1随机变量及其概率分布

320 阅读2分钟

随机变量及其概率分布

1、离散型随机变量

概率分布律

这里写图片描述

满足如下两条性质:

这里写图片描述

(一)0-1分布 X~0-1(p)或B~(1,p),0< p <1

X01
P1-pp

(二)二项分布函数

这里写图片描述

其中0 < p < 1,n>0则称X服从参数为(n,p)的二项分布,记为X~B(n,p)

(三)泊松分布

这里写图片描述

当n足够大,p足够小,且np保持适当大小时,参数为(n,p)的二项分布可以用泊松分布近似

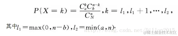
(四)超几何分布
这里写图片描述

2、分布函数

设X为一随机变量,x为任意实数,函数
= P(X\leqslant x)")

称为随机变量X的概率分布函数,简称分布函数(distribution function)

对任意的实数)有

概率分布函数满足以下性质:

  1. F(x)单调不减
  2. \leqslant 1")且 = 0,F(+\infty ) = 1")
  3. F(x+0) = F(x),即F(x)右连续

3、连续型随机变量

对于随机变量X,若存在一个非负的实函数f(x),使X落在任一区域D上的概率则称X为连续型随机变量,简称连续量。称f(x)为X的概率密度函数(probability density function),简称密度。

由定义知,密度函数具有以下性质:
这里写图片描述

还可得:

当a=b时P{X=a} = 0

(一)均匀分布

设随机变量X具有概率密度则称X服从区间(a,b)上均匀(uniform)分布,常记为X~U(a,b)。

这里写图片描述

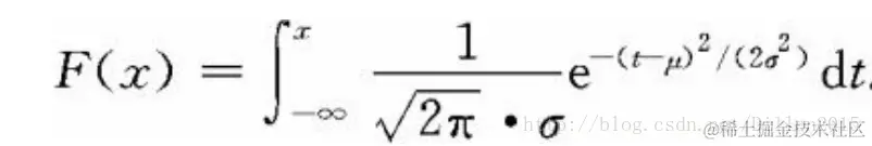
(二)正态分布

设随机变量X具有概率密度
这里写图片描述
其相应的分布函数为
这里写图片描述
人们常称正态变量的参数μ为位置参数,因为μ给出了密度对称轴的位置及X的取值集中的位置;称σ为尺度参数,因为密度曲线的尺度(图形的形状)完全由σ决定(却与μ无关)。

σ越大,曲线峰越低,越扁平,X在μ附近取值的概率(即相应的曲边梯形的面积)越小,即X取值越分散,故σ是反映X取值分散程度的一个指标量。

特别地,当μ=0,σ=1时,若记这时的正态量为Z,Z~N(0,1),称Z服从标准正态分布,标准正态密度关于y轴对称.

(三)指数分布

设随机变量X具有概率密度
这里写图片描述
这里写图片描述