【图像检测】基于形态学实现水果质量检测分级系统matlab源码

214 阅读8分钟

一    引言
数学形态学是一门建立在集论基础上的学科,是几何形态学分析和描述的有力工具。数学形态学的历史可回溯到19世纪。1964年法国的Matheron和Serra在积分几何的研究成果上,将数学形态学引入图像处理领域,并研制了基于数学形态学的图像处理系统。1982年出版的专著《Image Analysis and Mathematical Morphology》是数学形态学发展的重要里程碑,表明数学形态学在理论上趋于完备及应用上不断深入。数学形态学蓬勃发展,由于其并行快速,易于硬件实现,已引起了人们的广泛关注。目前,数学形态学已在计算机视觉、信号处理与图像分析、模式识别、计算方法与数据处理等方面得到了极为广泛的应用。
数学形态学可以用来解决抑制噪声、特征提取、边缘检测、图像分割、形状识别、纹理分析、图像恢复与重建、图像压缩等图像处理问题。该文将主要对数学形态学的基本理论及其在图像处理中的应用进行综述。

二    数学形态学的定义和分类
数学形态学是以形态结构元素为基础对图像进行分析的数学工具。它的基本思想是用具有一定形态的结构元素去度量和提取图像中的对应形状以达到对图像分析和识别的目的。数学形态学的应用可以简化图像数据,保持它们基本的形状特征,并除去不相干的结构。数学形态学的基本运算有4个:膨胀、腐蚀、开启和闭合。它们在二值图像中和灰度图像中各有特点。基于这些基本运算还可以推导和组合成各种数学形态学实用算法。

(1)二值形态学
数学形态学中二值图像的形态变换是一种针对集合的处理过程。其形态算子的实质是表达物体或形状的集合与结构元素间的相互作用,结构元素的形状就决定了这种运算所提取的信号的形状信息。形态学图像处理是在图像中移动一个结构元素,然后将结构元素与下面的二值图像进行交、并等集合运算。
基本的形态运算是腐蚀和膨胀。
在形态学中,结构元素是最重要最基本的概念。结构元素在形态变换中的作用相当于信号处理中的“滤波窗口”。用B(x)代表结构元素,对工作空间E中的每一点x,腐蚀和膨胀的定义为:

用B(x)对E进行腐蚀的结果就是把结构元素B平移后使B包含于E的所有点构成的集合。用B(x)对E进行膨胀的结果就是把结构元素B平移后使B与E的交集非空的点构成的集合。先腐蚀后膨胀的过程称为开运算。它具有消除细小物体,在纤细处分离物体和平滑较大物体边界的作用。先膨胀后腐蚀的过程称为闭运算。它具有填充物体内细小空洞,连接邻近物体和平滑边界的作用。
可见,二值形态膨胀与腐蚀可转化为集合的逻辑运算,算法简单,适于并行处理,且易于硬件实现,适于对二值图像进行图像分割、细化、抽取骨架、边缘提取、形状分析。但是,在不同的应用场合,结构元素的选择及其相应的处理算法是不一样的,对不同的目标图像需设计不同的结构元素和不同的处理算法。结构元素的大小、形状选择合适与否,将直接影响图像的形态运算结果。因此,很多学者结合自己的应用实际,提出了一系列的改进算法。如梁勇提出的用多方位形态学结构元素进行边缘检测算法既具有较好的边缘定位能力,又具有很好的噪声平滑能力。许超提出的以最短线段结构元素构造准圆结构元素或序列结构元素生成准圆结构元素相结合的设计方法,用于骨架的提取,可大大减少形态运算的计算量,并可同时满足尺度、平移及旋转相容性,适于对形状进行分析和描述。

(2)灰度数学形态学
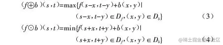
二值数学形态学可方便地推广到灰度图像空间。只是灰度数学形态学的运算对象不是集合,而是图像函数。以下设f(x,y)是输入图像,b(x,y)是结构元素。用结构元素b对输入图像y进行膨胀和腐蚀运算分别定义为:

对灰度图像的膨胀(或腐蚀)操作有两类效果:
(1)如果结构元素的值都为正的,则输出图像会比输入图像亮(或暗);
(2)根据输入图像中暗(或亮)细节的灰度值以及它们的形状相对于结构元素的关系,它们在运算中或被消减或被除掉。灰度数学形态学中开启和闭合运算的定义与在二值数学形态学中的定义一致。用b对f进行开启和闭合运算的定义为:

(3)模糊数学形态学
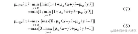
将模糊集合理论用于数学形态学就形成了模糊形态学。模糊算子的定义不同,相应的模糊形态运算的定义也不相同。在此,选用Shinba的定义方法。模糊性由结构元素对原图像的适应程度来确定。用有界支撑的模糊结构元素对模糊图像的腐蚀和膨胀运算按它们的隶属函数定义为:

 

