「树的搜索」&「二叉树的中序遍历」解法 | Java 刷题打卡

445 阅读2分钟

本文正在参加「Java主题月 - Java 刷题打卡」,详情查看 活动链接

题目描述

这是 LeetCode 上的 783. 二叉搜索树节点最小距离

Tag : 「树的搜素」、「迭代」、「非迭代」、「中序遍历」、「BFS」、「DFS」

给你一个二叉搜索树的根节点 root ,返回 树中任意两不同节点值之间的最小差值 。

注意:本题与 530:leetcode-cn.com/problems/mi… 相同

示例 1:

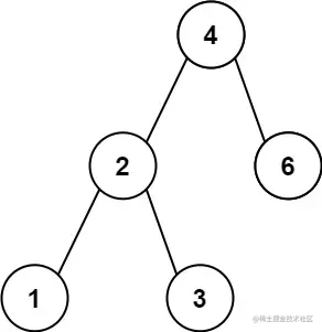
输入:root = [4,2,6,1,3]

输出:1

示例 2:

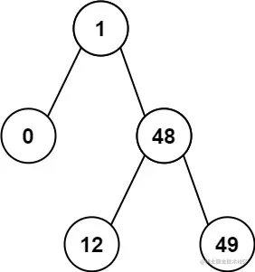
输入:root = [1,0,48,null,null,12,49]

输出:1

提示:

  • 树中节点数目在范围 [2, 100] 内
  • 0 <= Node.val <= 10510^5
  • 差值是一个正数,其数值等于两值之差的绝对值

朴素解法(BFS & DFS)

如果不考虑利用二叉搜索树特性的话,一个朴素的做法是将所有节点的 valval 存到一个数组中。

对数组进行排序,并获取答案。

将所有节点的 valval 存入数组,可以使用 BFS 或者 DFS。

代码:

class Solution {
    public int minDiffInBST(TreeNode root) {
        List<Integer> list = new ArrayList<>();

        // BFS
        Deque<TreeNode> d = new ArrayDeque<>();
        d.addLast(root);
        while (!d.isEmpty()) {
            TreeNode poll = d.pollFirst();
            list.add(poll.val);
            if (poll.left != null) d.addLast(poll.left);
            if (poll.right != null) d.addLast(poll.right);
        }

        // DFS
        // dfs(root, list);

        Collections.sort(list);
        int n = list.size();
        int ans = Integer.MAX_VALUE;
        for (int i = 1; i < n; i++) {
            int cur = Math.abs(list.get(i) - list.get(i - 1));
            ans = Math.min(ans, cur);
        }
        return ans;
    }
    void dfs(TreeNode root, List<Integer> list) {
        list.add(root.val);
        if (root.left != null) dfs(root.left, list);
        if (root.right != null) dfs(root.right, list);
    }
}
  • 时间复杂度:O(nlogn)O(n\log{n})
  • 空间复杂度:O(n)O(n)

中序遍历(栈模拟 & 递归)

不难发现,在朴素解法中,我们对树进行搜索的目的是为了获取一个「有序序列」,然后从「有序序列」中获取答案。

而二叉搜索树的中序遍历是有序的,因此我们可以直接对「二叉搜索树」进行中序遍历,保存遍历过程中的相邻元素最小值即是答案。

代码:

class Solution {
    int ans = Integer.MAX_VALUE;
    TreeNode prev = null;
    public int minDiffInBST(TreeNode root) {
        // 栈模拟
        Deque<TreeNode> d = new ArrayDeque<>();
        while (root != null || !d.isEmpty()) {
            while (root != null) {
                d.addLast(root);
                root = root.left;
            }
            root = d.pollLast();
            if (prev != null) {
                ans = Math.min(ans, Math.abs(prev.val - root.val));
            }
            prev = root;
            root = root.right;
        }

        // 递归
        // dfs(root);

        return ans;
    }
    void dfs(TreeNode root) {
        if (root == null) return;
        dfs(root.left);
        if (prev != null) {
            ans = Math.min(ans, Math.abs(prev.val - root.val));
        } 
        prev = root;
        dfs(root.right);
    }
}
  • 时间复杂度:O(n)O(n)
  • 空间复杂度:O(n)O(n)

最后

这是我们「刷穿 LeetCode」系列文章的第 No.783 篇,系列开始于 2021/01/01,截止于起始日 LeetCode 上共有 1916 道题目,部分是有锁题,我们将先将所有不带锁的题目刷完。

在这个系列文章里面,除了讲解解题思路以外,还会尽可能给出最为简洁的代码。如果涉及通解还会相应的代码模板。

为了方便各位同学能够电脑上进行调试和提交代码,我建立了相关的仓库:github.com/SharingSour…

在仓库地址里,你可以看到系列文章的题解链接、系列文章的相应代码、LeetCode 原题链接和其他优选题解。