python编程基础及应用》习题8-3) (4分)

编写一个函数,该函数接受一个正整数作为参数,返回该整数的各位数字之和。

1、函数接口定义:

def digitSum(v)

v 为输入整数(正整数); 函数返回一个整数,其值为 v 的各位数字之和。

2、裁判测试程序样例:

a = int(input())
print(digitSum(a))

3、输入样例:

291

4、输出样例:

12

5、Coder

def digitSum(a):
	num_list = list(str(a))
	tmp = 0
	for i in num_list:
		# tmp = tmp + int(i)
		tmp += int(i)
	return tmp
def digitSum(v):
    num_list = list(str(v))
    a = 0
    for i in range(0,len(num_list)):
        a += int(num_list[i])
    return a

题目已经给定了这个数字,如果是在实际的开发当中,是需要对输入的数字是不是纯数字进行判断的。

6-5 编写函数计算f(i) = 1/2 + 2/3 + 3/4 + ... + i/(i+1) (高教社,《Python编程基础及应用》习题8-4) (4分)

image.png 编写函数计算f(i) = 1/2 + 2/3 + 3/4 + ... + i/(i+1) 。

1、函数接口定义:

def f(i):

i 为正整数,返回结果浮点数。

2、裁判测试程序样例:

v=int(input())
print("%.4f" % f(v))

3、输入样例:

5

4、输出样例:

3.5500

5、Coder

def f(i) :
    result = 0
    for x in range(i+1):
        current_num = x / (x + 1)
        result += current_num
    return result

作业 8:

image.png

6-1 定义并实现身体质量指数类(高教社,《Python编程基础及应用》习题9-3) (4分)

按图施工,设计下述 BMI 「**Body Mass Index」**类,用于计算身体质量指数。该指数等于体重(kg) 除以身高 (米) 的平方。 image.png 相应的判定标准如下图所示。 image.png

1、BMI 类接口定义:

class BMI:
    ...

其中,name 为姓名,age 为年龄,height 为身高,单位为米,weight 为体重,单位为 kg。 getBMI() 函数返应计算所得的身体质量指数; getStatus() 返回评价结果,其值应为超轻/标准/超重/肥胖之一。

2、裁判测试程序样例:

>>>x = 7
>>> eval( '3 * x' )
21
>>> eval('pow(2,2)')
4
>>> eval('2 + 2')
4
>>> n=81
>>> eval("n + 4")
85
sName = input()  #输入姓名
iAge = int(input()) #输入年龄
fHeight = eval(input())  #输入身高,预期为浮点数,单位米
fWeight = eval(input())  #输入体重,预期为浮点数,单位千克
bmi=BMI(sName,iAge,fHeight,fWeight) #实例化BMI类
print("Name:",bmi.name)
print("Age:",bmi.age)
print("BMI = %.3f" % bmi.getBMI())
print("Result =",bmi.getStatus())

3、输入样例:

Alex
27
1.75
68

4、输出样例:

Name: Alex
Age: 27
BMI = 22.204
Result = 标准

5、Coder

class BMI:
    def __init__(self,sName,iAge,fHeight,fWeight):
        self.name=sName
        self.age=iAge
        self.height=fHeight
        self.weight=fWeight
    def getStatus(self):
        m=fWeight/(fHeight**2)
        if m<18:
            return ("超轻")
        elif m>=18 and m<25:
            return ("标准")
        elif m>=25 and m<27:
            return ("超重")
        else:
            return ("肥胖")
    def getBMI(self):
        n=fWeight/(fHeight**2)
        return n

6-2 定义并实现 Book 类及其__del__函数(高教社,《Python编程基础及应用》习题9-4) (3分)

图书馆里有很多的书, 请定义一个名为 Book 的类。 该类的属性包括书名(字符串),书号(字符串),单价(浮点数); 该类的构造函数接受书名,书号及单价三个参数并参成对象初始化; 该类的 del() 函数则向终端打印如下信息:Book destroyed-书名,书号,单价 注意:单价保留两位小数。

1、类接口定义:

class Book:
    ...