其中,x,y∈Z2代表空间坐标,ua,ub分别代表图像和结构元素的隶属函数。从(7),(8)式的结果可知,经模糊形态腐蚀膨胀运算后的隶属函数均落在[0,1]的区间内。模糊形态学是传统数学形态学从二值逻辑向模糊逻辑的推广,与传统数学形态学有相似的计算结果和相似的代数特性。模糊形态学重点研究n维空间目标物体的形状特征和形态变换,主要应用于图像处理领域,如模糊增强、模糊边缘检测、模糊分割等。

 

 

function varargout = appletest(varargin)
% APPLETEST MATLAB code for appletest.fig
%      APPLETEST, by itself, creates a new APPLETEST or raises the existing
%      singleton*.
%
%      H = APPLETEST returns the handle to a new APPLETEST or the handle to
%      the existing singleton*.
%
%      APPLETEST('CALLBACK',hObject,eventData,handles,...) calls the local
%      function named CALLBACK in APPLETEST.M with the given input arguments.
%
%      APPLETEST('Property','Value',...) creates a new APPLETEST or raises the
%      existing singleton*.  Starting from the left, property value pairs are
%      applied to the GUI before appletest_OpeningFcn gets called.  An
%      unrecognized property name or invalid value makes property application
%      stop.  All inputs are passed to appletest_OpeningFcn via varargin.
%
%      *See GUI Options on GUIDE's Tools menu.  Choose "GUI allows only one
%      instance to run (singleton)".
%
% See also: GUIDE, GUIDATA, GUIHANDLES

% Edit the above text to modify the response to help appletest

% Last Modified by GUIDE v2.5 17-May-2021 23:40:39

% Begin initialization code - DO NOT EDIT
gui_Singleton = 1;
gui_State = struct('gui_Name',       mfilename, ...
    'gui_Singleton',  gui_Singleton, ...
    'gui_OpeningFcn', @appletest_OpeningFcn, ...
    'gui_OutputFcn',  @appletest_OutputFcn, ...
    'gui_LayoutFcn',  [] , ...
    'gui_Callback',   []);
if nargin && ischar(varargin{1})
    gui_State.gui_Callback = str2func(varargin{1});
end

if nargout
    [varargout{1:nargout}] = gui_mainfcn(gui_State, varargin{:});
else
    gui_mainfcn(gui_State, varargin{:});
end
% End initialization code - DO NOT EDIT


% --- Executes just before appletest is made visible.
function appletest_OpeningFcn(hObject, eventdata, handles, varargin)
% This function has no output args, see OutputFcn.
% hObject    handle to figure
% eventdata  reserved - to be defined in a future version of MATLAB
% handles    structure with handles and user data (see GUIDATA)
% varargin   command line arguments to appletest (see VARARGIN)

% Choose default command line output for appletest
handles.output = hObject;

% Update handles structure
guidata(hObject, handles);

% UIWAIT makes appletest wait for user response (see UIRESUME)
% uiwait(handles.figure1);


% --- Outputs from this function are returned to the command line.
function varargout = appletest_OutputFcn(hObject, eventdata, handles)
% varargout  cell array for returning output args (see VARARGOUT);
% hObject    handle to figure
% eventdata  reserved - to be defined in a future version of MATLAB
% handles    structure with handles and user data (see GUIDATA)

% Get default command line output from handles structure
varargout{1} = handles.output;


% --- Executes on button press in pushbutton1.
function pushbutton1_Callback(hObject, eventdata, handles)
% hObject    handle to pushbutton1 (see GCBO)
% eventdata  reserved - to be defined in a future version of MATLAB
% handles    structure with handles and user data (see GUIDATA)
[filename,pathname]=uigetfile({'*.*';'*.bmp';'*.jpg';'*.tif';'*.jpg'},'选择图像');

image=[pathname,filename];%合成路径+文件名

im=imread(image);%读取图像

im=im2double(im);

axes(handles.axes1);

imshow(im);%在坐标axes1显示原图像

title('原始图像');

handles.X1=im;

guidata(hObject,handles);


% --- Executes on selection change in popupmenu1.
function popupmenu1_Callback(hObject, eventdata, handles)
% hObject    handle to popupmenu1 (see GCBO)
% eventdata  reserved - to be defined in a future version of MATLAB
% handles    structure with handles and user data (see GUIDATA)

% Hints: contents = cellstr(get(hObject,'String')) returns popupmenu1 contents as cell array
%        contents{get(hObject,'Value')} returns selected item from popupmenu1
Val=get(hObject,'Value')

strl=get(hObject,'string')

switch strl{Val};
    
    case '   面积'
        
        x1=handles.X1;
        w=rgb2gray(x1);
        L=medfilt2(w);
        level=graythresh(L);
        bw=im2bw(L,level);
        bw=imfill(~bw,'holes');
        axes(handles.axes2);
        imshow(bw);
        title('面积图像');
        strNC=[num2str(bwarea(bw))];
        
        set(handles.text9,'string',strNC);
        strNC1=('一级果');
        strNC2=('二级果');
        strNC3=('三级果');
        if bwarea(bw)>30000

参考文献及代码私信博主