R语言投资组合优化求解器:条件约束最优化、非线性规划求解

1,001 阅读5分钟

原文链接:tecdat.cn/?p=22853

原文出处:拓端数据部落公众号

本文将介绍R中可用于投资组合优化的不同求解器。

通用求解器

通用求解器可以处理任意的非线性优化问题,但代价可能是收敛速度慢。

默认

包stats(默认安装的基本R包)提供了几个通用的优化程序。

  • optimize()。用于区间内的一维无约束函数优化(对于一维求根,使用uniroot())。
f <- function(x) exp(-0.5*x) * sin(10*pi*x)
f(0.5)

 ``



result <- optimize(f, interval = c(0, 1), tol = 0.0001)
result

# 绘制
curve(0, 1, n = 200)

  • optim()通用优化,有六种不同的优化方法。

    • Nelder-Mead:相对稳健的方法(默认),不需要导数。
    • CG:适用于高维无约束问题的低内存优化
    • BFGS:简单的无约束的准牛顿方法
    • L-BFGS-B:用于边界约束问题的优化
    • SANN: 模拟退火法
    • Brent: 用于一维问题(实际上是调用optimize())。

这个例子做了一个最小二乘法拟合:最小化

 

# 要拟合的数据点
# 线性拟合的l2-norm误差平方 y ~ par[1] + par[2]*x
#  调用求解器(初始值为c(0, 1),默认方法为 "Nelder-Mead")。
optim(par = c(0, 1), f, data = dat)


# 绘制线性回归图

# 与R中内置的线性回归进行比较
lm(y ~ x, data = dat)

下一个例子说明了梯度的使用,著名的Rosenbrock香蕉函数:

,梯度

,无约束最小化问题

#  Rosenbrock香蕉函数及其梯度
banana <- function(x)
    c(-400 * x[1] * (x[2] - x[1] * x[1]) - 2 * (1 - x[1]),
       200 * (x[2] - x[1] * x[1]))
 optim(c(-1.2, 1), f_banana)

optim(c(-1.2, 1), f, gr, method = "BFGS")

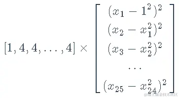
下面的例子使用了界约束。``

最小化

约束: 

p <- length(x); sum(c(1, rep(4, p-1)) * (x - c(1, x[-p])^2)^2) }
# 25维度约束
optim(rep(3, 25), f,lower = rep(2, 25), upper = rep(4

这个例子使用模拟退火法(用于全局优化)。``

#全局最小值在-15左右
res <- optim(50, f, method = "SANN")


# 现在进行局部改进(通常只改进了一小部分)
optim(res$par, f , method = "BFGS")

 

  • constrOptim()。使用自适应约束算法,在线性不等式约束下最小化一个函数(调用optim())。
#  不等式约束(ui %*% theta >= ci): x <= 0.9,  y - x > 0.1
constrOptim(c(.5, 0) 

 ``

  • nlm(): 这个函数使用牛顿式算法进行目标函数的最小化。
nlm(f, c(10,10))

``

  • nlminb(): 进行无界约束优化。.
nlminb(c(-1.2, 1), f)

nlminb(c(-1.2, 1), f, gr)

optim

基础函数optim()作为许多其他求解器的包,可以方便地使用和比较。

# opm() 可以同时使用几个方法
opm(  f , method = c("Nelder-Mead", "BFGS"))

全局优化

全局优化与局部优化的理念完全不同(全局优化求解器通常被称为随机求解器,试图避免局部最优点)。

特定类别问题的求解器

如果要解决的问题属于某一类问题,如LS、LP、MILP、QP、SOCP或SDP,那么使用该类问题的专用求解器会更好。

最小二乘法 (LS)

线性最小二乘法(LS)问题是将最小化,可能有界或线性约束。

线性规划(LP)

函数solveLP(),可以方便地解决以下形式的LP:

最小化:

约束:

#> 加载所需软件包


cvec <- c(1800, 600, 600)  # 毛利率
bvec <- c(40, 90, 2500)  # 捐赠量

# 运行求解器
solveLP(maximum = TRUE)

 

混合整数线性规划 (MILP)

lpSolve(比linprog快得多,因为它是用C语言编码的)可以解决线性混合整数问题(可能带有一些整数约束的LP)。``

 
# 设置问题: 
#   maximize      x1 + 9 x2 + x3 
#   subject to    x1 + 2 x2 + 3 x3 <= 9
#               3 x1 + 2 x2 + 2 x3 <= 15
 
# 运行求解
res <- lp("max", f, con)

 


# 再次运行,这次要求三个变量都是整数
 lp(  int.vec = 1:3)

solution

二次规划 (QP)

可以方便地解决以下形式的QP

最小化:
约束:

# 设置问题: 
#   minimize    -(0 5 0) %*% x + 1/2 x^T x
#   subject to  A^T x >= b
#   with b = (-8,2,0)^T
#       (-4 2  0)
#   A = (-3 1 -2)
#       ( 0 0  1)

#运行求解
solve(Dmat,...)

