经典题再升级:删除排序链表中的重复元素 | Java 刷题打卡

520 阅读2分钟

本文正在参加「Java主题月 - Java 刷题打卡」,详情查看 活动链接

题目描述

这是 LeetCode 上的 82. 删除排序链表中的重复元素 II ,难度为 中等

Tag : 「链表」

存在一个按升序排列的链表,给你这个链表的头节点 head ,请你删除链表中所有存在数字重复情况的节点,只保留原始链表中 没有重复出现 的数字。

返回同样按升序排列的结果链表。

 

示例 1:

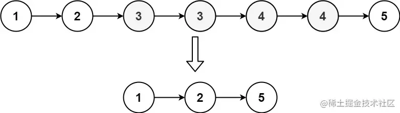
输入:head = [1,2,3,3,4,4,5]
输出:[1,2,5]

示例 2:

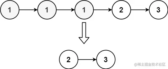
输入:head = [1,1,1,2,3]
输出:[2,3]

提示:

  • 链表中节点数目在范围 [0, 300] 内
  • -100 <= Node.val <= 100
  • 题目数据保证链表已经按升序排列

基本思路

几乎所有的链表题目,都具有相似的解题思路。

  1. 建一个「虚拟头节点」dummy 以减少边界判断,往后的答案链表会接在 dummy 后面

  2. 使用 tail 代表当前有效链表的结尾

  3. 通过原输入的 head 指针进行链表扫描

我们会确保「进入外层循环时 head 不会与上一节点相同」,因此插入时机:

  1. head 已经没有下一个节点,head 可以被插入

  2. head 有一下个节点,但是值与 head 不相同,head 可以被插入

代码:

class Solution {
    public ListNode deleteDuplicates(ListNode head) {
        ListNode dummy = new ListNode();
        ListNode tail = dummy;
        while (head != null) {
            // 进入循环时,确保了 head 不会与上一节点相同
            if (head.next == null || head.val != head.next.val) {
                tail.next = head;
                tail = head;
            }
            // 如果 head 与下一节点相同,跳过相同节点
            while (head.next != null && head.val == head.next.val) head = head.next;
            head = head.next;
        }
        tail.next = null;
        return dummy.next;
    }
}
  • 时间复杂度:O(n)O(n)
  • 空间复杂度:O(1)O(1)

拓展

  • 如果问题变为「相同节点保留一个」,该如何实现?

83. 删除排序链表中的重复元素

class Solution {
    public ListNode deleteDuplicates(ListNode head) {
        if (head == null) return head;
        ListNode dummy = new ListNode(-109);
        ListNode tail = dummy;
        while (head != null) {
            // 值不相等才追加,确保了相同的节点只有第一个会被添加到答案
            if (tail.val != head.val) {
                tail.next = head;
                tail = tail.next;
            }
            head = head.next;
        }
        tail.next = null;
        return dummy.next;
    }   
}

最后

这是我们「刷穿 LeetCode」系列文章的第 No.82 篇,系列开始于 2021/01/01,截止于起始日 LeetCode 上共有 1916 道题目,部分是有锁题,我们将先将所有不带锁的题目刷完。

在这个系列文章里面,除了讲解解题思路以外,还会尽可能给出最为简洁的代码。如果涉及通解还会相应的代码模板。

为了方便各位同学能够电脑上进行调试和提交代码,我建立了相关的仓库:github.com/SharingSour…

在仓库地址里,你可以看到系列文章的题解链接、系列文章的相应代码、LeetCode 原题链接和其他优选题解。