2、裁判测试程序样例:

sName = input()  #输入书名
sNo = input() #输入书号
fPrice = float(input())   #输入单价
b = Book(sName,sNo,fPrice)
b = None   #触发b对象的__del__方法的执行

3、输入样例:

Python编程基础及应用
888-999
43.678

4、输出样例:

Book destroyed-Python编程基础及应用,888-999,43.68

5、Coder

class Book:
    def __init__(self,name,No,price):
        self.sName=name
        self.sNo=No
        self.fPrice=price
    def name(self):
        return self.sName
    def number(self):
        return self.sNo
    def price(self):
        return self.fPrice
    def __del__(self):
        print("Book destroyed-%s,%s,%.2f" %(self.sName,self.sNo,self.fPrice))

创建对象后,python 解释器默认调用__init__()方法。当删除一个对象时,python解释器也会默认调用一个方法,这个方法为__del__()方法。在python中,对于开发者来说很少会直接销毁对象(如果需要,应该使用del关键字销毁)。Python的内存管理机制能够很好的胜任这份工作。也就是说,不管是手动调用del还是由python自动回收都会触发__del__方法执行:

import time


class Animal(object):
	# 初始化方法
	# 创建完对象后会自动被调用
	def __init__(self, name):
		print('__init__方法被调用')
		self.__name = name
	
	# 析构方法
	# 当对象被删除时,会自动被调用
	def __del__(self):
		print("__del__方法被调用")
		print("%s对象马上被干掉了..." % self.__name)


# 创建对象
dog = Animal("哈皮狗")

# 删除对象
del dog
cat = Animal("波斯猫")
cat2 = cat
cat3 = cat
print("---马上 删除cat对象")
del cat
print("---马上 删除cat2对象")
del cat2
print("---马上 删除cat3对象")
del cat3
print("程序2秒钟后结束")
time.sleep(2)

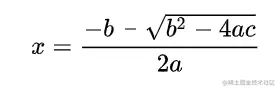
6-3 设计一元二次方程求解类(高教社,《Python编程基础及应用》习题9-4) (4分)

设计一个类 Root 来计算 ax+bx+c=0 的根。 该类包括:a、b、c 共 3 个属性表示方程的 3 个系数,getDiscriminant() 方法返回 b-4ac getRoot1() 和 getRoot2() 返回方程的两个根。 其中,getRoot1()返回的根对应:image.png getRoot2()返回的根对应: image.png

1、类接口定义:

class Root:
    def __init__(self,a,b,c):
        ...

2、裁判测试程序样例:

a=float(input()) #请输入二次项系数
b=float(input()) #请输入一次项系数
c=float(input()) #请输入常数项系数

root=Root(a,b,c)
if root.getDiscriminant()>0:
    print("{:.2f}".format(root.getRoot1()))
    print("{:.2f}".format(root.getRoot2()))
elif root.getDiscriminant()==0:
    print("{:.2f}".format(root.getRoot1()))
else:
    print("No Root!")

3、输入样例:

2.1
10.2
3.0

4、输出样例:

-0.31
-4.54

5、Coder

from math import sqrt


class Root:
	def __init__(self, a, b, c):
		self.two = a
		self.one = b
		self.cs = c
	
	def getDiscriminant(self):
		return b ** 2 - 4 * a * c
	
	def getRoot1(self):
		m = b ** 2 - 4 * a * c
		n = b * (-1) + sqrt(m)
		return n / (2 * a)
	
	def getRoot2(self):
		m = b ** 2 - 4 * a * c
		n = b * (-1) - sqrt(m)
		return n / (2 * a)

6-4 设计一个股票类(高教社,《Python编程基础及应用》习题9-6) (4分)