解决具有绝对值约束和目标函数中的绝对值的二次规划。

二阶锥规划 (SOCP)

有几个包:

  • ECOSolveR提供了一个与嵌入式COnic Solver(ECOS)的接口,这是一个著名的、高效的、稳健的C语言库,用于解决凸问题。
  • CLSOCP提供了一个用于解决SOCP问题的一步平滑牛顿方法的实现。

优化基础

我们已经看到了两个包,它们是许多其他求解器的包。

用于凸问题、MIP和非凸问题

ROI包为处理R中的优化问题提供了一个框架。它使用面向对象的方法来定义和解决R中的各种优化任务,这些任务可以来自不同的问题类别(例如,线性、二次、非线性规划问题)。

LP – 考虑 LP:

最大化:

``

约束:

 

#> ROI: R 优化基础设施
#> 求解器插件: nlminb, ecos, lpsolve, scs.
#> 默认求解器: auto.

 OP(objective = L_objective(c(3, 7, -12)),...,
           maximum = TRUE)

#> 投资回报率优化问题:


# 让我们来看看可用的求解器

# solve it
res <- ROI_solve(prob)
res

 ``

MILP – 考虑先前的LP,并通过添加约束条件x2,x3∈Z使其成为一个MILP.``

# 只需修改之前的问题
types(prob) <- c("C", "I", "I")
prob

 ``

BLP – 考虑二元线性规划 (BLP):

最小化:

约束:

 

 OP(objective = L_objective,..., ,
           types = rep("B", 5))
ROI_solve(prob)

#> Optimal solution found.
#> The objective value is: -1.01e+02

SOCP – 考虑SOCP:

最大化:

约束:

并注意到SOC约束  可以写成或 ,在代码中实现为:。``

 OP(objective = L_objective,...,
           maximum = TRUE)

 ``

SDP--考虑SDP:

最小化:

约束:

并注意SDP约束可以写成(大小为3是因为在我们的问题中,矩阵为2×2,但vech()提取了3个独立变量,因为矩阵是对称的)。``

OP(objective = L_objective,..., 
                                       rhs ))

NLP – 考虑非线性规划(NLP)

最大化

约束

OP(objective = F_objective,..., bounds ,
           maximum = TRUE)

 ``

凸优化

R为凸优化提供了一种面向对象的建模语言。它允许用户用自然的数学语法来制定凸优化问题,而不是大多数求解器所要求的限制性标准形式。通过使用具有已知数学特性的函数库,结合常数、变量和参数来指定目标和约束条件集。现在让我们看看几个例子。

最小二乘法 – 让我们从一个简单的LS例子开始:最小化

当然,我们可以使用R的基础线性模型拟合函数lm()。``

# 生成数据
m <- 100
n <- 10
beta_true <- c(-4:5)


# 生成数据
res <- lm(y ~ 0 + X)   # 0表示我们的模型中没有截距。

 ``

用CVXR来做``


result <- solve(prob)
str(result)

   

我们现在可以很容易地添加一个限制条件来解决非负的LS。``

Problem(Minimize(obj), constraints = list(beta >= 0))
solve(prob)

``

稳健的Huber回归 - 让我们考虑稳健回归的简单例子:

最小化

其中

sum(huber(y - X %*% beta, M)
Problem(Minimize(obj))
solve(prob)

弹性网正则化 - 我们现在要解决的问题是:最小化

# 定义正则化项
elastic<- function(beta) {
  ridge <- (1 - alpha) * sum(beta^2)
  lasso <- alpha * p_norm(beta, 1)


# 定义问题并解决它

sum((y - X %*% beta)^2) + elastic(beta, lambda, alpha)
Problem(Minimize(obj))
solve(prob)

稀疏逆协方差矩阵--考虑矩阵值的凸问题: 最大化,条件是

log_det(X) - matrix_trace(X %*% S)
list(sum(abs(X)) <= alpha)

协方差--考虑矩阵值的凸问题:在的条件下,最大化。``


constr <- list(Sigma[1,1] == 0.2, Sigma[1,2] >= 0, Sigma[1,3] >= 0,
               Sigma[2,2] == 0.1, Sigma[2,3] <= 0, Sigma[2,4] <= 0,
               Sigma[3,3] == 0.3, Sigma[3,4] >= 0, Sigma[4,4] == 0.1)

投资组合优化--考虑马科维茨投资组合设计:最大化

Problem(Maximize(obj), constr)
solve(prob)

结论

R语言中可用的求解器的数量很多。建议采取以下步骤。

  • 如果是凸优化问题,那么开始进行初步测试。
  • 如果速度不够快,使用ROI。
  • 如果仍然需要更快的速度,那么如果问题属于定义好的类别之一,则使用该类别专用的求解器(例如,对于LP,推荐使用lpSolve,对于QP则使用quadprog)。
  • 然而,如果问题不属于任何类别,那么就必须使用非线性优化的一般求解器。在这个意义上,如果一个局部的解决方案就够了,那么可以用许多求解器的包。如果需要全局求解器,那么软件包gloptim是一个不错的选择,它是许多全局求解器的包。

最受欢迎的见解

1.用R语言模拟混合制排队随机服务排队系统

2.R语言中使用排队论预测等待时间

3.R语言中实现马尔可夫链蒙特卡罗MCMC模型

4.R语言中的马尔科夫机制转换(Markov regime switching)模型

5.matlab贝叶斯隐马尔可夫hmm模型

6.用R语言模拟混合制排队随机服务排队系统

7.Python基于粒子群优化的投资组合优化

8.R语言马尔可夫转换模型研究交通伤亡人数事故预测

9.用机器学习识别不断变化的股市状况——隐马尔可夫模型的应用