应用哨兵技巧对链表进行翻转操作 | Java 刷题打卡

570 阅读1分钟

本文正在参加「Java主题月 - Java 刷题打卡」,详情查看 活动链接

题目描述

这是 LeetCode 上的 92. 反转链表 II ,难度为 中等

Tag : 「链表」

给你单链表的头指针 head 和两个整数 left 和 right ,其中 left <= right 。请你反转从位置 left 到位置 right 的链表节点,返回 反转后的链表 。

示例 1:

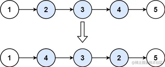
输入:head = [1,2,3,4,5], left = 2, right = 4
输出:[1,4,3,2,5]

示例 2:

输入:head = [5], left = 1, right = 1
输出:[5]

提示:

  • 链表中节点数目为 n
  • 1 <= n <= 500
  • -500 <= Node.val <= 500
  • 1 <= left <= right <= n

朴素解法

为了减少边界判断,我们可以建立一个虚拟头结点 dummy,使其指向 head,最终返回 dummy.next。

这种「哨兵」技巧能应用在所有的「链表」题目。

黄色部分的节点代表需要「翻转」的部分:

image.png

之后就是常规的模拟,步骤我写在示意图里啦 ~

image.png

代码:

class Solution {
    public ListNode reverseBetween(ListNode head, int l, int r) {
        ListNode dummy = new ListNode(0);
        dummy.next = head;

        r -= l;
        ListNode hh = dummy;
        while (l-- > 1) hh = hh.next;

        ListNode a = hh.next, b = a.next;
        while (r-- > 0) {
            ListNode tmp = b.next;
            b.next = a;
            a = b;
            b = tmp;
        }
        
        hh.next.next = b;
        hh.next = a;
        return dummy.next;
    }
}
  • 时间复杂度:O(n)O(n)
  • 空间复杂度:O(1)O(1)

最后

这是我们「刷穿 LeetCode」系列文章的第 No.92 篇,系列开始于 2021/01/01,截止于起始日 LeetCode 上共有 1916 道题目,部分是有锁题,我们将先将所有不带锁的题目刷完。

在这个系列文章里面,除了讲解解题思路以外,还会尽可能给出最为简洁的代码。如果涉及通解还会相应的代码模板。

为了方便各位同学能够电脑上进行调试和提交代码,我建立了相关的仓库:github.com/SharingSour…

在仓库地址里,你可以看到系列文章的题解链接、系列文章的相应代码、LeetCode 原题链接和其他优选题解。