设计一个名为 Stock 的类来表示一个公司的股票,包括以下内容: 1)股票代码、股票名称、前一天股票价格、当天股票价格4个私有属性; 2)构造方法,需初始化代码、名称、前一天价格和当天价格等属性; 3)返回股票名字的 get 方法; 4)返回股票代码的 get 方法; 5)获取和设置股票前一天价格的get和set方法; 6)获取和设置股票当前价格的get和set方法; 7)名为getChangePercent()方法,返回前日收市价至当前价格的变化百分比; 8). 包括文档字符串,其内容为:"Stock Information Class" 说明:各方法的名称及参数要求请参见测试程序。

1、类接口定义:

class Stock:
    ...

2、裁判测试程序样例:

# 股票代码、股票名称、前一天股票价格、当天股票价格 4 个私有属性;
sCode = input() #输入股票代码
sName = input() #输入股票名称
priceYesterday = float(input())  #输入前一天股票价格
priceToday = float(input())  #输入今日股票价格

# 类:Stock
s = Stock(sCode,sName,priceYesterday,priceToday) # 初始化代码

print("代码:", s.getCode())
print("名称:", s.getName())
print("昨日价格:%.2f\n今天价格:%.2f" % (s.getPriceYesterday(),s.getPriceToday()))
s.setPriceYesterday(50.25)
print("修正昨日价格为:%.2f" % 50.25)
print("价格变化百分比:%.2f%%" % (s.getChangePercent()*100))
print(Stock.__doc__)

3、输入样例:

601318
中国平安
63.21
64.39

4、输出样例:

代码: 601318
名称: 中国平安
昨日价格:63.21
今天价格:64.39
修正昨日价格为:50.25
价格变化百分比:28.14%
Stock Information Class

5、Coder

class Stock:
	'''Stock Information Class'''
	
	def __init__(self, sCode, sName, priceYesterday, priceToday):
		self.sCode = sCode
		self.sName = sName
		self.priceYesterday = priceYesterday
		self.priceToday = priceToday
	
	def getCode(self):
		return self.sCode
	
	def getName(self):
		return self.sName
	
	def getPriceYesterday(self):
		return self.priceYesterday
	
	def getPriceToday(self):
		return self.priceToday
	
	def setPriceYesterday(self, new):
		self.priceYesterday = new
	
	def setPriceToday(self, new):
		self.priceToday = new
	
	def getChangePercent(self):
		return (self.priceToday - self.priceYesterday) / self.priceYesterday

6-5 设计Shape基类及Circle, Rectangle继承类(高教社,《Python编程基础及应用》习题9-7) (5分)

设计一个基类 Shape,包括:

  1. 名为 sName 的属性(图形名称);

  2. 构造函数应对 sName 属性进行初始化。

设计 Shape 的继承类 Rectangle , 包括:

  1. 长,宽两个属性;

  2. 构造函数调用 Shape 的构造函数,并初始化长,宽两个属性;

  3. getArea() 成员函数计算并返回矩形面积。

设计 Shape 的继承类 Circle, 包括:

  1. 半径属性;

  2. 构造函数调用 Shape 的构造函数,并初始化半径属性;

  3. getArea() 成员函数计算并返回圆形面积。

注意:请注意阅读测试样例程序以理解题目对类的接口的要求。

1、类接口定义:

class Shape:
       ...

class Rectangle(Shape):
     ...

class Circle(Shape):
    ...

