图像分割——基于二维灰度直方图的阈值处理

396 阅读2分钟

前言

像素灰度值仅仅反映了像素灰度级的幅值大小,并没有反映出像素与邻域的空间相关信息。

二维灰度直方图的概念

二维灰度直方图:像素的灰度值分布和邻域的平均灰度值分布构成的二维直方图
二维直方图的值N(i,j) 。其中,i=f(x,y) 图像(x,y)的灰度值。j=g(x,y) 图像(x,y)位置邻域的平均灰度值。
对于一幅MxN大小的灰度图像可以利用像素点的灰度值和其邻域平均灰度值组成的二元组(i,j)来表示图像。若设二元组(i j)出现的频数为Ω;则
相应的联合概率密度p(i,j)为:p(i,j)=Ω/(M xN )。
以i , j为自变量,p(i,j)为因变量,即可绘制出二维灰度直方图。

特性:
1、P(i,j)集中分布在(0,0)到(L-1,L-1)的对角线周围。
2、在一维灰度直方图没有明显波峰和波谷的情况下,也呈现出明显的两个峰
你看,有两个峰!
3、阈值为二维矢量(s,t),将二维直方图分割为4个区域
二维直方图
其中,C0和C1分别为背景和物体的一种。A和B分别为边缘和噪声中的一种。

几种阈值分割方法

二维Otsu阈值分割

下面是截取论文的一部分,感觉讲得很清楚,我也不多叙述了。
原理
原理
原理
原理
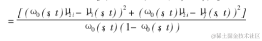
从一篇文章看到的更清楚的公式,应该是对的,毕竟原来的公式太模糊了
化简后的公式
变量
变量

/参考链接****/
基于二维直方图的图像分割算法研究
二维最大熵阈值分割原理与opencv实现(并没有代码)
二维灰度直方图的最佳分割方法(下载地址,文档是免费的)
灰度图象的二维Otsu自动阈值分割法(下载地址,文档是免费的)
基于类间和类内方差的快速二维阈值分割法