2、裁判测试程序样例:

s1 = Shape("shape0")
s = input()  #矩形名称
w = float(input()) #矩形宽度
h = float(input()) #矩形高度
r1 = Rectangle(s,w,h)
s = input()  #圆的名称
r = float(input()) #圆的半径
c1 = Circle(s,r)

print(s1.sName)
print("矩形%s面积: %.2f" % (r1.sName,r1.getArea()))
print("圆形%s面积: %.2f" % (c1.sName,c1.getArea()))

3、输入样例:

Jupyter
12.1
9.9
Moon
3.3

4、输出样例:

shape0
矩形Jupyter面积: 119.79
圆形Moon面积: 34.21

5、Coder

from math import pi


# 设计一个基类Shape,包括:
class Shape:
	def __init__(self, sName=""):
		# 名为 sName 的属性(图形名称);
		# 构造函数应对 sName 属性进行初始化。
		self.sName = sName


# 设计 Shape 的继承类 Rectangle , 包括:
class Rectangle(Shape):
	# 长,宽两个属性;
	# 构造函数调用 Shape 的构造函数,并初始化长,宽两个属性;
	def __init__(self, sName='', h=0.0, w=0.0):
		Shape.__init__(self, sName="")
		self.h = h
		self.w = h
		self.sName = sName
	
	# getArea() 成员函数计算并返回矩形面积。
	def getArea(self):
		return h * w

# 设计 Shape 的继承类 Circle ,包括:
class Circle(Rectangle):
	# 半径属性;
	# 构造函数调用 Shape 的构造函数,并初始化半径属性;
	def __init__(self, sName='', r=0.0):
		Shape.__init__(self, sName="")
		self.r = r
		self.sName = sName
	# getArea()成员函数计算并返回圆形面积。
	def getArea(self):
		area = pi * r ** 2
		return area

6-6 设计学生类,使用类对象属性来记录学生对象的数量

设计一个名为 Student 的学生类:

  1. 使用名为 count 的类对象属性来记录 Student 对象的个数;

  2. 构造函数中初始化学号及姓名两个属性,并对 count 属性加 1;

  3. 析构函数(del)中对类对象属性 count 减1。 说明:请阅读测试样例程序来理解题目对类的接口要求。

1、类接口定义:

class Student
      ....

2、裁判测试程序样例:

n = int(input())  #输入学生数量,数量大于1
s = []
for i in range(n):
    s.append(Student("Code"+str(i),"Name"+str(i)))
del s[0]  #删除一个学生,导致count减1
print("学生数量:",Student.count)
for x in s:
    print(x.code,x.name)

3、输入样例:

3

4、输出样例:

学生数量: 2
Code1 Name1
Code2 Name2

5、Coder

# 设计一个名为 Student 的学生类:
class Student:
	# 使用名为 count 的类对象属性来记录 Student 对象的个数;
	count = 0
	
	def __init__(self, scode, sname):
		# 造函数中初始化学号及姓名两个属性,并对 count 属性加 1;
		self.code = scode
		self.name = sname
		Student.count += 1
	
	# 析构函数(__del__)中对类对象属性 count 减1。
	def __del__(self):
		Student.count = Student.count - 1

6-7 设计计数集合类,记录各元素加入集合的次数

从 set 类型继承,并设计一个名为 CountedSet 的子类型。通过重载 set 类型的某些函数,使得 CountedSet 对象 可以统计并记录各个元素被放入集合的总次数。请通过裁判测试程序了解该类的接口。

1、类接口定义:

class CountedSet(set):
      ...

2、裁判测试程序样例:

s = CountedSet()
while True:      #用q表示输入结束
    v = input()  #输入一个字符串
    if (v!="q"):
        s.add(v)
    else:
        break
#将集合转换成列表,排序递增输出
t = sorted(list(s))
print("元素值 次数")
for x in t:
    print(x,"-",s.getCount(x))
print("集合内元素个数:",len(s))

3、输入样例:

a
b
a
q

4、输出样例:

在这里给出相应的输出。例如:

元素值 次数
a - 2
b - 1
集合内元素个数: 2

5、Coder

class CountedSet(set):
	def __init__(self):
		set.__init__(self)
		self.jishu = {}
	
	def add(self, x):
		set.add(self, x)
		self.jishu[x] = self.jishu.get(x, 0) + 1
	
	def getCount(self, x):
		return self.jishu[x]

image.png

image.png